• 文献检索
  • 文档翻译
  • 深度研究
  • 学术资讯
  • Suppr Zotero 插件Zotero 插件
  • 邀请有礼
  • 套餐&价格
  • 历史记录
应用&插件
Suppr Zotero 插件Zotero 插件浏览器插件Mac 客户端Windows 客户端微信小程序
定价
高级版会员购买积分包购买API积分包
服务
文献检索文档翻译深度研究API 文档MCP 服务
关于我们
关于 Suppr公司介绍联系我们用户协议隐私条款
关注我们

Suppr 超能文献

核心技术专利:CN118964589B侵权必究
粤ICP备2023148730 号-1Suppr @ 2026

文献检索

告别复杂PubMed语法,用中文像聊天一样搜索,搜遍4000万医学文献。AI智能推荐,让科研检索更轻松。

立即免费搜索

文件翻译

保留排版,准确专业,支持PDF/Word/PPT等文件格式,支持 12+语言互译。

免费翻译文档

深度研究

AI帮你快速写综述,25分钟生成高质量综述,智能提取关键信息,辅助科研写作。

立即免费体验

葡萄牙老年人自报和基于加速度计的体力活动估计之间的关联。

Association between Self-Reported and Accelerometer-Based Estimates of Physical Activity in Portuguese Older Adults.

机构信息

Life and Health Sciences Research Institute (ICVS), School of Medicine, University of Minho, 4710-057 Braga, Portugal.

ICVS/3B's, PT Government Associate Laboratory, 4710-057 Braga/Guimarães, Portugal.

出版信息

Sensors (Basel). 2021 Mar 24;21(7):2258. doi: 10.3390/s21072258.

DOI:10.3390/s21072258
PMID:33804834
原文链接:https://pmc.ncbi.nlm.nih.gov/articles/PMC8038119/
Abstract

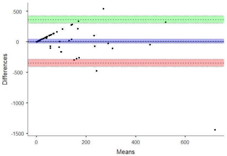
Accurate assessment of physical activity (PA) is crucial in interventions promoting it and in studies exploring its association with health status. Currently, there is a wide range of assessment tools available, including subjective and objective measures. This study compared accelerometer-based estimates of PA with self-report PA data in older adults. Additionally, the associations between PA and health outcomes and PA profiles were analyzed. Participants ( = 110) wore a Xiaomi Mi Band 2 for fifteen consecutive days. Self-reported PA was assessed using the International Physical Activity Questionnaire (IPAQ) and the Yale Physical Activity Survey (YPAS). The Spearman correlation coefficient was used to compare self-reported and accelerometer-measured PA and associations between PA and health. Bland-Altman plots were performed to assess the agreement between methods. Results highlight a large variation between self-reported and Xiaomi Mi Band 2 estimates, with poor general agreement. The highest difference was found for sedentary time. Low positive correlations were observed for IPAQ estimates (sedentary, vigorous, and total PA) and moderate for YPAS vigorous estimates. Finally, self-reported and objectively measured PA associated differently with health outcomes. Summarily, although accelerometry has the advantage of being an accurate method, self-report questionnaires could provide valuable information about the context of the activity.

摘要

准确评估身体活动 (PA) 对于促进身体活动的干预措施以及研究其与健康状况的关系至关重要。目前,有广泛的评估工具可供选择,包括主观和客观测量。本研究比较了基于加速度计的 PA 估计值与老年人的自我报告 PA 数据。此外,还分析了 PA 与健康结果和 PA 特征之间的关联。参与者(n=110)连续佩戴小米手环 2 十五天。使用国际体力活动问卷 (IPAQ) 和耶鲁体力活动调查 (YPAS) 评估自我报告的 PA。采用 Spearman 相关系数比较自我报告和加速度计测量的 PA 以及 PA 与健康之间的关联。Bland-Altman 图用于评估方法之间的一致性。结果表明,自我报告和小米手环 2 估计值之间存在较大差异,总体一致性较差。久坐时间的差异最大。IPAQ 估计值(久坐、剧烈和总 PA)的相关性较低,而 YPAS 剧烈估计值的相关性适中。最后,自我报告和客观测量的 PA 与健康结果的关联不同。总之,尽管加速度计具有准确性高的优点,但自我报告问卷可以提供有关活动背景的有价值信息。

