Suppr超能文献

2019冠状病毒病重症患者急性肾损伤的危险因素及预后

Risk Factors and Outcomes of Acute Kidney Injury in Critically Ill Patients with Coronavirus Disease 2019.

作者信息

Cheng Yichun, Zhang Nanhui, Luo Ran, Zhang Meng, Wang Zhixiang, Dong Lei, Li Junhua, Zeng Rui, Yao Ying, Ge Shuwang, Xu Gang

机构信息

Department of Nephrology, Tongji Hospital Affiliated to Tongji Medical College, Huazhong University of Science and Technology, Wuhan, China.

出版信息

Kidney Dis (Basel). 2021 Mar;7(2):111-119. doi: 10.1159/000512270. Epub 2020 Oct 26.

Abstract

BACKGROUND

Coronavirus disease 2019 (COVID-19) has emerged as a major global health threat with a great number of deaths worldwide. Acute kidney injury (AKI) is a common complication in patients admitted to the intensive care unit. We aimed to assess the incidence, risk factors and in-hospital outcomes of AKI in COVID-19 patients admitted to the intensive care unit.

METHODS

We conducted a retrospective observational study in the intensive care unit of Tongji Hospital, which was assigned responsibility for the treatments of severe COVID-19 patients by the Wuhan government. AKI was defined and staged based on Kidney Disease: Improving Global Outcomes (KDIGO) criteria. Mild AKI was defined as stage 1, and severe AKI was defined as stage 2 or stage 3. Logistic regression analysis was used to evaluate AKI risk factors, and Cox proportional hazards model was used to assess the association between AKI and in-hospital mortality.

RESULTS

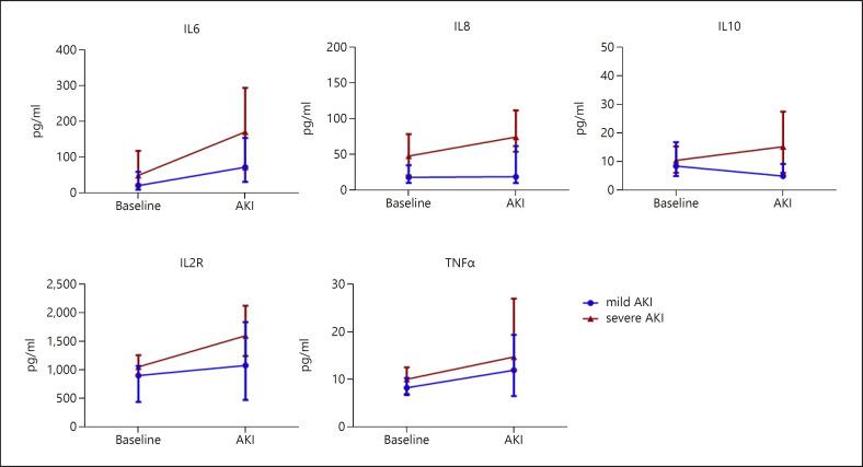
A total of 119 patients with COVID-19 were included in our study. The median patient age was 70 years (interquartile range, 59-77) and 61.3% were male. Fifty-one (42.8%) patients developed AKI during hospitalization, corresponding to 14.3% in stage 1, 28.6% in stage 2 and 18.5% in stage 3, respectively. Compared to patients without AKI, patients with AKI had a higher proportion of mechanical ventilation mortality and higher in-hospital mortality. A total of 97.1% of patients with severe AKI received mechanical ventilation and in-hospital mortality was up to 79.4%. Severe AKI was independently associated with high in-hospital mortality (OR: 1.82; 95% CI: 1.06-3.13). Logistic regression analysis demonstrated that high serum interleukin-8 (OR: 4.21; 95% CI: 1.23-14.38), interleukin-10 (OR: 3.32; 95% CI: 1.04-10.59) and interleukin-2 receptor (OR: 4.50; 95% CI: 0.73-6.78) were risk factors for severe AKI development.

CONCLUSIONS

Severe AKI was associated with high in-hospital mortality, and inflammatory response may play a role in AKI development in critically ill patients with COVID-19.

摘要

背景

2019冠状病毒病(COVID-19)已成为全球主要的健康威胁,在全球造成大量死亡。急性肾损伤(AKI)是入住重症监护病房患者的常见并发症。我们旨在评估入住重症监护病房的COVID-19患者中AKI的发病率、危险因素及院内结局。

方法

我们在武汉政府指定负责治疗重症COVID-19患者的同济医院重症监护病房进行了一项回顾性观察研究。根据改善全球肾脏病预后组织(KDIGO)标准对AKI进行定义和分期。轻度AKI定义为1期,重度AKI定义为2期或3期。采用逻辑回归分析评估AKI危险因素,采用Cox比例风险模型评估AKI与院内死亡率之间的关联。

结果

我们的研究共纳入119例COVID-19患者。患者年龄中位数为70岁(四分位间距,59 - 77岁),男性占61.3%。51例(42.8%)患者在住院期间发生AKI,其中1期占14.3%,2期占28.6%,3期占18.5%。与未发生AKI的患者相比,发生AKI的患者机械通气死亡率和院内死亡率更高。重度AKI患者中97.1%接受了机械通气,院内死亡率高达79.4%。重度AKI与高院内死亡率独立相关(比值比:1.82;95%置信区间:1.06 - 3.13)。逻辑回归分析表明,高血清白细胞介素-8(比值比:4.21;95%置信区间:1.23 - 14.38)、白细胞介素-10(比值比:3.32;95%置信区间:1.04 - 10.59)和白细胞介素-2受体(比值比:4.50;95%置信区间:0.73 - 6.78)是重度AKI发生的危险因素。

结论

重度AKI与高院内死亡率相关,炎症反应可能在重症COVID-19患者AKI的发生中起作用。

https://cdn.ncbi.nlm.nih.gov/pmc/blobs/e908/8010231/895303bf078e/kdd-0007-0111-g01.jpg

文献检索

告别复杂PubMed语法,用中文像聊天一样搜索,搜遍4000万医学文献。AI智能推荐,让科研检索更轻松。

立即免费搜索

文件翻译

保留排版,准确专业,支持PDF/Word/PPT等文件格式,支持 12+语言互译。

免费翻译文档

深度研究

AI帮你快速写综述,25分钟生成高质量综述,智能提取关键信息,辅助科研写作。

立即免费体验