• 文献检索
  • 文档翻译
  • 深度研究
  • 学术资讯
  • Suppr Zotero 插件Zotero 插件
  • 邀请有礼
  • 套餐&价格
  • 历史记录
应用&插件
Suppr Zotero 插件Zotero 插件浏览器插件Mac 客户端Windows 客户端微信小程序
定价
高级版会员购买积分包购买API积分包
服务
文献检索文档翻译深度研究API 文档MCP 服务
关于我们
关于 Suppr公司介绍联系我们用户协议隐私条款
关注我们

Suppr 超能文献

核心技术专利:CN118964589B侵权必究
粤ICP备2023148730 号-1Suppr @ 2026

文献检索

告别复杂PubMed语法,用中文像聊天一样搜索,搜遍4000万医学文献。AI智能推荐,让科研检索更轻松。

立即免费搜索

文件翻译

保留排版,准确专业,支持PDF/Word/PPT等文件格式,支持 12+语言互译。

免费翻译文档

深度研究

AI帮你快速写综述,25分钟生成高质量综述,智能提取关键信息,辅助科研写作。

立即免费体验

阿比特龙治疗复发性上皮性卵巢癌患者:卵巢癌阿比特龙(CORAL)II期试验(CRUK - A16037)的主要结果

Abiraterone in patients with recurrent epithelial ovarian cancer: principal results of the phase II Cancer of the Ovary Abiraterone (CORAL) trial (CRUK - A16037).

作者信息

Banerjee Susana, Tovey Holly, Bowen Rebecca, Folkerd Elizabeth, Kilburn Lucy, McLachlan Jennifer, Hall Marcia, Tunariu Nina, Attygalle Ayoma, Lima Joao Paulo Da Silveira Nogueira, Perry Sophie, Chatfield Peter, Hills Margaret, Kaye Stan, Attard Gert, Dowsett Mitch, Bliss Judith M

机构信息

Gynaecology Unit, The Royal Marsden NHS Foundation Trust, Downs Road, Sutton, SM2 5PT, UK.

Clinical Trials and Statistics Unit, The Institute of Cancer Research, London, UK.

出版信息

Ther Adv Med Oncol. 2020 Dec 29;12:1758835920975352. doi: 10.1177/1758835920975352. eCollection 2020.

DOI:10.1177/1758835920975352
PMID:33854564
原文链接:https://pmc.ncbi.nlm.nih.gov/articles/PMC8013695/
Abstract

BACKGROUND

Recurrent epithelial ovarian cancer (EOC) remains difficult to treat, with an urgent need for more therapy options. Androgens bind to the androgen receptor (AR), commonly expressed in EOC. CYP17 inhibitor abiraterone irreversibly inhibits androgen biosynthesis. The Cancer of the Ovary Abiraterone (CORAL) trial was designed to evaluate the clinical activity of abiraterone in EOC.

PATIENTS & METHODS: CORAL was a multi-centre, open-label, non-randomised, 2-stage phase II clinical trial. Eligible patients had progression within 12 months of last systemic therapy and no prior hormonal anti-cancer agents. Patients received abiraterone 1000 mg daily plus 5 mg prednisone until progression. The primary endpoint was objective response rate (ORR) according to combined Response Evaluation Criteria in Solid Tumours/Gynaecological Cancer Intergroup (RECIST/GCIG) criteria at 12 weeks. Secondary endpoints included clinical benefit rate (CBR) at 12 weeks.