https://cdn.ncbi.nlm.nih.gov/pmc/blobs/3e76/8038119/f7f36f6d1da2/sensors-21-02258-g004.jpg
https://cdn.ncbi.nlm.nih.gov/pmc/blobs/3e76/8038119/cc15e8050d44/sensors-21-02258-g001.jpg
https://cdn.ncbi.nlm.nih.gov/pmc/blobs/3e76/8038119/52603a2e2b6b/sensors-21-02258-g002.jpg
https://cdn.ncbi.nlm.nih.gov/pmc/blobs/3e76/8038119/3a8b05cfb3eb/sensors-21-02258-g003.jpg
https://cdn.ncbi.nlm.nih.gov/pmc/blobs/3e76/8038119/f7f36f6d1da2/sensors-21-02258-g004.jpg
https://cdn.ncbi.nlm.nih.gov/pmc/blobs/3e76/8038119/cc15e8050d44/sensors-21-02258-g001.jpg
https://cdn.ncbi.nlm.nih.gov/pmc/blobs/3e76/8038119/52603a2e2b6b/sensors-21-02258-g002.jpg
https://cdn.ncbi.nlm.nih.gov/pmc/blobs/3e76/8038119/3a8b05cfb3eb/sensors-21-02258-g003.jpg
https://cdn.ncbi.nlm.nih.gov/pmc/blobs/3e76/8038119/f7f36f6d1da2/sensors-21-02258-g004.jpg

相似文献

1
Association between Self-Reported and Accelerometer-Based Estimates of Physical Activity in Portuguese Older Adults.葡萄牙老年人自报和基于加速度计的体力活动估计之间的关联。
Sensors (Basel). 2021 Mar 24;21(7):2258. doi: 10.3390/s21072258.
2
Comparison of self-report versus accelerometer - measured physical activity and sedentary behaviors and their association with body composition in Latin American countries.比较自我报告与加速度计测量的身体活动和久坐行为及其与拉丁美洲国家身体成分的关系。
PLoS One. 2020 Apr 28;15(4):e0232420. doi: 10.1371/journal.pone.0232420. eCollection 2020.
3
Comparison of the Physical Activity Frequency Questionnaire (PAFQ) with accelerometry in a middle-aged and elderly population: The CoLaus study.中老年人体力活动频率问卷(PAFQ)与加速度计的比较:CoLaus 研究。
Maturitas. 2019 Nov;129:68-75. doi: 10.1016/j.maturitas.2019.08.004. Epub 2019 Aug 24.
4
Concurrent validity between self-reported International Physical Activity Questionnaire Short Form and Fibion accelerometer data among young adults in the UAE.在阿联酋的年轻人中,自我报告的国际体力活动问卷短表与 Fibion 加速度计数据之间的同时效度。
Eur J Med Res. 2024 Aug 19;29(1):426. doi: 10.1186/s40001-024-01975-5.
5
Concordance Between Accelerometer-Measured and Self-Reported Physical Activity and Sedentary Time in Adults with Autism.加速度计测量与自报体力活动和自闭症成人久坐时间的一致性。
J Autism Dev Disord. 2024 Apr;54(4):1517-1526. doi: 10.1007/s10803-022-05862-y. Epub 2023 Jan 13.
6
Subjective and objective levels of physical activity and their association with cardiorespiratory fitness in rheumatoid arthritis patients.类风湿关节炎患者身体活动的主观和客观水平及其与心肺适能的关联
Arthritis Res Ther. 2015 Mar 13;17(1):59. doi: 10.1186/s13075-015-0584-7.
7
Comparison of Subjective and Objective Measures of Sedentary Behavior Using the Yale Physical Activity Survey and Accelerometry in Patients With Rheumatoid Arthritis.使用耶鲁体力活动调查问卷和加速度计比较类风湿关节炎患者的主观和客观久坐行为测量。
J Phys Act Health. 2016 Apr;13(4):371-6. doi: 10.1123/jpah.2015-0176. Epub 2015 Sep 17.
8
Comparability of accelerometer- and IPAQ-derived physical activity and sedentary time in South Asian women: A cross-sectional study.南亚女性中加速度计和国际体力活动问卷得出的身体活动及久坐时间的可比性:一项横断面研究。
Eur J Sport Sci. 2015;15(7):655-62. doi: 10.1080/17461391.2014.957728. Epub 2014 Sep 24.
9
Correlates of Agreement between Accelerometry and Self-reported Physical Activity.加速度计与自我报告的身体活动之间的一致性相关因素。
Med Sci Sports Exerc. 2016 Jun;48(6):1075-84. doi: 10.1249/MSS.0000000000000870.
10
Concurrent validity of the International Physical Activity Questionnaire adapted for adults aged ≥ 80 years (IPAQ-E 80 +) - tested with accelerometer data from the SilverMONICA study.成人(≥ 80 岁)适应的国际体力活动问卷(IPAQ-E 80+)的同时效度 - 用 SilverMONICA 研究的加速度计数据进行测试。
Gait Posture. 2022 Feb;92:135-143. doi: 10.1016/j.gaitpost.2021.11.019. Epub 2021 Nov 22.

