Suppr超能文献

柳桉木、紫檀木和柚木在热压木材工艺过程中木质素的变化

Changes of Meranti, Padauk, and Merbau Wood Lignin during the ThermoWood Process.

作者信息

Kačíková Danica, Kubovský Ivan, Gaff Milan, Kačík František

机构信息

Faculty of Wood Sciences and Technology, Technical University in Zvolen, T.G. Masaryka 24, 960 01 Zvolen, Slovakia.

Faculty of Forestry and Wood Sciences, Czech University of Life Sciences in Prague, Kamýcká 129, 165 00 Praha 6-Suchdol, Czech Republic.

出版信息

Polymers (Basel). 2021 Mar 24;13(7):993. doi: 10.3390/polym13070993.

Abstract

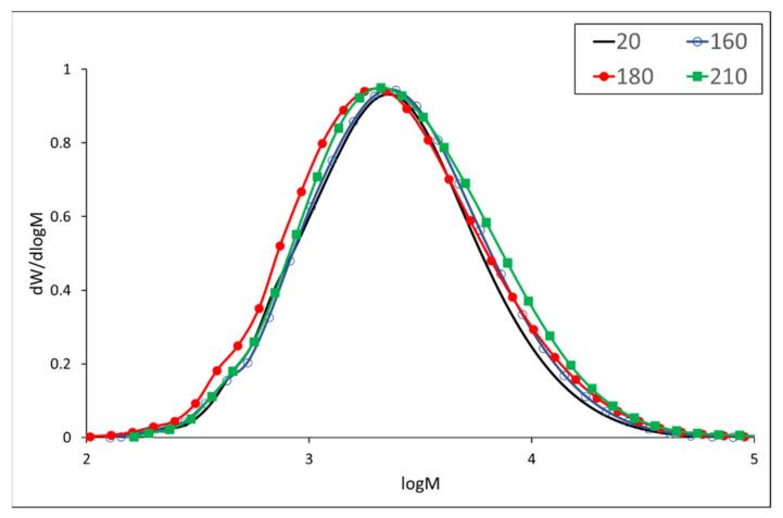
Thermal modification is an environmentally friendly process in which technological properties of wood are modified using thermal energy without adding chemicals, the result of which is a value-added product. Wood samples of three tropical wood species (meranti, padauk, and merbau) were thermally treated according to the ThermoWood process at various temperatures (160, 180, 210 °C) and changes in isolated lignin were evaluated by nitrobenzene oxidation (NBO), Fourier-transform infrared spectroscopy (FTIR), and size exclusion chromatography (SEC). New data on the lignins of the investigated wood species were obtained, e.g., syringyl to guaiacyl ratio values (S/G) were 1.21, 1.70, and 3.09, and molecular weights were approx. 8600, 4300, and 8300 g·mol for meranti, padauk, and merbau, respectively. Higher temperatures cause a decrease of methoxyls and an increase in C=O groups. Simultaneous degradation and condensation reactions in lignin occur during thermal treatment, the latter prevailing at higher temperatures.

摘要

热改性是一种环境友好型工艺,即在不添加化学物质的情况下利用热能改变木材的技术性能,其结果是得到一种增值产品。对三种热带木材(柳桉木、紫檀木和香洋椿木)的木材样本按照ThermoWood工艺在不同温度(160、180、210℃)下进行热处理,并通过硝基苯氧化法(NBO)、傅里叶变换红外光谱法(FTIR)和尺寸排阻色谱法(SEC)评估分离出的木质素的变化。获得了有关所研究木材种类木质素的新数据,例如,紫丁香基与愈创木基比率值(S/G)分别为1.21、1.70和3.09,分子量对于柳桉木、紫檀木和香洋椿木分别约为8600、4300和8300 g·mol。较高温度会导致甲氧基减少和C=O基团增加。在热处理过程中,木质素会同时发生降解和缩合反应,后者在较高温度下占主导。

https://cdn.ncbi.nlm.nih.gov/pmc/blobs/d23b/8037302/6961e93710ef/polymers-13-00993-g001.jpg

文献检索

告别复杂PubMed语法,用中文像聊天一样搜索,搜遍4000万医学文献。AI智能推荐,让科研检索更轻松。

立即免费搜索

文件翻译

保留排版,准确专业,支持PDF/Word/PPT等文件格式,支持 12+语言互译。

免费翻译文档

深度研究

AI帮你快速写综述,25分钟生成高质量综述,智能提取关键信息,辅助科研写作。

立即免费体验