RESULTS

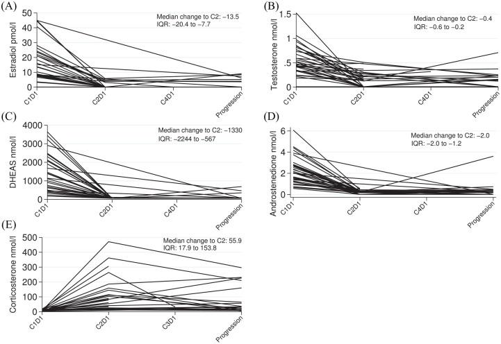
A total of 42 patients were recruited; median age 65 (range 34-85) years; 37 (88.1%) had high-grade serous tumours; 20 (48%) had at least three prior lines of therapy; 29/40 (72.5%) were AR+. In stage 1, 1/26 response was observed (in an AR+, low-grade serous EOC); response lasted 47 weeks. Overall, 12 week ORR was 1/42 (2%), CBR was 11/42 (26%) (8/29 (28%) in AR+ patients). Disease control was ⩾6 months for 4/29 (14%). One patient (AR+, low-grade serous) had a RECIST response at 82 weeks. Four (10%) had grade ⩾3 hypokalaemia; 11 (26%) had dose delays.

CONCLUSIONS

CORAL represents the first trial of an AR targeted agent in ovarian cancer. While responses were rare, a subset of patients achieved sustained clinical benefit. Targeting AR in EOC including low-grade serous cancer warrants further investigation.

TRIAL REGISTRATION

CORAL is registered on the ISRCTN registry: ISRCTN63407050; http://www.isrctn.com/ISRCTN63407050.

摘要

背景

复发性上皮性卵巢癌(EOC)的治疗仍然困难,迫切需要更多的治疗选择。雄激素与EOC中普遍表达的雄激素受体(AR)结合。CYP17抑制剂阿比特龙不可逆地抑制雄激素生物合成。卵巢癌阿比特龙(CORAL)试验旨在评估阿比特龙在EOC中的临床活性。

患者与方法

CORAL是一项多中心、开放标签、非随机的2期II期临床试验。符合条件的患者在最后一次全身治疗的12个月内病情进展,且之前未使用过激素抗癌药物。患者接受每日1000mg阿比特龙加5mg泼尼松治疗,直至病情进展。主要终点是根据实体瘤/妇科癌症协作组(RECIST/GCIG)联合标准在12周时的客观缓解率(ORR)。次要终点包括12周时的临床获益率(CBR)。

结果

共招募了42例患者;中位年龄65岁(范围34 - 85岁);37例(88.1%)患有高级别浆液性肿瘤;20例(48%)至少接受过三线先前治疗;29/40例(72.5%)为AR阳性。在第1阶段,观察到1例缓解(在1例AR阳性、低级别浆液性EOC患者中);缓解持续了47周。总体而言,12周时的ORR为1/42(2%),CBR为11/42(26%)(AR阳性患者中为8/29(28%))。4/29例(14%)患者的疾病控制时间≥6个月。1例患者(AR阳性、低级别浆液性)在82周时出现RECIST缓解。4例(10%)患者发生≥3级低钾血症;11例(26%)患者出现剂量延迟。

结论

CORAL是卵巢癌中首个针对AR的药物试验。虽然缓解罕见,但一部分患者获得了持续的临床获益。在包括低级别浆液性癌在内的EOC中靶向AR值得进一步研究。

试验注册

CORAL在ISRCTN注册中心注册:ISRCTN63407050;http://www.isrctn.com/ISRCTN63407050 。

https://cdn.ncbi.nlm.nih.gov/pmc/blobs/65d5/8013695/2c04273714e2/10.1177_1758835920975352-fig5.jpg
https://cdn.ncbi.nlm.nih.gov/pmc/blobs/65d5/8013695/4e1422100b07/10.1177_1758835920975352-fig1.jpg
https://cdn.ncbi.nlm.nih.gov/pmc/blobs/65d5/8013695/f629226a3f37/10.1177_1758835920975352-fig2.jpg
https://cdn.ncbi.nlm.nih.gov/pmc/blobs/65d5/8013695/869435078aac/10.1177_1758835920975352-fig3.jpg
https://cdn.ncbi.nlm.nih.gov/pmc/blobs/65d5/8013695/7337b3e54cfd/10.1177_1758835920975352-fig4.jpg
https://cdn.ncbi.nlm.nih.gov/pmc/blobs/65d5/8013695/2c04273714e2/10.1177_1758835920975352-fig5.jpg
https://cdn.ncbi.nlm.nih.gov/pmc/blobs/65d5/8013695/4e1422100b07/10.1177_1758835920975352-fig1.jpg
https://cdn.ncbi.nlm.nih.gov/pmc/blobs/65d5/8013695/f629226a3f37/10.1177_1758835920975352-fig2.jpg
https://cdn.ncbi.nlm.nih.gov/pmc/blobs/65d5/8013695/869435078aac/10.1177_1758835920975352-fig3.jpg
https://cdn.ncbi.nlm.nih.gov/pmc/blobs/65d5/8013695/7337b3e54cfd/10.1177_1758835920975352-fig4.jpg
https://cdn.ncbi.nlm.nih.gov/pmc/blobs/65d5/8013695/2c04273714e2/10.1177_1758835920975352-fig5.jpg

