• 文献检索
  • 文档翻译
  • 深度研究
  • 学术资讯
  • Suppr Zotero 插件Zotero 插件
  • 邀请有礼
  • 套餐&价格
  • 历史记录
应用&插件
Suppr Zotero 插件Zotero 插件浏览器插件Mac 客户端Windows 客户端微信小程序
定价
高级版会员购买积分包购买API积分包
服务
文献检索文档翻译深度研究API 文档MCP 服务
关于我们
关于 Suppr公司介绍联系我们用户协议隐私条款
关注我们

Suppr 超能文献

核心技术专利:CN118964589B侵权必究
粤ICP备2023148730 号-1Suppr @ 2026

文献检索

告别复杂PubMed语法,用中文像聊天一样搜索,搜遍4000万医学文献。AI智能推荐,让科研检索更轻松。

立即免费搜索

文件翻译

保留排版,准确专业,支持PDF/Word/PPT等文件格式,支持 12+语言互译。

免费翻译文档

深度研究

AI帮你快速写综述,25分钟生成高质量综述,智能提取关键信息,辅助科研写作。

立即免费体验

衰弱状态与多重用药可预测欧洲社区居住老年人的全因死亡率。

Frailty Status and Polypharmacy Predict All-Cause Mortality in Community Dwelling Older Adults in Europe.

作者信息

Midão Luís, Brochado Pedro, Almada Marta, Duarte Mafalda, Paúl Constança, Costa Elísio

机构信息

UCIBIO REQUIMTE, Faculty of Pharmacy, Porto4Ageing, University of Porto, 4050-313 Porto, Portugal.

Institute of Biomedical Sciences Abel Salazar, University of Porto, 4050-313 Porto, Portugal.

出版信息

Int J Environ Res Public Health. 2021 Mar 30;18(7):3580. doi: 10.3390/ijerph18073580.

DOI:10.3390/ijerph18073580
PMID:33808273
原文链接:https://pmc.ncbi.nlm.nih.gov/articles/PMC8036295/
Abstract

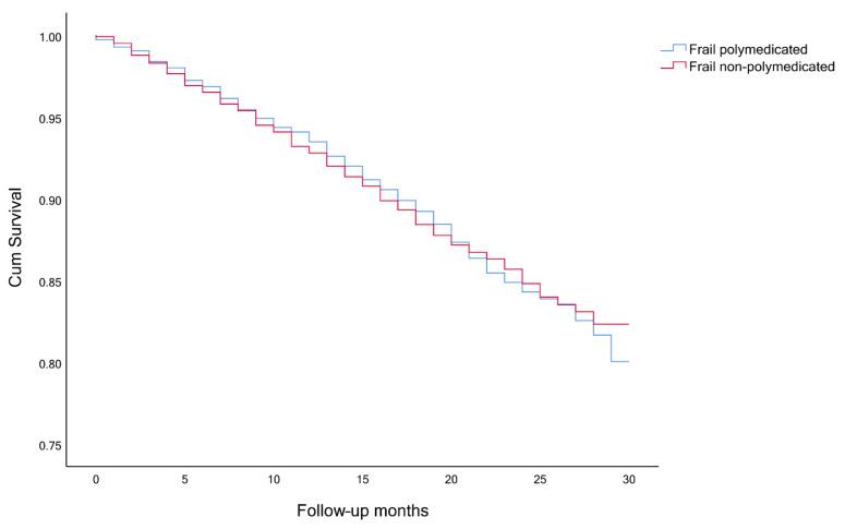
European population ageing is associated with frailty, a complex geriatric syndrome, and polypharmacy, both resulting in adverse health outcomes. In this study we aimed to evaluate the impact of frailty and polypharmacy, on mortality rates, within 30 months, using a cohort of SHARE participants aged 65 years old or more. Frailty was assessed using a version of Fried's phenotype criteria operationalized to SHARE while polypharmacy was defined as taking five or more drugs per day. We found a prevalence of 40.4% non-frail, 47.3% pre-frail and 12.3% frail participants. Moreover, a prevalence of polypharmacy of 31.3% was observed, being 3 three times more prevalent in frail individuals and two times in pre-frail individuals, when compared with non-frail. Individuals with both conditions had shown higher mortality rates. Comparing with non-polymedicated non-frail individuals all the other conditions are more prone to die within 30 months. Polymedicated older and male participants exhibited also higher mortality rates. This work shows polypharmacy and frailty to be associated with a higher risk of all-cause of mortality and highlights the need to decrease 'unnecessary' polypharmacy to reduce drug-related issues and also the need to assess frailty early to prevent avoidable adverse outcomes.

