• 文献检索
  • 文档翻译
  • 深度研究
  • 学术资讯
  • Suppr Zotero 插件Zotero 插件
  • 邀请有礼
  • 套餐&价格
  • 历史记录
应用&插件
Suppr Zotero 插件Zotero 插件浏览器插件Mac 客户端Windows 客户端微信小程序
定价
高级版会员购买积分包购买API积分包
服务
文献检索文档翻译深度研究API 文档MCP 服务
关于我们
关于 Suppr公司介绍联系我们用户协议隐私条款
关注我们

Suppr 超能文献

核心技术专利:CN118964589B侵权必究
粤ICP备2023148730 号-1Suppr @ 2026

文献检索

告别复杂PubMed语法,用中文像聊天一样搜索,搜遍4000万医学文献。AI智能推荐,让科研检索更轻松。

立即免费搜索

文件翻译

保留排版,准确专业,支持PDF/Word/PPT等文件格式,支持 12+语言互译。

免费翻译文档

深度研究

AI帮你快速写综述,25分钟生成高质量综述,智能提取关键信息,辅助科研写作。

立即免费体验

用于前列腺癌治疗的载有1'-乙酰氧基胡椒酚乙酸酯(ACA)的纳米结构脂质载体的研发与评估

Development and Evaluation of 1'-Acetoxychavicol Acetate (ACA)-Loaded Nanostructured Lipid Carriers for Prostate Cancer Therapy.

作者信息

Subramaniam Bavani, Arshad Norhafiza M, Malagobadan Sharan, Misran Misni, Nyamathulla Shaik, Mun Kein Seong, Nagoor Noor Hasima

机构信息

Institute of Biological Sciences, Faculty of Science, University of Malaya, Kuala Lumpur 50603, Malaysia.

Centre for Research in Biotechnology for Agriculture (CEBAR), University of Malaya, Kuala Lumpur 50603, Malaysia.

出版信息

Pharmaceutics. 2021 Mar 24;13(4):439. doi: 10.3390/pharmaceutics13040439.

DOI:10.3390/pharmaceutics13040439
PMID:33804975
原文链接:https://pmc.ncbi.nlm.nih.gov/articles/PMC8063947/
Abstract

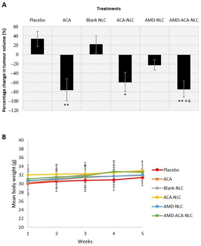
1'-acetoxychavicol acetate (ACA) extracted from the rhizomes of Griff (Zingiberaceae) has been shown to deregulate the NF-ĸB signaling pathway and induce apoptosis-mediated cell death in many cancer types. However, ACA is a hydrophobic ester, with poor solubility in an aqueous medium, limited bioavailability, and nonspecific targeting in vivo. To address these problems, ACA was encapsulated in a nanostructured lipid carrier (NLC) anchored with plerixafor octahydrochloride (AMD3100) to promote targeted delivery towards C-X-C chemokine receptor type 4 (CXCR4)-expressing prostate cancer cells. The NLC was prepared using the melt and high sheer homogenization method, and it exhibited ideal physico-chemical properties, successful encapsulation and modification, and sustained rate of drug release. Furthermore, it demonstrated time-based and improved cellular uptake, and improved cytotoxic and anti-metastatic properties on PC-3 cells in vitro. Additionally, the in vivo animal tumor model revealed significant anti-tumor efficacy and reduction in pro-tumorigenic markers in comparison to the placebo, without affecting the weight and physiological states of the nude mice. Overall, ACA-loaded NLC with AMD3100 surface modification was successfully prepared with evidence of substantial anti-cancer efficacy. These results suggest the potential use of AMD3100-modified NLCs as a targeting carrier for cytotoxic drugs towards CXCR4-expressing cancer cells.

摘要

从莪术(姜科)根茎中提取的1'-乙酰氧基查维醇醋酸酯(ACA)已被证明可在多种癌症类型中失调NF-κB信号通路并诱导凋亡介导的细胞死亡。然而,ACA是一种疏水性酯,在水性介质中的溶解度差,生物利用度有限,且在体内靶向性不明确。为了解决这些问题,将ACA包裹在锚定八盐酸普勒克索(AMD3100)的纳米结构脂质载体(NLC)中,以促进向表达C-X-C趋化因子受体4(CXCR4)的前列腺癌细胞的靶向递送。采用熔融和高剪切均质法制备NLC,其表现出理想的物理化学性质、成功的包封和修饰以及持续的药物释放速率。此外,它在体外对PC-3细胞表现出基于时间的、改善的细胞摄取以及改善的细胞毒性和抗转移特性。另外,体内动物肿瘤模型显示与安慰剂相比具有显著的抗肿瘤功效和促肿瘤标志物的减少,且不影响裸鼠的体重和生理状态。总体而言,成功制备了表面修饰有AMD3100的载ACA的NLC,有大量抗癌功效的证据。这些结果表明AMD3100修饰的NLCs作为细胞毒性药物向表达CXCR4的癌细胞的靶向载体的潜在用途。