相似文献

1
Abiraterone in patients with recurrent epithelial ovarian cancer: principal results of the phase II Cancer of the Ovary Abiraterone (CORAL) trial (CRUK - A16037).阿比特龙治疗复发性上皮性卵巢癌患者:卵巢癌阿比特龙(CORAL)II期试验(CRUK - A16037)的主要结果
Ther Adv Med Oncol. 2020 Dec 29;12:1758835920975352. doi: 10.1177/1758835920975352. eCollection 2020.
2
Objective responses to first-line neoadjuvant carboplatin-paclitaxel regimens for ovarian, fallopian tube, or primary peritoneal carcinoma (ICON8): post-hoc exploratory analysis of a randomised, phase 3 trial.一线新辅助卡铂-紫杉醇方案治疗卵巢、输卵管或原发性腹膜癌的客观反应(ICON8):一项随机、3 期试验的事后探索性分析。
Lancet Oncol. 2021 Feb;22(2):277-288. doi: 10.1016/S1470-2045(20)30591-X. Epub 2020 Dec 22.
3
A phase II trial of abiraterone acetate plus prednisone in patients with triple-negative androgen receptor positive locally advanced or metastatic breast cancer (UCBG 12-1).阿比特龙联合泼尼松治疗三阴性雄激素受体阳性局部晚期或转移性乳腺癌患者的 II 期临床试验(UCBG 12-1)。
Ann Oncol. 2016 May;27(5):812-8. doi: 10.1093/annonc/mdw067. Epub 2016 Feb 18.
4
Abiraterone acetate and prednisolone with or without enzalutamide for high-risk non-metastatic prostate cancer: a meta-analysis of primary results from two randomised controlled phase 3 trials of the STAMPEDE platform protocol.醋酸阿比特龙和泼尼松与或不与恩扎卢胺用于高危非转移性前列腺癌:来自 STAMPEDE 平台方案两项随机对照 3 期试验主要结果的荟萃分析。
Lancet. 2022 Jan 29;399(10323):447-460. doi: 10.1016/S0140-6736(21)02437-5. Epub 2021 Dec 23.
5
A Multicohort Open-label Phase II Trial of Bipolar Androgen Therapy in Men with Metastatic Castration-resistant Prostate Cancer (RESTORE): A Comparison of Post-abiraterone Versus Post-enzalutamide Cohorts.多队列开放标签二期临床试验:双相雄激素治疗转移性去势抵抗性前列腺癌(RESTORE):阿比特龙治疗后队列与恩杂鲁胺治疗后队列的比较。
Eur Urol. 2021 May;79(5):692-699. doi: 10.1016/j.eururo.2020.06.042. Epub 2020 Jul 2.
6
Trametinib versus standard of care in patients with recurrent low-grade serous ovarian cancer (GOG 281/LOGS): an international, randomised, open-label, multicentre, phase 2/3 trial.曲美替尼对比标准治疗用于复发性低级别浆液性卵巢癌患者(GOG 281/LOGS):一项国际性、随机、开放标签、多中心、2/3 期临床试验。
Lancet. 2022 Feb 5;399(10324):541-553. doi: 10.1016/S0140-6736(21)02175-9.
7
Abiraterone Acetate in Patients With Castration-Resistant, Androgen Receptor-Expressing Salivary Gland Cancer: A Phase II Trial.醋酸阿比特龙治疗去势抵抗型、雄激素受体表达唾液腺癌患者的疗效:一项 II 期临床试验。
J Clin Oncol. 2021 Dec 20;39(36):4061-4068. doi: 10.1200/JCO.21.00468. Epub 2021 Oct 1.
8
Abiraterone acetate plus prednisone in patients with newly diagnosed high-risk metastatic castration-sensitive prostate cancer (LATITUDE): final overall survival analysis of a randomised, double-blind, phase 3 trial.醋酸阿比特龙联合泼尼松治疗新诊断的高危转移性去势敏感性前列腺癌(LATITUDE):一项随机、双盲、III 期临床试验的最终总生存分析。
Lancet Oncol. 2019 May;20(5):686-700. doi: 10.1016/S1470-2045(19)30082-8. Epub 2019 Apr 12.
9
Abiraterone acetate plus prednisolone with or without enzalutamide for patients with metastatic prostate cancer starting androgen deprivation therapy: final results from two randomised phase 3 trials of the STAMPEDE platform protocol.醋酸阿比特龙联合泼尼松或联合恩扎卢胺治疗开始去势治疗的转移性前列腺癌患者:STAMPEDE 平台方案两项随机 3 期试验的最终结果。
Lancet Oncol. 2023 May;24(5):443-456. doi: 10.1016/S1470-2045(23)00148-1.
10
Phase II study of enzalutamide in androgen receptor positive, recurrent, high- and low-grade serous ovarian cancer.雄激素受体阳性、复发性、高低级别浆液性卵巢癌中恩扎卢胺的 II 期研究。
Gynecol Oncol. 2022 Jan;164(1):12-17. doi: 10.1016/j.ygyno.2021.10.087. Epub 2021 Nov 8.

