• 文献检索
  • 文档翻译
  • 深度研究
  • 学术资讯
  • Suppr Zotero 插件Zotero 插件
  • 邀请有礼
  • 套餐&价格
  • 历史记录
应用&插件
Suppr Zotero 插件Zotero 插件浏览器插件Mac 客户端Windows 客户端微信小程序
定价
高级版会员购买积分包购买API积分包
服务
文献检索文档翻译深度研究API 文档MCP 服务
关于我们
关于 Suppr公司介绍联系我们用户协议隐私条款
关注我们

Suppr 超能文献

核心技术专利:CN118964589B侵权必究
粤ICP备2023148730 号-1Suppr @ 2026

文献检索

告别复杂PubMed语法,用中文像聊天一样搜索,搜遍4000万医学文献。AI智能推荐,让科研检索更轻松。

立即免费搜索

文件翻译

保留排版,准确专业,支持PDF/Word/PPT等文件格式,支持 12+语言互译。

免费翻译文档

深度研究

AI帮你快速写综述,25分钟生成高质量综述,智能提取关键信息,辅助科研写作。

立即免费体验

多孔硅石用于去除气相间和水相间的污染物。

Silica Monolith for the Removal of Pollutants from Gas and Aqueous Phases.

机构信息

Department of Sciences and Technological Innovation and Interdisciplinary Nano-SiSTeMI Centre, University of Eastern Piedmont A. Avogadro, Viale T. Michel 11, 15121 Alessandria, Italy.

Interdisciplinary Nano-SiSTeMI Centre, University of Eastern Piedmont A. Avogadro, Viale T. Michel 11, 15121 Alessandria, Italy.

出版信息

Molecules. 2021 Mar 1;26(5):1316. doi: 10.3390/molecules26051316.

DOI:10.3390/molecules26051316
PMID:33804572
原文链接:https://pmc.ncbi.nlm.nih.gov/articles/PMC7957575/
Abstract

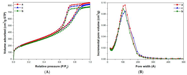
This study focused on the application of mesoporous silica monoliths for the removal of organic pollutants. The physico-chemical textural and surface properties of the monoliths were investigated. The homogeneity of the textural properties along the entire length of the monoliths was assessed, as well as the reproducibility of the synthesis method. The adsorption properties of the monoliths for gaseous toluene, as a model of Volatile Organic Compounds (VOCs), were evaluated and compared to those of a reference meso-structured silica powder (MCM-41) of commercial origin. Silica monoliths adsorbed comparable amounts of toluene with respect to MCM-41, with better performances at low pressure. Finally, considering their potential application in water phase, the adsorption properties of monoliths toward Rhodamine B, selected as a model molecule of water soluble pollutants, were studied together with their stability in water. After 24 h of contact, the silica monoliths were able to adsorb up to the 70% of 1.5 × 10 mM Rhodamine B in water solution.

摘要

本研究聚焦于介孔硅质整体材料在去除有机污染物方面的应用。考察了整体材料的物理化学结构特性和表面性质。评估了整体材料沿长度方向的结构特性的均一性以及合成方法的重现性。评估了整体材料对作为挥发性有机化合物 (VOCs) 模型的气态甲苯的吸附性能,并与商业来源的参考介孔结构硅质粉末 (MCM-41) 进行了比较。相对于 MCM-41,硅质整体材料吸附了相当量的甲苯,在低压下表现出更好的性能。最后,考虑到它们在水相中的潜在应用,研究了整体材料对罗丹明 B 的吸附性能,罗丹明 B 被选为水溶性污染物的模型分子,同时还研究了它们在水中的稳定性。接触 24 小时后,硅质整体材料能够在水溶液中吸附高达 1.5 × 10 mM 罗丹明 B 的 70%。