引用本文的文献

1
Assessing adherence to physical activity guidelines and correlates among older Korean adults with a focus on 10-minute bout duration using subjective and objective measures.使用主观和客观测量方法评估韩国老年人对身体活动指南的依从性及其相关因素,重点关注10分钟时长的锻炼。
PLoS One. 2025 Jun 9;20(6):e0324342. doi: 10.1371/journal.pone.0324342. eCollection 2025.
2
To be well or not to be well: compositional associations of physical activity, sedentary behaviour and sleep with mental well-being in Flemish adults aged 55+ years.健康与否:55岁及以上弗拉芒成年人身体活动、久坐行为和睡眠与心理健康的构成关联
J Act Sedentary Sleep Behav. 2023 May 1;2(1):9. doi: 10.1186/s44167-023-00019-3.
3

本文引用的文献

1
Measurement of public health benefits of physical activity: validity and reliability study of the international physical activity questionnaire in Hungary.测量身体活动对公共健康的益处:匈牙利国际身体活动问卷的有效性和可靠性研究。
BMC Public Health. 2020 Aug 17;20(Suppl 1):1198. doi: 10.1186/s12889-020-08508-9.
2
Sarcopenic obesity and associations with mortality in older women and men - a prospective observational study.肌少症性肥胖与老年男女死亡率的关系:一项前瞻性观察研究。
BMC Geriatr. 2020 Jun 9;20(1):199. doi: 10.1186/s12877-020-01578-9.
3
Comparison of self-report versus accelerometer - measured physical activity and sedentary behaviors and their association with body composition in Latin American countries.
Self-reported and tracker-estimated physical activity outcomes in women with chronic pelvic pain disorders: A longitudinal evaluation of construct validity.
慢性盆腔疼痛疾病女性的自我报告及追踪器估计的身体活动结果:结构效度的纵向评估
medRxiv. 2025 Feb 12:2025.02.10.25322006. doi: 10.1101/2025.02.10.25322006.
4
Cognitive function differs across healthy lifestyle behavior profiles: a 10-year population-based prospective cohort study.认知功能因健康生活方式行为模式而异:一项基于人群的10年前瞻性队列研究。
J Nutr Health Aging. 2025 Feb;29(2):100487. doi: 10.1016/j.jnha.2025.100487. Epub 2025 Jan 15.
5
The Impacts of Engagement in Men's Sheds on Incidental Physical Activity and Wellbeing Outcomes.参与男性活动中心对偶然身体活动和幸福感结果的影响。
Health Promot J Austr. 2025 Jan;36(1):e958. doi: 10.1002/hpja.958.
6
Sex differences in the associations of accelerometer-determined physical activity with physical and cognitive function in older adults living in long-term care.长期护理中老年人身体活动与身体和认知功能的关联在性别上的差异:基于加速度计的测量。
Front Public Health. 2024 Nov 11;12:1446286. doi: 10.3389/fpubh.2024.1446286. eCollection 2024.
7
Frequency of physical activity during leisure time and variables related to pain and pain medication use in Spanish adults: A cross-sectional study.闲暇时间体力活动频率与西班牙成年人疼痛及疼痛药物使用相关变量的横断面研究。
