Suppr超能文献

运动联合未变性II型胶原蛋白对大鼠耐力、抗氧化状态、肌肉生脂基因及E3泛素连接酶的影响

Effects of Exercise Combined with Undenatured Type II Collagen on Endurance Capacity, Antioxidant Status, Muscle Lipogenic Genes and E3 Ubiquitin Ligases in Rats.

作者信息

Orhan Cemal, Sahin Emre, Er Besir, Tuzcu Mehmet, Lopes Andrey P, Sahin Nurhan, Juturu Vijaya, Sahin Kazim

机构信息

Animal Nutrition Department, Veterinary Faculty, University of Firat, 23119 Elazig, Turkey.

Division of Biology, Science Faculty, Firat University, 23119 Elazig, Turkey.

出版信息

Animals (Basel). 2021 Mar 17;11(3):851. doi: 10.3390/ani11030851.

Abstract

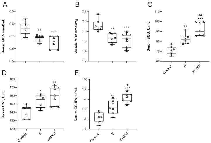
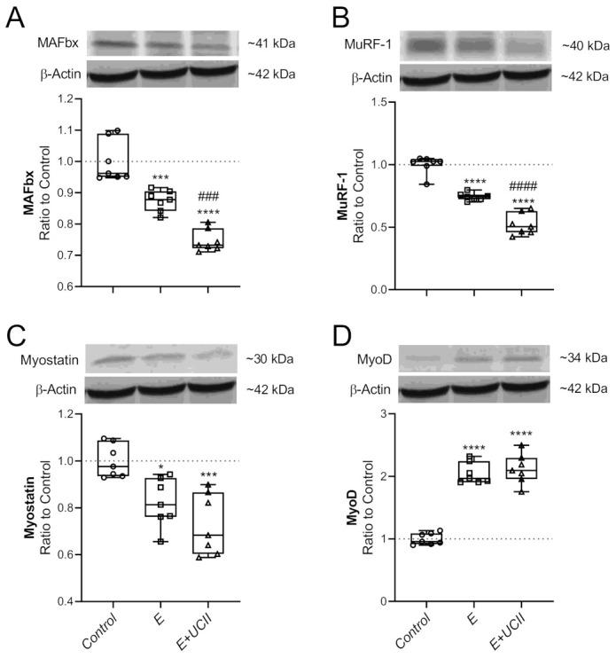
The current study aimed to investigate the effect of exercise combined with undenatured type II collagen (UCII) administration on endurance capacity, lipid metabolism, inflammation, and antioxidant status in rats. Twenty-one male Wistar albino rats were divided into three groups as follows: (1) Sedentary control, (2) Exercise (E), (3) Exercise + UCII (4 mg/kg BW/day; E + UCII). The findings showed that the exhaustive running time in the UCII group was significantly prolonged compared to that of the non-supplemented group ( < 0.001). When compared to the control group, total serum cholesterol (TC, < 0.05) and triglyceride (TG, < 0.05) levels decreased, while creatinine kinase (CK) levels increased in the E group ( < 0.001). Serum creatinine kinase levels were reduced in the E + UCII group compared to the E group ( < 0.01). Serum lactate, myoglobin ( < 0.01), and osteocalcin levels ( < 0.01) increased significantly in exercised rats compared to sedentary control rats, while serum lactate ( < 0.01) and myoglobin ( < 0.0001) levels decreased in the E + UCII group compared to control. Additionally, UCII supplementation caused significant increases in antioxidant enzyme activities [SOD ( < 0.01) and GSH-Px ( < 0.05)] and decreases in malondialdehyde (MDA) and tumor necrosis factor (TNF-α) levels ( < 0.001). Muscle lipogenic protein (SREBP-1c, ACLY, LXR, and FAS) levels were lower in the E + UCII group than in other groups. In addition, UCII supplementation decreased muscle MAFbx, MuRF-1, myostatin and increased MyoD levels in exercised rats. Moreover, the E + UCII group had lower muscle inflammatory markers [TNF-α ( < 0.0001) and IL-1β ( < 0.01)] than the control group. These results suggest exercise combined with UCII (4 mg/kg BW/day) modulates lipid, muscle, and antioxidant status in rats.

摘要

本研究旨在探讨运动联合给予未变性II型胶原蛋白(UCII)对大鼠耐力、脂质代谢、炎症和抗氧化状态的影响。将21只雄性Wistar白化大鼠分为三组:(1)久坐对照组,(2)运动组(E),(3)运动+UCII组(4mg/kg体重/天;E+UCII)。结果显示,与未补充组相比,UCII组的力竭跑步时间显著延长(<0.001)。与对照组相比,E组的总血清胆固醇(TC,<0.05)和甘油三酯(TG,<0.05)水平降低,而肌酸激酶(CK)水平升高(<0.001)。与E组相比,E+UCII组的血清肌酸激酶水平降低(<0.01)。与久坐对照组相比,运动大鼠的血清乳酸、肌红蛋白(<0.01)和骨钙素水平(<0.01)显著升高,而与对照组相比,E+UCII组的血清乳酸(<0.01)和肌红蛋白(<0.0001)水平降低。此外,补充UCII导致抗氧化酶活性显著增加[SOD(<0.01)和GSH-Px(<0.05)],丙二醛(MDA)和肿瘤坏死因子(TNF-α)水平降低(<0.001)。E+UCII组的肌肉脂肪生成蛋白(SREBP-1c、ACLY、LXR和FAS)水平低于其他组。此外,补充UCII可降低运动大鼠的肌肉MAFbx、MuRF-1、肌肉生长抑制素水平,并增加MyoD水平。此外,E+UCII组的肌肉炎症标志物[TNF-α(<0.0001)和IL-1β(<0.01)]低于对照组。这些结果表明,运动联合UCII(4mg/kg体重/天)可调节大鼠的脂质、肌肉和抗氧化状态。

https://cdn.ncbi.nlm.nih.gov/pmc/blobs/1b4f/8002679/add71ff7e87e/animals-11-00851-g001.jpg

文献检索

告别复杂PubMed语法,用中文像聊天一样搜索,搜遍4000万医学文献。AI智能推荐,让科研检索更轻松。

立即免费搜索

文件翻译

保留排版,准确专业,支持PDF/Word/PPT等文件格式,支持 12+语言互译。

免费翻译文档

深度研究

AI帮你快速写综述,25分钟生成高质量综述,智能提取关键信息,辅助科研写作。

立即免费体验