https://cdn.ncbi.nlm.nih.gov/pmc/blobs/f984/7957575/57cd3cfe757b/molecules-26-01316-g007.jpg
https://cdn.ncbi.nlm.nih.gov/pmc/blobs/f984/7957575/95e5b28de104/molecules-26-01316-g001.jpg
https://cdn.ncbi.nlm.nih.gov/pmc/blobs/f984/7957575/710d825c21a6/molecules-26-01316-g002.jpg
https://cdn.ncbi.nlm.nih.gov/pmc/blobs/f984/7957575/583b311257df/molecules-26-01316-g003.jpg
https://cdn.ncbi.nlm.nih.gov/pmc/blobs/f984/7957575/0d7c9530ce95/molecules-26-01316-g004.jpg
https://cdn.ncbi.nlm.nih.gov/pmc/blobs/f984/7957575/ab359302f3ee/molecules-26-01316-g005.jpg
https://cdn.ncbi.nlm.nih.gov/pmc/blobs/f984/7957575/3f89e782bb4a/molecules-26-01316-g006.jpg
https://cdn.ncbi.nlm.nih.gov/pmc/blobs/f984/7957575/57cd3cfe757b/molecules-26-01316-g007.jpg
https://cdn.ncbi.nlm.nih.gov/pmc/blobs/f984/7957575/95e5b28de104/molecules-26-01316-g001.jpg
https://cdn.ncbi.nlm.nih.gov/pmc/blobs/f984/7957575/710d825c21a6/molecules-26-01316-g002.jpg
https://cdn.ncbi.nlm.nih.gov/pmc/blobs/f984/7957575/583b311257df/molecules-26-01316-g003.jpg
https://cdn.ncbi.nlm.nih.gov/pmc/blobs/f984/7957575/0d7c9530ce95/molecules-26-01316-g004.jpg
https://cdn.ncbi.nlm.nih.gov/pmc/blobs/f984/7957575/ab359302f3ee/molecules-26-01316-g005.jpg
https://cdn.ncbi.nlm.nih.gov/pmc/blobs/f984/7957575/3f89e782bb4a/molecules-26-01316-g006.jpg
https://cdn.ncbi.nlm.nih.gov/pmc/blobs/f984/7957575/57cd3cfe757b/molecules-26-01316-g007.jpg

相似文献

1
Silica Monolith for the Removal of Pollutants from Gas and Aqueous Phases.多孔硅石用于去除气相间和水相间的污染物。
Molecules. 2021 Mar 1;26(5):1316. doi: 10.3390/molecules26051316.
2
Mesoporous aluminosilica monoliths for the adsorptive removal of small organic pollutants.介孔硅铝分子筛整体材料用于吸附去除微量有机污染物。
J Hazard Mater. 2012 Jan 30;201-202:23-32. doi: 10.1016/j.jhazmat.2011.10.088. Epub 2011 Nov 7.
3
Optimization of the single-step synthesis of hybrid C(8) silica monoliths dedicated to nano-liquid chromatography and capillary electrochromatography.用于纳米液相色谱和毛细管电色谱的杂化C(8)硅胶整体柱一步合成的优化
J Chromatogr A. 2008 Oct 31;1209(1-2):120-7. doi: 10.1016/j.chroma.2008.08.119. Epub 2008 Sep 10.
4
Adsorption and degradation of model volatile organic compounds by a combined titania-montmorillonite-silica photocatalyst.TiO2-蒙脱石-硅基复合光催化剂对模型挥发性有机化合物的吸附与降解。
J Hazard Mater. 2011 Jun 15;190(1-3):416-23. doi: 10.1016/j.jhazmat.2011.03.064. Epub 2011 Mar 27.
5
Tuning the hydrophobicity of mesoporous silica materials for the adsorption of organic pollutant in aqueous solution.调整介孔硅材料的疏水性以用于吸附水溶液中的有机污染物。
J Hazard Mater. 2012 Jan 30;201-202:107-14. doi: 10.1016/j.jhazmat.2011.11.043. Epub 2011 Nov 22.
6
High-silica zeolites for adsorption of organic micro-pollutants in water treatment: A review.高硅沸石在水处理中吸附有机微量污染物的研究进展
Water Res. 2018 Nov 1;144:145-161. doi: 10.1016/j.watres.2018.07.017. Epub 2018 Jul 7.
7
Toluene Adsorption by Mesoporous Silicas with Different Textural Properties: A Model Study for VOCs Retention and Water Remediation.具有不同结构性质的介孔二氧化硅对甲苯的吸附:挥发性有机化合物捕集与水修复的模型研究
Materials (Basel). 2020 Jun 12;13(12):2690. doi: 10.3390/ma13122690.
8
Strategies based on silica monoliths for removing pollutants from wastewater effluents: a review.基于硅胶整体柱的去除废水中污染物的策略:综述。
Sci Total Environ. 2013 Sep 1;461-462:126-38. doi: 10.1016/j.scitotenv.2013.04.091. Epub 2013 May 25.
9
Mesoporous (organo) silica decorated with magnetic nanoparticles as a reusable nanoadsorbent for arsenic removal from water samples.负载磁性纳米粒子的介孔(有机)硅作为一种可重复使用的纳米吸附剂用于去除水样中的砷。
Environ Technol. 2015 Jan-Feb;36(1-4):36-44. doi: 10.1080/09593330.2014.934744. Epub 2014 Jul 11.
10
Preparation of hydrophobic hierarchical pore carbon-silica composite and its adsorption performance toward volatile organic compounds.疏水性分级孔碳-硅复合材料的制备及其对挥发性有机化合物的吸附性能。
J Environ Sci (China). 2020 Jan;87:39-48. doi: 10.1016/j.jes.2019.05.003. Epub 2019 May 13.

