• 文献检索
  • 文档翻译
  • 深度研究
  • 学术资讯
  • Suppr Zotero 插件Zotero 插件
  • 邀请有礼
  • 套餐&价格
  • 历史记录
应用&插件
Suppr Zotero 插件Zotero 插件浏览器插件Mac 客户端Windows 客户端微信小程序
定价
高级版会员购买积分包购买API积分包
服务
文献检索文档翻译深度研究API 文档MCP 服务
关于我们
关于 Suppr公司介绍联系我们用户协议隐私条款
关注我们

Suppr 超能文献

核心技术专利:CN118964589B侵权必究
粤ICP备2023148730 号-1Suppr @ 2026

文献检索

告别复杂PubMed语法,用中文像聊天一样搜索,搜遍4000万医学文献。AI智能推荐,让科研检索更轻松。

立即免费搜索

文件翻译

保留排版,准确专业,支持PDF/Word/PPT等文件格式,支持 12+语言互译。

免费翻译文档

深度研究

AI帮你快速写综述,25分钟生成高质量综述,智能提取关键信息,辅助科研写作。

立即免费体验

波特氏分流术作为晚期肺动脉高压患者的有效姑息治疗方法。

Potts shunt as an effective palliation for patients with end stage pulmonary arterial hypertension.

机构信息

Children's' Heart Center, Second Floor, Kokilaben Dhirubai Ambani Hospital and Research Center, Rao Achyut Rao PAtwardhan Marg, Four Bunglows, Andheri West, Mumbai, Maharashtra, 400053, India.

Children's' Heart Center, Second Floor, Kokilaben Dhirubai Ambani Hospital and Research Center, Rao Achyut Rao PAtwardhan Marg, Four Bunglows, Andheri West, Mumbai, Maharashtra, 400053, India.

出版信息

Indian Heart J. 2021 Mar-Apr;73(2):196-204. doi: 10.1016/j.ihj.2021.01.007. Epub 2021 Jan 6.

DOI:10.1016/j.ihj.2021.01.007
PMID:33865518
原文链接:https://pmc.ncbi.nlm.nih.gov/articles/PMC8065372/
Abstract

BACKGROUND

Potts shunt has been suggested as an effective palliative therapy for patients with pulmonary artery hypertension (PAH) not associated with congenital heart disease.

MATERIALS AND METHODS

This is a prospective single-center study performed to assess outcomes of Potts shunt in patients with PAH who are in functional class III or IV.

RESULTS

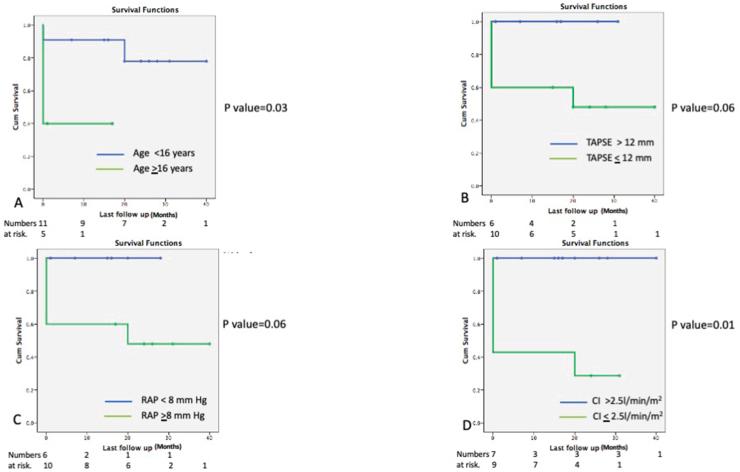
52 patients in functional class III/IV with pulmonary arterial hypertension without significant intra or extracardiac shunt on maximal medical therapy were evaluated and counseled for undergoing Potts shunt/patent ductus arteriosus (PDA) stenting. 16/52 patients (13 females) consented for the procedure; 14 patients underwent surgical creation of Potts, and 2 underwent transcatheter stenting of PDA, which physiologically acted like a Potts shunt. Standard medical therapy was continued in patients who did not consent for the procedure. 12/16 patients survived the procedure. Patients who did not survive the procedure were older, with severe right ventricular systolic dysfunction, and functional class IV. Patients who survived the procedure were followed up in the pulmonary hypertension clinic. The Median follow-up was 17 months (1-40 months). 11/13 patients discharged after the operation showed sustained clinical, echocardiographic, and biochemical improvement, which reduced need for pulmonary vasodilator therapy in 10/13 patients. There was one death in the follow-up period 16 months post-surgery due to lower respiratory tract infection.

CONCLUSION

Potts shunt is feasible in patients with PAH without significant intra or extracardiac shunts. It can be done safely with an acceptable success rate. Patient selection, preoperative stabilization, and meticulous postoperative management are essential. It should be performed at the earliest sign of clinical, echocardiographic, or laboratory deterioation for optimal outcomes. Long-term follow-up is required to see a sustained improvement in functional class and the need for a lung transplant in the future.