引用本文的文献

1
Significance of androgen receptor and its potential for anti-androgen/androgen receptor-antagonist therapy in ovarian cancers.雄激素受体在卵巢癌中的意义及其抗雄激素/雄激素受体拮抗剂治疗的潜力。
PLoS One. 2025 May 20;20(5):e0322744. doi: 10.1371/journal.pone.0322744. eCollection 2025.
2
Nuclear receptors in ovarian cancer: changing paradigms in cancer therapeutics.卵巢癌中的核受体:癌症治疗范式的转变
Front Oncol. 2024 Jul 15;14:1383939. doi: 10.3389/fonc.2024.1383939. eCollection 2024.
3
Novel frontiers in urogenital cancers: from molecular bases to preclinical models to tailor personalized treatments in ovarian and prostate cancer patients.

本文引用的文献

1
Abiraterone plus Prednisone in Metastatic, Castration-Sensitive Prostate Cancer.阿比特龙联合泼尼松治疗转移性去势敏感性前列腺癌。
N Engl J Med. 2017 Jul 27;377(4):352-360. doi: 10.1056/NEJMoa1704174. Epub 2017 Jun 4.
2
Paragon (ANZGOG-0903): Phase 2 Study of Anastrozole in Women With Estrogen or Progesterone Receptor-Positive Platinum-Resistant or -Refractory Recurrent Ovarian Cancer.帕拉贡(ANZGOG-0903):阿那曲唑用于雌激素或孕激素受体阳性的铂耐药或难治性复发性卵巢癌女性的2期研究。
Int J Gynecol Cancer. 2017 Jun;27(5):900-906. doi: 10.1097/IGC.0000000000000978.
3
Tumor Inhibition by Enzalutamide in a Xenograft Model of Ovarian Cancer.
泌尿生殖系统癌症的新前沿:从分子基础到临床前模型,为卵巢癌和前列腺癌患者制定个性化治疗方案。
J Exp Clin Cancer Res. 2024 May 15;43(1):146. doi: 10.1186/s13046-024-03065-0.
4
Phase II study of enzalutamide in androgen receptor positive, recurrent, high- and low-grade serous ovarian cancer.雄激素受体阳性、复发性、高低级别浆液性卵巢癌中恩扎卢胺的 II 期研究。
Gynecol Oncol. 2022 Jan;164(1):12-17. doi: 10.1016/j.ygyno.2021.10.087. Epub 2021 Nov 8.
5
To Enhance or Not to Enhance? The Role of Contrast Medium F-FDG PET/CT in Recurrent Ovarian Carcinomas.增强还是不增强?对比剂 F-FDG PET/CT 在复发性卵巢癌中的作用。
Medicina (Kaunas). 2021 Jun 1;57(6):561. doi: 10.3390/medicina57060561.
6
The role of hormonal therapy in patients with relapsed high-grade ovarian carcinoma: a retrospective series of tamoxifen and letrozole.激素疗法在复发性高级别卵巢癌患者中的作用:他莫昔芬和来曲唑的回顾性系列研究
BMC Cancer. 2017 Jun 30;17(1):456. doi: 10.1186/s12885-017-3440-0.
恩杂鲁胺在卵巢癌异种移植模型中的肿瘤抑制作用