https://cdn.ncbi.nlm.nih.gov/pmc/blobs/b0f0/8063947/adad331825af/pharmaceutics-13-00439-g009.jpg
https://cdn.ncbi.nlm.nih.gov/pmc/blobs/b0f0/8063947/cc49c435dbe8/pharmaceutics-13-00439-g001.jpg
https://cdn.ncbi.nlm.nih.gov/pmc/blobs/b0f0/8063947/e18b0d14f7cf/pharmaceutics-13-00439-g002.jpg
https://cdn.ncbi.nlm.nih.gov/pmc/blobs/b0f0/8063947/90d0d93189ac/pharmaceutics-13-00439-g003.jpg
https://cdn.ncbi.nlm.nih.gov/pmc/blobs/b0f0/8063947/0c40c202dc58/pharmaceutics-13-00439-g004.jpg
https://cdn.ncbi.nlm.nih.gov/pmc/blobs/b0f0/8063947/f0ff12a30be6/pharmaceutics-13-00439-g005.jpg
https://cdn.ncbi.nlm.nih.gov/pmc/blobs/b0f0/8063947/c8cba22aabcd/pharmaceutics-13-00439-g006.jpg
https://cdn.ncbi.nlm.nih.gov/pmc/blobs/b0f0/8063947/d02d7d8a320d/pharmaceutics-13-00439-g007.jpg
https://cdn.ncbi.nlm.nih.gov/pmc/blobs/b0f0/8063947/7da2ed8d05be/pharmaceutics-13-00439-g008.jpg
https://cdn.ncbi.nlm.nih.gov/pmc/blobs/b0f0/8063947/adad331825af/pharmaceutics-13-00439-g009.jpg
https://cdn.ncbi.nlm.nih.gov/pmc/blobs/b0f0/8063947/cc49c435dbe8/pharmaceutics-13-00439-g001.jpg
https://cdn.ncbi.nlm.nih.gov/pmc/blobs/b0f0/8063947/e18b0d14f7cf/pharmaceutics-13-00439-g002.jpg
https://cdn.ncbi.nlm.nih.gov/pmc/blobs/b0f0/8063947/90d0d93189ac/pharmaceutics-13-00439-g003.jpg
https://cdn.ncbi.nlm.nih.gov/pmc/blobs/b0f0/8063947/0c40c202dc58/pharmaceutics-13-00439-g004.jpg
https://cdn.ncbi.nlm.nih.gov/pmc/blobs/b0f0/8063947/f0ff12a30be6/pharmaceutics-13-00439-g005.jpg
https://cdn.ncbi.nlm.nih.gov/pmc/blobs/b0f0/8063947/c8cba22aabcd/pharmaceutics-13-00439-g006.jpg
https://cdn.ncbi.nlm.nih.gov/pmc/blobs/b0f0/8063947/d02d7d8a320d/pharmaceutics-13-00439-g007.jpg
https://cdn.ncbi.nlm.nih.gov/pmc/blobs/b0f0/8063947/7da2ed8d05be/pharmaceutics-13-00439-g008.jpg
https://cdn.ncbi.nlm.nih.gov/pmc/blobs/b0f0/8063947/adad331825af/pharmaceutics-13-00439-g009.jpg