摘要

背景

对于不伴有先天性心脏病的肺动脉高压(PAH)患者,Potts 分流术已被推荐为一种有效的姑息治疗方法。

材料和方法

这是一项前瞻性单中心研究,旨在评估最大药物治疗后功能性 III 或 IV 级的 PAH 患者行 Potts 分流术的结果。

结果

52 例功能性 III/IV 级、最大药物治疗后无明显心内或心外分流的肺动脉高压患者接受了评估,并接受了 Potts 分流术/动脉导管未闭(PDA)支架置入术的咨询。52 例患者中,16 例(13 例女性)同意进行该手术;14 例行 Potts 手术,2 例行 PDA 经导管支架置入术,该手术在生理上类似于 Potts 分流术。未同意手术的患者继续接受标准药物治疗。16 例患者中有 12 例存活。手术未存活的患者年龄较大,右心室收缩功能严重障碍,且为功能性 IV 级。存活的患者在肺动脉高压门诊接受随访。中位随访时间为 17 个月(1-40 个月)。手术后出院的 13 例患者中的 11 例持续临床、超声心动图和生化改善,10 例患者减少了肺动脉扩张剂治疗的需要。术后随访 16 个月时,1 例患者因下呼吸道感染死亡。

结论

对于无明显心内或心外分流的 PAH 患者,Potts 分流术是可行的。它可以安全地进行,成功率可以接受。患者选择、术前稳定和术后精心管理至关重要。应在出现临床、超声心动图或实验室恶化的最早迹象时进行,以获得最佳结果。需要长期随访,以观察未来功能状态的持续改善和肺移植的需求。

https://cdn.ncbi.nlm.nih.gov/pmc/blobs/0761/8065372/0939eb133cf9/gr8.jpg
https://cdn.ncbi.nlm.nih.gov/pmc/blobs/0761/8065372/58f1be767d41/gr1.jpg
https://cdn.ncbi.nlm.nih.gov/pmc/blobs/0761/8065372/af2da1898054/gr2.jpg
https://cdn.ncbi.nlm.nih.gov/pmc/blobs/0761/8065372/f41f783ed44b/gr3.jpg
https://cdn.ncbi.nlm.nih.gov/pmc/blobs/0761/8065372/32250220c5e4/gr4.jpg
https://cdn.ncbi.nlm.nih.gov/pmc/blobs/0761/8065372/9236918574e1/gr5.jpg
https://cdn.ncbi.nlm.nih.gov/pmc/blobs/0761/8065372/06dd98599cbf/gr6.jpg
https://cdn.ncbi.nlm.nih.gov/pmc/blobs/0761/8065372/0dbbe0277429/gr7.jpg
https://cdn.ncbi.nlm.nih.gov/pmc/blobs/0761/8065372/0939eb133cf9/gr8.jpg
https://cdn.ncbi.nlm.nih.gov/pmc/blobs/0761/8065372/58f1be767d41/gr1.jpg
https://cdn.ncbi.nlm.nih.gov/pmc/blobs/0761/8065372/af2da1898054/gr2.jpg
https://cdn.ncbi.nlm.nih.gov/pmc/blobs/0761/8065372/f41f783ed44b/gr3.jpg
https://cdn.ncbi.nlm.nih.gov/pmc/blobs/0761/8065372/32250220c5e4/gr4.jpg
https://cdn.ncbi.nlm.nih.gov/pmc/blobs/0761/8065372/9236918574e1/gr5.jpg
https://cdn.ncbi.nlm.nih.gov/pmc/blobs/0761/8065372/06dd98599cbf/gr6.jpg
https://cdn.ncbi.nlm.nih.gov/pmc/blobs/0761/8065372/0dbbe0277429/gr7.jpg
https://cdn.ncbi.nlm.nih.gov/pmc/blobs/0761/8065372/0939eb133cf9/gr8.jpg

