• 文献检索
  • 文档翻译
  • 深度研究
  • 学术资讯
  • Suppr Zotero 插件Zotero 插件
  • 邀请有礼
  • 套餐&价格
  • 历史记录
应用&插件
Suppr Zotero 插件Zotero 插件浏览器插件Mac 客户端Windows 客户端微信小程序
定价
高级版会员购买积分包购买API积分包
服务
文献检索文档翻译深度研究API 文档MCP 服务
关于我们
关于 Suppr公司介绍联系我们用户协议隐私条款
关注我们

Suppr 超能文献

核心技术专利:CN118964589B侵权必究
粤ICP备2023148730 号-1Suppr @ 2026

文献检索

告别复杂PubMed语法,用中文像聊天一样搜索,搜遍4000万医学文献。AI智能推荐,让科研检索更轻松。

立即免费搜索

文件翻译

保留排版,准确专业,支持PDF/Word/PPT等文件格式,支持 12+语言互译。

免费翻译文档

深度研究

AI帮你快速写综述,25分钟生成高质量综述,智能提取关键信息,辅助科研写作。

立即免费体验

评估现场校准方法和低成本空气质量监测仪 AQMesh 的性能。

Evaluation of field calibration methods and performance of AQMesh, a low-cost air quality monitor.

机构信息

Department of Electrical Engineering, Mathematics and Science, Faculty of Engineering and Sustainable Development, University of Gävle, Gavle, Sweden.

Department of Building Engineering, Energy Systems and Sustainability Science, Faculty of Engineering and Sustainable Development, University of Gävle, Gavle, Sweden.

出版信息

Environ Monit Assess. 2021 Apr 8;193(5):251. doi: 10.1007/s10661-021-09033-x.

DOI:10.1007/s10661-021-09033-x
PMID:33834306
原文链接:https://pmc.ncbi.nlm.nih.gov/articles/PMC8032644/
Abstract

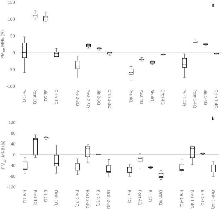
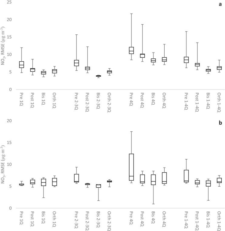
Field calibrations of NO, NO, and PM from AQMesh Air Quality Monitors (AQMs) were conducted during a summer and an autumn period in a busy street in a midsize Swedish city. All the three linear calibration procedures studied (postscaled, bisquare, and orthogonal data) significantly reduced the ranges and magnitudes of the performance indicators to yield more reliable results than the raw data. The improvements were sufficient to satisfy the European Union (EU) Data Quality Objective (DQO) for indicative measurements as compared to reference data only for NO (above 50 µg m) and NO (above 30 µg m) during the autumn calibration period. The relatively simple bisquare procedure had the best performance overall. The bisquare procedure improved the root mean square error by the same amount as other studies using complex multivariate calibration methods. Low concentrations of pollutants were measured, far below the EU Environmental Quality Standard thresholds and even satisfying the future goals for the Environmental Quality Objectives. Cleaning the raw data by removing data points in the reference data that were below the reference station limit of detections (and the synchronous data points in the AQM prescaled data) was found to improve the performances of the calibration procedures appreciably. Many NO and almost all PM data points in this study fell below the AQM limit of detection. These low concentrations will probably be a common problem in many field studies, at least in areas with relatively low air pollution. However, the relative errors were sufficiently low for these data points that they could be interpreted as accurately representing low concentrations and did not need to be removed from the datasets. For the NO measurements, a slight periodic error correlated with sunlight and increased ambient temperature was noted. NO measurements correlated strongly with increased traffic.

摘要

在瑞典一个中等城市繁忙街道的夏季和秋季期间,对 AQMesh 空气质量监测器(AQM)的 NO、NO 和 PM 进行了现场校准。所研究的所有三种线性校准程序(后缩放、双平方和正交数据)都显著缩小了性能指标的范围和幅度,从而产生了比原始数据更可靠的结果。与仅使用参考数据相比,在秋季校准期间,改进足以满足欧盟(EU)数据质量目标(DQO)对于指示性测量的要求,仅对于 NO(高于 50μg/m)和 NO(高于 30μg/m)是如此。相对简单的双平方程序总体上表现最佳。双平方程序将均方根误差提高了与其他使用复杂多元校准方法的研究相同的量。测量到的污染物浓度较低,远低于欧盟环境质量标准阈值,甚至满足未来环境质量目标的目标。通过从参考数据中删除低于参考站检测限(以及 AQM 预缩放数据中的同步数据点)的数据点来清洁原始数据,发现可以显著提高校准程序的性能。本研究中的许多 NO 和几乎所有 PM 数据点都低于 AQM 的检测限。这些低浓度在许多现场研究中可能是一个常见问题,至少在空气污染相对较低的地区是如此。然而,这些数据点的相对误差足够低,以至于可以将其解释为准确代表低浓度,并且不需要从数据集。对于 NO 测量,注意到与阳光和环境温度升高相关的轻微周期性误差。NO 测量与交通量增加密切相关。