相似文献

1
Development and Evaluation of 1'-Acetoxychavicol Acetate (ACA)-Loaded Nanostructured Lipid Carriers for Prostate Cancer Therapy.用于前列腺癌治疗的载有1'-乙酰氧基胡椒酚乙酸酯(ACA)的纳米结构脂质载体的研发与评估
Pharmaceutics. 2021 Mar 24;13(4):439. doi: 10.3390/pharmaceutics13040439.
2
Recombinant human alpha fetoprotein synergistically potentiates the anti-cancer effects of 1'-S-1'-acetoxychavicol acetate when used as a complex against human tumours harbouring AFP-receptors.重组人甲胎蛋白与1'-S-1'-乙酰氧基胡椒酚乙酸酯形成复合物用于对抗带有甲胎蛋白受体的人类肿瘤时,能协同增强其抗癌效果。
Oncotarget. 2015 Jun 30;6(18):16151-67. doi: 10.18632/oncotarget.3951.
3
Dual-function nanostructured lipid carriers to deliver IR780 for breast cancer treatment: Anti-metastatic and photothermal anti-tumor therapy.用于乳腺癌治疗的双功能纳米结构脂质载体递送IR780:抗转移和光热抗肿瘤治疗
Acta Biomater. 2017 Apr 15;53:399-413. doi: 10.1016/j.actbio.2017.01.070. Epub 2017 Feb 1.
4
In vitro inhibitory mechanisms and molecular docking of 1'-S-1'-acetoxychavicol acetate on human cytochrome P450 enzymes.1'-S-1'-乙酰氧基胡椒酚乙酸酯对人细胞色素P450酶的体外抑制机制及分子对接
Phytomedicine. 2017 Jul 15;31:1-9. doi: 10.1016/j.phymed.2017.05.002. Epub 2017 May 3.
5
Novel purification of 1'S-1'-Acetoxychavicol acetate from Alpinia galanga and its cytotoxic plus antiproliferative activity in colorectal adenocarcinoma cell line SW480.从高良姜中新型纯化1'S-1'-乙酰氧基胡椒酚乙酸酯及其在结肠腺癌SW480细胞系中的细胞毒性和抗增殖活性
Biomed Pharmacother. 2017 Jul;91:485-493. doi: 10.1016/j.biopha.2017.04.114. Epub 2017 May 4.
6
Pharmacological Effects of 1'-Acetoxychavicol Acetate, a Major Constituent in the Rhizomes of and .1'-乙酰氧基胡椒酚乙酸酯的药理学作用,一种在 和 的根茎中的主要成分。
J Med Food. 2020 May;23(5):465-475. doi: 10.1089/jmf.2019.4490. Epub 2020 Feb 18.
7
Nanostructured lipid carriers used for oral delivery of oridonin: an effect of ligand modification on absorption.用于冬凌草甲素口服递送的纳米结构脂质载体:配体修饰对吸收的影响
Int J Pharm. 2015 Feb 20;479(2):391-8. doi: 10.1016/j.ijpharm.2014.12.068. Epub 2014 Dec 30.
8
Effect of octreotide-polyethylene glycol(100) monostearate modification on the pharmacokinetics and cellular uptake of nanostructured lipid carrier loaded with hydroxycamptothecine.奥曲肽聚乙二醇单硬脂酸酯修饰对载羟基喜树碱纳米结构脂质载体药代动力学和细胞摄取的影响。
Mol Pharm. 2011 Oct 3;8(5):1641-51. doi: 10.1021/mp100463n. Epub 2011 Aug 16.
9
The apoptotic effect of 1's-1'-acetoxychavicol acetate from Alpinia conchigera on human cancer cells.山姜素 1'-1'-醋酸酯对人癌细胞的凋亡作用。
Molecules. 2010 Nov 9;15(11):8048-59. doi: 10.3390/molecules15118048.
10
G5-PEG PAMAM dendrimer incorporating nanostructured lipid carriers enhance oral bioavailability and plasma lipid-lowering effect of probucol.聚乙二醇化五倍体树枝状大分子纳米脂质载体提高普罗布考的口服生物利用度和降血脂作用
J Control Release. 2015 Jul 28;210:160-8. doi: 10.1016/j.jconrel.2015.05.281. Epub 2015 May 21.

引用本文的文献

1
Galangin and 1'-Acetoxychavicol Acetate from Galangal () Suppress Lymphoma Growth via c-Myc Downregulation and Apoptosis Induction.高良姜中的高良姜素和1'-乙酰氧基胡椒酚乙酸酯通过下调c-Myc和诱导凋亡抑制淋巴瘤生长。
Biology (Basel). 2025 Aug 21;14(8):1098. doi: 10.3390/biology14081098.
2
Evaluation of the Cytotoxic Activity of Nanostructured Lipid Carrier Systems for Fatty Acid Amides and Silk Fibroins in Breast Cancer Cell Lines.纳米结构脂质载体系统对乳腺癌细胞系中脂肪酸酰胺和丝素蛋白的细胞毒性活性评估
Molecules. 2025 Aug 11;30(16):3337. doi: 10.3390/molecules30163337.
3
Natural Products for Cancer Therapy: A Review of Their Mechanism of Actions and Toxicity in the Past Decade.