PLoS One. 2024 Nov 13;19(11):e0310685. doi: 10.1371/journal.pone.0310685. eCollection 2024.
8
Physical activity, sedentary behavior, and risk of sepsis: a two-sample mendelian randomization study.身体活动、久坐行为与脓毒症风险:一项两样本孟德尔随机化研究
Front Med (Lausanne). 2024 Aug 19;11:1436546. doi: 10.3389/fmed.2024.1436546. eCollection 2024.
9
Potential causal associations between leisure sedentary behaviors, physical activity, sleep traits, and myopia: a Mendelian randomization study.闲暇久坐行为、身体活动、睡眠特征与近视之间潜在的因果关联:一项孟德尔随机化研究。
BMC Ophthalmol. 2024 Mar 5;24(1):104. doi: 10.1186/s12886-024-03367-z.
10
Device-measured physical activity and type 2 diabetes mellitus risk.器械测量的身体活动与 2 型糖尿病风险。
Front Endocrinol (Lausanne). 2023 Dec 18;14:1275182. doi: 10.3389/fendo.2023.1275182. eCollection 2023.
比较自我报告与加速度计测量的身体活动和久坐行为及其与拉丁美洲国家身体成分的关系。
PLoS One. 2020 Apr 28;15(4):e0232420. doi: 10.1371/journal.pone.0232420. eCollection 2020.
4
Nutritional Status and Risk Factors for Frailty in Community-Dwelling Older People: A Cross-Sectional Study.社区居住老年人的营养状况和衰弱风险因素:一项横断面研究。
Nutrients. 2020 Apr 10;12(4):1041. doi: 10.3390/nu12041041.
5
A comparison of self-reported and device measured sedentary behaviour in adults: a systematic review and meta-analysis.比较成年人自我报告和设备测量的久坐行为:系统评价和荟萃分析。
Int J Behav Nutr Phys Act. 2020 Mar 4;17(1):31. doi: 10.1186/s12966-020-00938-3.
6
Comparison of Self-Reported and Objectively Measured Sedentary Behavior and Physical Activity in Undergraduate Students.大学生自我报告与客观测量的久坐行为及身体活动的比较。
Meas Phys Educ Exerc Sci. 2019;23(3):237-248. doi: 10.1080/1091367X.2019.1610765. Epub 2019 May 7.
7
Comparison of questionnaire and accelerometer-based assessments of physical activity in patients with heart failure with preserved ejection fraction: clinical and prognostic implications.基于问卷和加速度计的心力衰竭保留射血分数患者体力活动评估比较:临床和预后意义。
Scand Cardiovasc J. 2020 Apr;54(2):77-83. doi: 10.1080/14017431.2019.1707863. Epub 2020 Jan 2.
8
Does Dog Ownership Affect Physical Activity, Sleep, and Self-Reported Health in Older Adults?养宠物狗会影响老年人的身体活动、睡眠和自我报告的健康状况吗?
Int J Environ Res Public Health. 2019 Sep 11;16(18):3355. doi: 10.3390/ijerph16183355.
9
The Use of Wearable Activity Trackers Among Older Adults: Focus Group Study of Tracker Perceptions, Motivators, and Barriers in the Maintenance Stage of Behavior Change.可穿戴活动追踪器在老年人中的使用:行为改变维持阶段的追踪器感知、动机和障碍的焦点小组研究。
JMIR Mhealth Uhealth. 2019 Apr 5;7(4):e9832. doi: 10.2196/mhealth.9832.
10
Descriptive statistics and normality tests for statistical data.统计数据的描述性统计和正态性检验。
Ann Card Anaesth. 2019 Jan-Mar;22(1):67-72. doi: 10.4103/aca.ACA_157_18.