https://cdn.ncbi.nlm.nih.gov/pmc/blobs/5096/8032644/7f68a72960c4/10661_2021_9033_Fig10_HTML.jpg
https://cdn.ncbi.nlm.nih.gov/pmc/blobs/5096/8032644/486041aded2c/10661_2021_9033_Fig1_HTML.jpg
https://cdn.ncbi.nlm.nih.gov/pmc/blobs/5096/8032644/3d55414f0522/10661_2021_9033_Fig2_HTML.jpg
https://cdn.ncbi.nlm.nih.gov/pmc/blobs/5096/8032644/0e5299cbbd3c/10661_2021_9033_Fig3_HTML.jpg
https://cdn.ncbi.nlm.nih.gov/pmc/blobs/5096/8032644/538e8935fa90/10661_2021_9033_Fig4_HTML.jpg
https://cdn.ncbi.nlm.nih.gov/pmc/blobs/5096/8032644/fcf728d7985a/10661_2021_9033_Fig5_HTML.jpg
https://cdn.ncbi.nlm.nih.gov/pmc/blobs/5096/8032644/6169edf43c9c/10661_2021_9033_Fig6_HTML.jpg
https://cdn.ncbi.nlm.nih.gov/pmc/blobs/5096/8032644/85556660afba/10661_2021_9033_Fig7_HTML.jpg
https://cdn.ncbi.nlm.nih.gov/pmc/blobs/5096/8032644/443a0ec4e8b8/10661_2021_9033_Fig8_HTML.jpg
https://cdn.ncbi.nlm.nih.gov/pmc/blobs/5096/8032644/a504f4c55c0b/10661_2021_9033_Fig9_HTML.jpg
https://cdn.ncbi.nlm.nih.gov/pmc/blobs/5096/8032644/7f68a72960c4/10661_2021_9033_Fig10_HTML.jpg
https://cdn.ncbi.nlm.nih.gov/pmc/blobs/5096/8032644/486041aded2c/10661_2021_9033_Fig1_HTML.jpg
https://cdn.ncbi.nlm.nih.gov/pmc/blobs/5096/8032644/3d55414f0522/10661_2021_9033_Fig2_HTML.jpg
https://cdn.ncbi.nlm.nih.gov/pmc/blobs/5096/8032644/0e5299cbbd3c/10661_2021_9033_Fig3_HTML.jpg
https://cdn.ncbi.nlm.nih.gov/pmc/blobs/5096/8032644/538e8935fa90/10661_2021_9033_Fig4_HTML.jpg
https://cdn.ncbi.nlm.nih.gov/pmc/blobs/5096/8032644/fcf728d7985a/10661_2021_9033_Fig5_HTML.jpg
https://cdn.ncbi.nlm.nih.gov/pmc/blobs/5096/8032644/6169edf43c9c/10661_2021_9033_Fig6_HTML.jpg
https://cdn.ncbi.nlm.nih.gov/pmc/blobs/5096/8032644/85556660afba/10661_2021_9033_Fig7_HTML.jpg
https://cdn.ncbi.nlm.nih.gov/pmc/blobs/5096/8032644/443a0ec4e8b8/10661_2021_9033_Fig8_HTML.jpg
https://cdn.ncbi.nlm.nih.gov/pmc/blobs/5096/8032644/a504f4c55c0b/10661_2021_9033_Fig9_HTML.jpg
https://cdn.ncbi.nlm.nih.gov/pmc/blobs/5096/8032644/7f68a72960c4/10661_2021_9033_Fig10_HTML.jpg