Cancer Invest. 2016 Nov 25;34(10):517-520. doi: 10.1080/07357907.2016.1242598. Epub 2016 Nov 8.
4
A phase II trial of abiraterone acetate plus prednisone in patients with triple-negative androgen receptor positive locally advanced or metastatic breast cancer (UCBG 12-1).阿比特龙联合泼尼松治疗三阴性雄激素受体阳性局部晚期或转移性乳腺癌患者的 II 期临床试验(UCBG 12-1)。
Ann Oncol. 2016 May;27(5):812-8. doi: 10.1093/annonc/mdw067. Epub 2016 Feb 18.
5
The Metabolism, Analysis, and Targeting of Steroid Hormones in Breast and Prostate Cancer.乳腺癌和前列腺癌中类固醇激素的代谢、分析及靶向治疗
Horm Cancer. 2016 Jun;7(3):149-64. doi: 10.1007/s12672-016-0259-0. Epub 2016 Mar 11.
6
Abiraterone acetate, exemestane or the combination in postmenopausal patients with estrogen receptor-positive metastatic breast cancer.醋酸阿比特龙、依西美坦或二者联合用于绝经后雌激素受体阳性转移性乳腺癌患者。
Ann Oncol. 2016 Jan;27(1):106-13. doi: 10.1093/annonc/mdv487. Epub 2015 Oct 26.
7
Abiraterone acetate plus prednisone versus placebo plus prednisone in chemotherapy-naive men with metastatic castration-resistant prostate cancer (COU-AA-302): final overall survival analysis of a randomised, double-blind, placebo-controlled phase 3 study.醋酸阿比特龙联合泼尼松对比安慰剂联合泼尼松治疗化疗初治转移性去势抵抗性前列腺癌患者(COU-AA-302):一项随机、双盲、安慰剂对照的 3 期研究的最终总生存分析。
Lancet Oncol. 2015 Feb;16(2):152-60. doi: 10.1016/S1470-2045(14)71205-7. Epub 2015 Jan 16.
8
Interactions of abiraterone, eplerenone, and prednisolone with wild-type and mutant androgen receptor: a rationale for increasing abiraterone exposure or combining with MDV3100.阿比特龙、依普利酮和泼尼松龙与野生型和突变型雄激素受体的相互作用:增加阿比特龙暴露量或与 MDV3100 联合用药的原理。
Cancer Res. 2012 May 1;72(9):2176-82. doi: 10.1158/0008-5472.CAN-11-3980. Epub 2012 Mar 12.
9
Expression and function of androgen receptor coactivator p44/Mep50/WDR77 in ovarian cancer.雄激素受体共激活因子 p44/Mep50/WDR77 在卵巢癌中的表达和功能。
PLoS One. 2011;6(10):e26250. doi: 10.1371/journal.pone.0026250. Epub 2011 Oct 13.
10
Androgen receptor expression is a biological marker for androgen sensitivity in high grade serous epithelial ovarian cancer.雄激素受体表达是高级别浆液性上皮性卵巢癌雄激素敏感性的生物学标志物。
Gynecol Oncol. 2012 Jan;124(1):142-7. doi: 10.1016/j.ygyno.2011.09.004. Epub 2011 Oct 15.