本文引用的文献

1
BioPerine Encapsulated Nanoformulation for Overcoming Drug-Resistant Breast Cancers.用于克服耐药性乳腺癌的生物胡椒碱包封纳米制剂
Asian J Pharm Sci. 2020 Nov;15(6):701-712. doi: 10.1016/j.ajps.2020.04.001. Epub 2020 May 17.
2
Trastuzumab Targeted Neratinib Loaded Poly-Amidoamine Dendrimer Nanocapsules for Breast Cancer Therapy.曲妥珠单抗靶向尼拉替尼载聚酰胺-胺树枝状大分子纳米囊用于乳腺癌治疗。
Int J Nanomedicine. 2020 Jul 30;15:5433-5443. doi: 10.2147/IJN.S256898. eCollection 2020.
3
Antitumor and Anti-Metastatic Effects of Citral-Loaded Nanostructured Lipid Carrier in 4T1-Induced Breast Cancer Mouse Model.
用于癌症治疗的天然产物:过去十年其作用机制和毒性综述
J Trop Med. 2022 Mar 11;2022:5794350. doi: 10.1155/2022/5794350. eCollection 2022.
4
Recent Advances in Functional Polymer Materials for Energy, Water, and Biomedical Applications: A Review.用于能源、水和生物医学应用的功能高分子材料的最新进展:综述
Polymers (Basel). 2021 Dec 10;13(24):4327. doi: 10.3390/polym13244327.
载柠檬醛纳米结构脂质载体的抗肿瘤和抗转移作用在 4T1 诱导的乳腺癌小鼠模型中的研究。
Molecules. 2020 Jun 9;25(11):2670. doi: 10.3390/molecules25112670.
4
Docetaxel-loaded ultrasmall nanostructured lipid carriers for cancer therapy: in vitro and in vivo evaluation.载多西紫杉醇的超小型纳米结构脂质载体用于癌症治疗:体外和体内评价。
Cancer Chemother Pharmacol. 2020 Apr;85(4):731-739. doi: 10.1007/s00280-020-04048-6. Epub 2020 Mar 7.
5
Short Term Stability Testing of Efavirenz-Loaded Solid Lipid Nanoparticle (SLN) and Nanostructured Lipid Carrier (NLC) Dispersions.依法韦仑载药固体脂质纳米粒(SLN)和纳米结构脂质载体(NLC)分散体的短期稳定性测试
Pharmaceutics. 2019 Aug 8;11(8):397. doi: 10.3390/pharmaceutics11080397.
6
Effect of Oil Content on Physiochemical Characteristics of γ-Oryzanol-Loaded Nanostructured Lipid Carriers.油含量对负载γ-谷维素的纳米结构脂质载体理化特性的影响
J Oleo Sci. 2019 Aug 1;68(8):699-707. doi: 10.5650/jos.ess18127. Epub 2019 Jul 10.
7
Low density lipoprotein-inspired nanostructured lipid nanoparticles containing pro-doxorubicin to enhance tumor-targeted therapeutic efficiency.载有前药阿霉素的低密度脂蛋白启发型纳米结构化脂质纳米粒,以增强肿瘤靶向治疗效果。
Acta Biomater. 2019 Sep 15;96:456-467. doi: 10.1016/j.actbio.2019.06.051. Epub 2019 Jun 28.
8
In vitro cytotoxicity and anticancer effects of citral nanostructured lipid carrier on MDA MBA-231 human breast cancer cells.体外细胞毒性和柠檬醛纳米结构脂质载体对 MDA-MB-231 人乳腺癌细胞的抗癌作用。
Sci Rep. 2019 Feb 7;9(1):1614. doi: 10.1038/s41598-018-38214-x.
9
AMD3100 inhibits epithelial-mesenchymal transition, cell invasion, and metastasis in the liver and the lung through blocking the SDF-1α/CXCR4 signaling pathway in prostate cancer.AMD3100 通过阻断前列腺癌中的 SDF-1α/CXCR4 信号通路抑制肝和肺中的上皮-间充质转化、细胞侵袭和转移。
J Cell Physiol. 2019 Jul;234(7):11746-11759. doi: 10.1002/jcp.27831. Epub 2018 Dec 7.
10
Cell penetrating peptides functionalized gambogic acid-nanostructured lipid carrier for cancer treatment.穿膜肽修饰藤黄酸纳米结构脂质载体用于癌症治疗。
Drug Deliv. 2018 Nov;25(1):757-765. doi: 10.1080/10717544.2018.1446474.