相似文献

1
Evaluation of field calibration methods and performance of AQMesh, a low-cost air quality monitor.评估现场校准方法和低成本空气质量监测仪 AQMesh 的性能。
Environ Monit Assess. 2021 Apr 8;193(5):251. doi: 10.1007/s10661-021-09033-x.
2
The impact of the congestion charging scheme on air quality in London. Part 1. Emissions modeling and analysis of air pollution measurements.拥堵收费计划对伦敦空气质量的影响。第1部分。排放建模与空气污染测量分析。
Res Rep Health Eff Inst. 2011 Apr(155):5-71.
3
Part 1. Short-term effects of air pollution on mortality: results from a time-series analysis in Chennai, India.第1部分. 空气污染对死亡率的短期影响:印度钦奈时间序列分析的结果
Res Rep Health Eff Inst. 2011 Mar(157):7-44.
4
The London low emission zone baseline study.伦敦低排放区基线研究。
Res Rep Health Eff Inst. 2011 Nov(163):3-79.
5
Part 2. Association of daily mortality with ambient air pollution, and effect modification by extremely high temperature in Wuhan, China.第二部分. 中国武汉每日死亡率与环境空气污染的关联以及极高温度的效应修正
Res Rep Health Eff Inst. 2010 Nov(154):91-217.
6
Impact of the 1990 Hong Kong legislation for restriction on sulfur content in fuel.1990年香港燃料含硫量限制立法的影响。
Res Rep Health Eff Inst. 2012 Aug(170):5-91.
7
Evaluating heterogeneity in indoor and outdoor air pollution using land-use regression and constrained factor analysis.利用土地利用回归和约束因子分析评估室内和室外空气污染的异质性。
Res Rep Health Eff Inst. 2010 Dec(152):5-80; discussion 81-91.
8
Analysing the performance of low-cost air quality sensors, their drivers, relative benefits and calibration in cities-a case study in Sheffield.分析低成本空气质量传感器在城市中的性能、驱动因素、相对效益和校准——以谢菲尔德为例的案例研究。
Environ Monit Assess. 2019 Jan 22;191(2):94. doi: 10.1007/s10661-019-7231-8.
9
Effects of short-term exposure to air pollution on hospital admissions of young children for acute lower respiratory infections in Ho Chi Minh City, Vietnam.越南胡志明市短期暴露于空气污染对幼儿急性下呼吸道感染住院率的影响。
Res Rep Health Eff Inst. 2012 Jun(169):5-72; discussion 73-83.
10
Evaluating the Performance of Low-Cost Air Quality Monitors in Dallas, Texas.评估德克萨斯州达拉斯市低成本空气质量监测器的性能。
Int J Environ Res Public Health. 2022 Jan 31;19(3):1647. doi: 10.3390/ijerph19031647.

引用本文的文献

1
Development of a Unified IoT Platform for Assessing Meteorological and Air Quality Data in a Tropical Environment.用于评估热带环境中气象和空气质量数据的统一物联网平台的开发。
Sensors (Basel). 2024 Apr 25;24(9):2729. doi: 10.3390/s24092729.
2
Noise and air pollution during Covid-19 lockdown easing around a school site.新冠疫情封锁放松期间学校周边的噪音和空气污染。
J Acoust Soc Am. 2022 Feb;151(2):881. doi: 10.1121/10.0009323.

本文引用的文献

1
Outlier detection and gap filling methodologies for low-cost air quality measurements.低成本空气质量测量的异常值检测和填补方法。
Environ Sci Process Impacts. 2019 Apr 17;21(4):701-713. doi: 10.1039/c8em00593a.
2
Analysing the performance of low-cost air quality sensors, their drivers, relative benefits and calibration in cities-a case study in Sheffield.分析低成本空气质量传感器在城市中的性能、驱动因素、相对效益和校准——以谢菲尔德为例的案例研究。
Environ Monit Assess. 2019 Jan 22;191(2):94. doi: 10.1007/s10661-019-7231-8.
3
Evaluation of air quality at the Birmingham New Street Railway Station.
伯明翰新街火车站空气质量评估。
Proc Inst Mech Eng F J Rail Rapid Transit. 2018 Jul;232(6):1864-1878. doi: 10.1177/0954409717752180. Epub 2018 Jan 16.
4
Impact Analysis of Temperature and Humidity Conditions on Electrochemical Sensor Response in Ambient Air Quality Monitoring.温度和湿度条件对环境空气质量监测中电化学传感器响应的影响分析
Sensors (Basel). 2018 Jan 23;18(2):59. doi: 10.3390/s18020059.
5
Localized real-time information on outdoor air quality at kindergartens in Oslo, Norway using low-cost sensor nodes.使用低成本传感器节点获取挪威奥斯陆幼儿园户外空气质量的本地化实时信息。
Environ Res. 2018 Aug;165:410-419. doi: 10.1016/j.envres.2017.10.019. Epub 2017 Oct 31.
6
Can commercial low-cost sensor platforms contribute to air quality monitoring and exposure estimates?商业低成本传感器平台能否有助于空气质量监测和暴露评估?
Environ Int. 2017 Feb;99:293-302. doi: 10.1016/j.envint.2016.12.007. Epub 2016 Dec 28.
7
Long-term air pollution exposure and cardio- respiratory mortality: a review.长期暴露于空气污染与心肺死亡率:综述
Environ Health. 2013 May 28;12(1):43. doi: 10.1186/1476-069X-12-43.
8
Short-term effects of PM10 and NO2 on respiratory health among children with asthma or asthma-like symptoms: a systematic review and meta-analysis.短期 PM10 和 NO2 暴露对哮喘或类似哮喘症状儿童呼吸健康的影响:系统评价和荟萃分析。
Environ Health Perspect. 2010 Apr;118(4):449-57. doi: 10.1289/ehp.0900844. Epub 2009 Nov 12.
9
On the logarithmic relationship between NO2 concentration and the distance from a highroad.关于二氧化氮浓度与距公路距离之间的对数关系。
Sci Total Environ. 2004 Oct 1;332(1-3):261-4. doi: 10.1016/j.scitotenv.2004.03.020.