摘要

欧洲人口老龄化与衰弱(一种复杂的老年综合征)和多重用药有关,这两者都会导致不良健康后果。在本研究中,我们旨在利用一组65岁及以上的健康、退休和老龄化欧洲地区健康研究(SHARE)参与者,评估衰弱和多重用药在30个月内对死亡率的影响。衰弱采用针对SHARE实施的弗里德表型标准版本进行评估,而多重用药定义为每天服用五种或更多药物。我们发现,非衰弱参与者的患病率为40.4%,衰弱前期参与者为47.3%,衰弱参与者为12.3%。此外,观察到多重用药的患病率为31.3%,与非衰弱个体相比,衰弱个体的患病率高出三倍,衰弱前期个体高出两倍。同时患有这两种情况的个体死亡率更高。与未多重用药的非衰弱个体相比,所有其他情况在30个月内死亡的可能性更大。多重用药的老年男性参与者死亡率也更高。这项研究表明,多重用药和衰弱与全因死亡率风险较高有关,并强调需要减少“不必要的”多重用药以减少药物相关问题,还需要尽早评估衰弱以预防可避免的不良后果。

https://cdn.ncbi.nlm.nih.gov/pmc/blobs/06cb/8036295/0d1757b242d8/ijerph-18-03580-g005.jpg
https://cdn.ncbi.nlm.nih.gov/pmc/blobs/06cb/8036295/3d13186ab931/ijerph-18-03580-g001.jpg
https://cdn.ncbi.nlm.nih.gov/pmc/blobs/06cb/8036295/2065254726a0/ijerph-18-03580-g002.jpg
https://cdn.ncbi.nlm.nih.gov/pmc/blobs/06cb/8036295/d9ff7864d888/ijerph-18-03580-g003.jpg
https://cdn.ncbi.nlm.nih.gov/pmc/blobs/06cb/8036295/bce69e98cbad/ijerph-18-03580-g004.jpg
https://cdn.ncbi.nlm.nih.gov/pmc/blobs/06cb/8036295/0d1757b242d8/ijerph-18-03580-g005.jpg
https://cdn.ncbi.nlm.nih.gov/pmc/blobs/06cb/8036295/3d13186ab931/ijerph-18-03580-g001.jpg
https://cdn.ncbi.nlm.nih.gov/pmc/blobs/06cb/8036295/2065254726a0/ijerph-18-03580-g002.jpg
https://cdn.ncbi.nlm.nih.gov/pmc/blobs/06cb/8036295/d9ff7864d888/ijerph-18-03580-g003.jpg
https://cdn.ncbi.nlm.nih.gov/pmc/blobs/06cb/8036295/bce69e98cbad/ijerph-18-03580-g004.jpg
https://cdn.ncbi.nlm.nih.gov/pmc/blobs/06cb/8036295/0d1757b242d8/ijerph-18-03580-g005.jpg