引用本文的文献

1
CO Capture: A Comprehensive Review and Bibliometric Analysis of Scalable Materials and Sustainable Solutions.二氧化碳捕集:可扩展材料与可持续解决方案的综合综述及文献计量分析
Molecules. 2025 Jan 26;30(3):563. doi: 10.3390/molecules30030563.
2
Nanosized MCM-41 silica from rice husk and its application for the removal of organic dyes from water.来自稻壳的纳米级MCM-41二氧化硅及其在去除水中有机染料方面的应用。
RSC Adv. 2025 Jan 24;15(4):2545-2553. doi: 10.1039/d4ra07152b. eCollection 2025 Jan 23.
3
Water Decontamination from Cr(VI) by Transparent Silica Xerogel Monolith.

本文引用的文献

1
Toluene Adsorption by Mesoporous Silicas with Different Textural Properties: A Model Study for VOCs Retention and Water Remediation.具有不同结构性质的介孔二氧化硅对甲苯的吸附:挥发性有机化合物捕集与水修复的模型研究
Materials (Basel). 2020 Jun 12;13(12):2690. doi: 10.3390/ma13122690.
2
Stable Immobilization of Enzymes in a Macro- and Mesoporous Silica Monolith.酶在大孔和介孔二氧化硅整体材料中的稳定固定化。
ACS Omega. 2019 Apr 29;4(4):7795-7806. doi: 10.1021/acsomega.9b00286. eCollection 2019 Apr 30.
3
On the adsorption of toluene on amorphous mesoporous silicas with tunable sorption characteristics.
透明硅胶整体柱对六价铬的水净化。
Int J Mol Sci. 2023 Apr 18;24(8):7430. doi: 10.3390/ijms24087430.
Dalton Trans. 2019 Aug 6;48(31):11781-11790. doi: 10.1039/c9dt01497g.
4
Study on adsorption of rhodamine B onto Beta zeolites by tuning SiO/AlO ratio.调变 SiO/AlO 比研究β沸石对罗丹明 B 的吸附
Ecotoxicol Environ Saf. 2018 Feb;148:585-592. doi: 10.1016/j.ecoenv.2017.11.005. Epub 2017 Nov 9.
5
Magnetic solid phase extraction using ionic liquid-coated core-shell magnetic nanoparticles followed by high-performance liquid chromatography for determination of Rhodamine B in food samples.采用离子液体包覆的核壳磁性纳米粒子进行磁性固相萃取,随后结合高效液相色谱法测定食品样品中的罗丹明B。
Food Chem. 2016 Jun 1;200:10-5. doi: 10.1016/j.foodchem.2016.01.002. Epub 2016 Jan 2.
6
Promotion of Förster resonance energy transfer in a saponite clay containing luminescent polyhedral oligomeric silsesquioxane and rhodamine dye.含发光多面体低聚倍半硅氧烷和罗丹明染料的皂石粘土中福斯特共振能量转移的促进作用。
Chem Asian J. 2014 Jan;9(1):158-65. doi: 10.1002/asia.201300936. Epub 2013 Oct 2.
7
Stability of amorphous silica-alumina in hot liquid water.无定形硅铝酸盐在热液态水中的稳定性。
ChemSusChem. 2013 Dec;6(12):2304-15. doi: 10.1002/cssc.201300532. Epub 2013 Oct 7.
8
Strategies based on silica monoliths for removing pollutants from wastewater effluents: a review.基于硅胶整体柱的去除废水中污染物的策略:综述。
Sci Total Environ. 2013 Sep 1;461-462:126-38. doi: 10.1016/j.scitotenv.2013.04.091. Epub 2013 May 25.
9
Removal of the organic content from a bleached kraft pulp mill effluent by a treatment with silica-alginate-fungi biocomposites.采用硅铝酸盐-藻酸盐-真菌生物复合材料处理,从漂白硫酸盐浆厂废水中去除有机物。
J Environ Sci Health A Tox Hazard Subst Environ Eng. 2013;48(2):166-72. doi: 10.1080/03601234.2012.716745.
10
Efficient adsorbents of nanoporous aluminosilicate monoliths for organic dyes from aqueous solution.用于从水溶液中去除有机染料的纳米多孔硅铝酸盐整体式高效吸附剂。
J Colloid Interface Sci. 2011 Jul 1;359(1):9-18. doi: 10.1016/j.jcis.2011.01.006. Epub 2011 Mar 12.