Suppr超能文献

通过 CIBERSORT 分析肿瘤浸润淋巴细胞图谱实现基于新型深度学习的口腔癌生存预测。

Novel deep learning-based survival prediction for oral cancer by analyzing tumor-infiltrating lymphocyte profiles through CIBERSORT.

机构信息

Interdisplinary Program of Genomic Science, Pusan National University, Yangsan, Republic of Korea.

Department of Biomedical Informatics, School of Medicine, Pusan National University, Yangsan, Republic of Korea.

出版信息

Oncoimmunology. 2021 Mar 29;10(1):1904573. doi: 10.1080/2162402X.2021.1904573.

Abstract

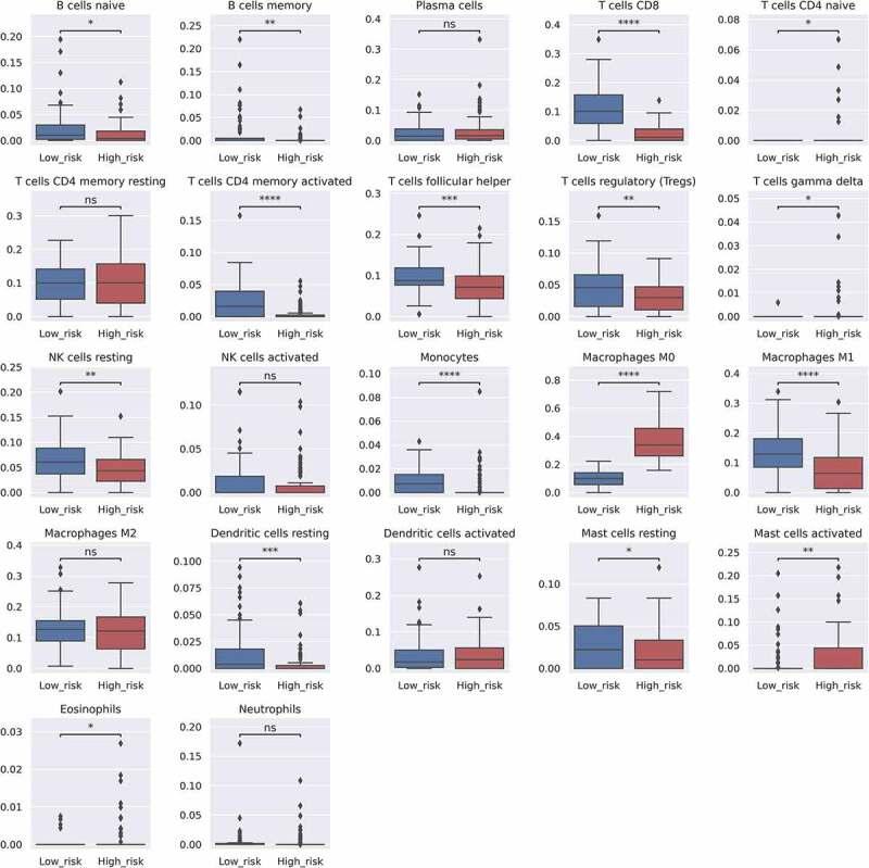
The tumor microenvironment (TME) within mucosal neoplastic tissue in oral cancer (ORCA) is greatly influenced by tumor-infiltrating lymphocytes (TILs). Here, a clustering method was performed using CIBERSORT profiles of ORCA data that were filtered from the publicly accessible data of patients with head and neck cancer in The Cancer Genome Atlas (TCGA) using hierarchical clustering where patients were regrouped into binary risk groups based on the clustering-measuring scores and survival patterns associated with individual groups. Based on this analysis, clinically reasonable differences were identified in 16 out of 22 TIL fractions between groups. A deep neural network classifier was trained using the TIL fraction patterns. This internally validated classifier was used on another individual ORCA dataset from the International Cancer Genome Consortium data portal, and patient survival patterns were precisely predicted. Seven common differentially expressed genes between the two risk groups were obtained. This new approach confirms the importance of TILs in the TME and provides a direction for the use of a novel deep-learning approach for cancer prognosis.

摘要

口腔癌(ORCA)黏膜肿瘤组织中的肿瘤微环境(TME)受肿瘤浸润淋巴细胞(TIL)的影响很大。在这里,使用从癌症基因组图谱(TCGA)中公开可获得的头颈部癌症患者数据中过滤的 ORCA 数据的 CIBERSORT 图谱,通过层次聚类对数据进行聚类分析,其中根据聚类测量评分和与各个组相关的生存模式,将患者重新分组为二进制风险组。基于此分析,在两组之间的 22 个 TIL 分数中,有 16 个存在临床合理差异。使用 TIL 分数模式训练深度神经网络分类器。该内部验证分类器用于来自国际癌症基因组联盟数据门户的另一个单独的 ORCA 数据集,并准确预测了患者的生存模式。在两个风险组之间获得了七个常见的差异表达基因。这种新方法证实了 TIL 在 TME 中的重要性,并为使用新型深度学习方法进行癌症预后提供了方向。

https://cdn.ncbi.nlm.nih.gov/pmc/blobs/2649/8018482/87a966bc26b3/KONI_A_1904573_F0001_OC.jpg

文献检索

告别复杂PubMed语法,用中文像聊天一样搜索,搜遍4000万医学文献。AI智能推荐,让科研检索更轻松。

立即免费搜索

文件翻译

保留排版,准确专业,支持PDF/Word/PPT等文件格式,支持 12+语言互译。

免费翻译文档

深度研究

AI帮你快速写综述,25分钟生成高质量综述,智能提取关键信息,辅助科研写作。

立即免费体验