相似文献

1
Frailty Status and Polypharmacy Predict All-Cause Mortality in Community Dwelling Older Adults in Europe.衰弱状态与多重用药可预测欧洲社区居住老年人的全因死亡率。
Int J Environ Res Public Health. 2021 Mar 30;18(7):3580. doi: 10.3390/ijerph18073580.
2
Changes in frailty status in a community-dwelling cohort of older adults: The VERISAÚDE study.社区居住的老年人队列中虚弱状况的变化:VERISAÚDE 研究。
Maturitas. 2019 Jan;119:54-60. doi: 10.1016/j.maturitas.2018.11.006. Epub 2018 Nov 15.
3
Polypharmacy at discharge in older hospitalised patients in Vietnam and its association with frailty.越南老年住院患者出院时的多重用药及其与虚弱的关系。
Australas J Ageing. 2020 Sep;39(3):230-236. doi: 10.1111/ajag.12722. Epub 2019 Nov 1.
4
How do potentially inappropriate medications and polypharmacy affect mortality in frail and non-frail cognitively impaired older adults? A cohort study.潜在不适当药物和多种药物治疗如何影响体弱和认知功能正常的老年衰弱患者的死亡率?一项队列研究。
BMJ Open. 2019 May 14;9(5):e026171. doi: 10.1136/bmjopen-2018-026171.
5
Fried phenotype of frailty: cross-sectional comparison of three frailty stages on various health domains.衰弱的Fried表型:三个衰弱阶段在不同健康领域的横断面比较。
BMC Geriatr. 2015 Jul 9;15:77. doi: 10.1186/s12877-015-0078-0.
6
Association of coexistence of frailty and depressive symptoms with mortality in community-dwelling older adults: Kashiwa Cohort Study.社区居住老年人中衰弱与抑郁症状共存与死亡率的关联:柏市队列研究
Arch Gerontol Geriatr. 2024 Apr;119:105322. doi: 10.1016/j.archger.2023.105322. Epub 2023 Dec 21.
7
Frailty phenotype and its association with all-cause mortality in community-dwelling Norwegian women and men aged 70 years and older: The Tromsø Study 2001-2016.虚弱表型及其与居住在社区的 70 岁及以上挪威男女全因死亡率的相关性:2001-2016 年特罗姆瑟研究。
Geriatr Gerontol Int. 2018 Aug;18(8):1200-1205. doi: 10.1111/ggi.13447. Epub 2018 May 29.
8
Prevalence of frailty status among the European elderly population: Findings from the Survey of Health, Aging and Retirement in Europe.欧洲老年人群体衰弱状况的流行率:来自欧洲健康、老龄化和退休调查的研究结果。
Geriatr Gerontol Int. 2019 Aug;19(8):723-729. doi: 10.1111/ggi.13689. Epub 2019 May 30.
9
Medication exposure and frailty in older community-dwelling patients: a cross-sectional study.药物暴露与老年社区居住患者的虚弱:一项横断面研究。
Int J Clin Pharm. 2020 Apr;42(2):508-514. doi: 10.1007/s11096-020-01007-2. Epub 2020 Mar 5.
10
Longitudinal associations of polypharmacy and frailty with major cardiovascular events and mortality among more than half a million middle-aged participants of the UK Biobank.在英国生物银行超过 50 万的中年参与者中,多种药物治疗和衰弱与主要心血管事件和死亡率的纵向关联。
Maturitas. 2024 Jul;185:107998. doi: 10.1016/j.maturitas.2024.107998. Epub 2024 Apr 20.

引用本文的文献

1
Prevalence and Determinants of Frailty in Community-Dwelling Iranian Older Adults: A Cross-Sectional Study.伊朗社区居住老年人衰弱的患病率及决定因素:一项横断面研究。
Health Sci Rep. 2025 Sep 1;8(9):e71202. doi: 10.1002/hsr2.71202. eCollection 2025 Sep.
2
Geriatric Assessment as an Important Tool for Post-Hip Surgery Prognosis in Seniors.老年评估作为老年人髋关节置换术后预后的重要工具。
Nurs Rep. 2025 Jul 17;15(7):262. doi: 10.3390/nursrep15070262.
3
Frail older people ageing in place alone and their perception of the built environment in rural and urban sites: a mixed-methods study.

本文引用的文献

1
The Association of Frailty with Hospitalizations and Mortality among Community Dwelling Older Adults with Diabetes.社区居住的老年糖尿病患者中衰弱与住院及死亡率的关联
J Frailty Aging. 2020;9(2):94-100. doi: 10.14283/jfa.2019.31.
2
The effect of frailty on outcomes of surgically treated hip fractures in older people.衰弱对老年人手术治疗髋部骨折结局的影响。
Bone. 2020 Jul;136:115327. doi: 10.1016/j.bone.2020.115327. Epub 2020 Mar 21.
3
Effects of Frailty on Outcomes and 30-day Readmissions After Surgical Mitral Valve Replacement.
独自居家养老的体弱老年人及其对农村和城市地区建成环境的认知:一项混合方法研究。
BMC Geriatr. 2025 Jul 2;25(1):457. doi: 10.1186/s12877-025-06083-5.
4
FRAILSURVEY-an mHealth App for Self-Assessment of Frailty Based on the Portuguese Version of the Groningen Frailty Indicator: Validation and Reliability Study.FRAILSURVEY——一款基于格罗宁根衰弱指标葡萄牙语版本的用于衰弱自我评估的移动健康应用程序:验证与可靠性研究。
JMIR Form Res. 2025 Mar 7;9:e51975. doi: 10.2196/51975.
5
Integrating frailty interventions into existing care models: a comprehensive approach to enhancing patient outcomes in chronic disease management.将衰弱干预措施整合到现有护理模式中:一种改善慢性病管理患者结局的综合方法。
Front Public Health. 2025 Jan 21;12:1518774. doi: 10.3389/fpubh.2024.1518774. eCollection 2024.
6
Assessing Cardiovascular Risk in Geriatric Patients Without Atherosclerotic Cardiovascular Disease.评估无动脉粥样硬化性心血管疾病老年患者的心血管风险
J Clin Med. 2024 Nov 25;13(23):7133. doi: 10.3390/jcm13237133.
7
Identifying and Estimating Frailty Phenotypes by Vocal Biomarkers: Cross-Sectional Study.基于声学生物标志物识别和估计衰弱表型:横断面研究。
J Med Internet Res. 2024 Nov 8;26:e58466. doi: 10.2196/58466.
8
General practitioners' views on inappropriate prescribing for older patients: a qualitative study through focus groups.全科医生对老年患者不适当处方的看法:通过焦点小组进行的定性研究。
BMC Geriatr. 2024 Oct 18;24(1):847. doi: 10.1186/s12877-024-05451-x.
9
Improving the assessment of older adult's nutrition in primary care: recommendations for a proactive, patient-centred and aetiology approach.改善初级保健中老年人营养状况评估:关于采取积极主动、以患者为中心及病因学方法的建议。
BMJ Nutr Prev Health. 2023 Nov 2;6(2):402-406. doi: 10.1136/bmjnph-2023-000661. eCollection 2023.
10
What is the association of polypharmacy with frailty in heart failure? A systematic review and meta-analysis.多重用药与心力衰竭患者衰弱之间有何关联?一项系统评价与荟萃分析。
J Frailty Sarcopenia Falls. 2024 Mar 1;9(1):51-65. doi: 10.22540/JFSF-09-051. eCollection 2024 Mar.
虚弱对手术二尖瓣置换术后结局和 30 天再入院的影响。
Ann Thorac Surg. 2020 Apr;109(4):1120-1126. doi: 10.1016/j.athoracsur.2019.10.087.
4
Frailty Confers High Mortality Risk across Different Populations: Evidence from an Overview of Systematic Reviews and Meta-Analyses.衰弱在不同人群中均赋予高死亡风险:来自系统评价和荟萃分析概述的证据。
Geriatrics (Basel). 2020 Mar 12;5(1):17. doi: 10.3390/geriatrics5010017.
5
Frailty index predicts long-term mortality and postoperative complications in patients undergoing endovascular aortic aneurysm repair.衰弱指数可预测接受血管腔内主动脉瘤修复术患者的长期死亡率和术后并发症。
J Vasc Surg. 2020 Nov;72(5):1674-1680. doi: 10.1016/j.jvs.2020.01.045. Epub 2020 Mar 10.
6
Modified Frailty Index Predicts Postoperative Outcomes in Patients Undergoing Radical Pelvic Surgery.改良虚弱指数可预测接受根治性盆腔手术患者的术后结局。
Am Surg. 2020 Feb 1;86(2):95-103.
7
Frailty: implications for clinical practice and public health.虚弱:对临床实践和公共卫生的影响。
Lancet. 2019 Oct 12;394(10206):1365-1375. doi: 10.1016/S0140-6736(19)31786-6.
8
Frailty Status Predicts All-Cause and Cause-Specific Mortality in Community Dwelling Older Adults.衰弱状况预测社区居住的老年人群全因死亡率和死因特异性死亡率。
J Am Med Dir Assoc. 2019 Oct;20(10):1230-1235.e2. doi: 10.1016/j.jamda.2019.06.007. Epub 2019 Jul 24.
9
Geriatric Pharmacology: An Update.老年药理学:最新进展
Anesthesiol Clin. 2019 Sep;37(3):475-492. doi: 10.1016/j.anclin.2019.04.007. Epub 2019 Jun 19.
10
Prevalence of frailty status among the European elderly population: Findings from the Survey of Health, Aging and Retirement in Europe.欧洲老年人群体衰弱状况的流行率:来自欧洲健康、老龄化和退休调查的研究结果。
Geriatr Gerontol Int. 2019 Aug;19(8):723-729. doi: 10.1111/ggi.13689. Epub 2019 May 30.