相似文献

1
Potts shunt as an effective palliation for patients with end stage pulmonary arterial hypertension.波特氏分流术作为晚期肺动脉高压患者的有效姑息治疗方法。
Indian Heart J. 2021 Mar-Apr;73(2):196-204. doi: 10.1016/j.ihj.2021.01.007. Epub 2021 Jan 6.
2
Palliative Potts shunt for the treatment of children with drug-refractory pulmonary arterial hypertension: updated data from the first 24 patients.姑息性波特分流术治疗药物难治性儿童肺动脉高压:前24例患者的最新数据。
Eur J Cardiothorac Surg. 2015 Mar;47(3):e105-10. doi: 10.1093/ejcts/ezu445. Epub 2014 Dec 4.
3
Potts shunt in children with idiopathic pulmonary arterial hypertension: long-term results.特发性肺动脉高压儿童行波特分流术:长期结果。
Ann Thorac Surg. 2012 Sep;94(3):817-24. doi: 10.1016/j.athoracsur.2012.03.099. Epub 2012 Jun 15.
4
Midterm outcomes of the Potts shunt for pediatric pulmonary hypertension, with comparison to lung transplant.波特分流术治疗小儿肺动脉高压的中期结果,并与肺移植进行比较。
J Thorac Cardiovasc Surg. 2021 Mar;161(3):1139-1148. doi: 10.1016/j.jtcvs.2020.10.163. Epub 2020 Dec 9.
5
Creation of a functional Potts shunt by stenting the persistent arterial duct in newborns and infants with suprasystemic pulmonary hypertension of various etiologies.通过支架置入永存动脉干,为不同病因导致的体循环高压新生儿和婴儿创建功能性柏氏(Potts)分流术。
J Heart Lung Transplant. 2014 May;33(5):542-6. doi: 10.1016/j.healun.2014.01.860. Epub 2014 Jan 24.
6
A case series of transcatheter Potts Shunt creation in a pediatric population affected with refractory pulmonary artery hypertension: focus on the role of ECMO.经导管 Potts 分流术治疗难治性肺动脉高压儿童患者的病例系列:重点关注 ECMO 的作用。
Perfusion. 2021 May;36(4):415-420. doi: 10.1177/0267659120954169. Epub 2020 Sep 3.
7
Potts Shunt and Pediatric Pulmonary Hypertension: What We Have Learned.波特分流术与小儿肺动脉高压:我们所了解到的情况。
Ann Thorac Surg. 2016 Apr;101(4):1539-43. doi: 10.1016/j.athoracsur.2015.08.068. Epub 2015 Oct 28.
8
Potts shunt in children with pulmonary arterial hypertension: institutional experience.儿童肺动脉高压患者的Potts分流术:机构经验
Interact Cardiovasc Thorac Surg. 2017 Oct 1;25(4):595-599. doi: 10.1093/icvts/ivx209.
9
Potts Shunt Improves Right Ventricular Function and Coupling With Pulmonary Circulation in Children With Suprasystemic Pulmonary Arterial Hypertension.体肺分流术改善超系统肺动脉高压儿童的右心室功能和与肺循环的耦联。
Circ Cardiovasc Imaging. 2018 Dec;11(12):e007964. doi: 10.1161/CIRCIMAGING.118.007964.
10
Potts anastomosis in children with severe pulmonary arterial hypertension and atrial septal defect.重度肺动脉高压合并房间隔缺损患儿的Potts吻合术
ESC Heart Fail. 2021 Feb;8(1):326-332. doi: 10.1002/ehf2.13074. Epub 2020 Nov 20.

引用本文的文献

1
Perioperative Echocardiographic Management of a Surgical Right Pulmonary Artery-Left Atrial Shunt as a Bridge to Lung Transplantation.作为肺移植桥梁的外科右肺动脉-左心房分流术的围手术期超声心动图管理
CASE (Phila). 2025 Apr 1;9(6):187-193. doi: 10.1016/j.case.2025.02.003. eCollection 2025 Jun.
2
Cardiopulmonary Exercise Testing With Forehead and Popliteal Oximetry in Evaluating Efficacy of Reverse Potts Shunt.采用额头和腘部血氧测定法的心肺运动试验在评估Potts分流逆转疗效中的应用
JACC Case Rep. 2025 Apr 2;30(7):103409. doi: 10.1016/j.jaccas.2025.103409.
3
Interventional Strategies for Children with Progressive Pulmonary Hypertension Despite Optimal Therapy: An Official American Thoracic Society Clinical Practice Guideline.

本文引用的文献

1
Potts Shunt Improves Right Ventricular Function and Coupling With Pulmonary Circulation in Children With Suprasystemic Pulmonary Arterial Hypertension.体肺分流术改善超系统肺动脉高压儿童的右心室功能和与肺循环的耦联。
Circ Cardiovasc Imaging. 2018 Dec;11(12):e007964. doi: 10.1161/CIRCIMAGING.118.007964.
2
Pathophysiology of the right ventricle and of the pulmonary circulation in pulmonary hypertension: an update.肺动脉高压中心脏右心室和肺循环的病理生理学:更新。
Eur Respir J. 2019 Jan 24;53(1). doi: 10.1183/13993003.01900-2018. Print 2019 Jan.
3
Risk stratification and medical therapy of pulmonary arterial hypertension.
尽管接受了最佳治疗但仍患有进行性肺动脉高压的儿童的介入策略:美国胸科学会官方临床实践指南
Am J Respir Crit Care Med. 2025 Feb;211(2):157-173. doi: 10.1164/rccm.202410-1901ST.
4
Long-term outcomes of transcatheter Potts shunt in children with suprasystemic pulmonary arterial hypertension.经导管Potts分流术治疗儿童系统性肺动脉高压的长期疗效
Front Cardiovasc Med. 2022 Oct 26;9:1028304. doi: 10.3389/fcvm.2022.1028304. eCollection 2022.
5
Reversed Potts Shunt Outcome in Suprasystemic Pulmonary Arterial Hypertension: A Systematic Review and Meta-Analysis.系统性肺动脉高压行反式波氏分流术的结局:系统评价和荟萃分析。
Curr Cardiol Rev. 2022;18(6):e090522204486. doi: 10.2174/1573403X18666220509203335.
肺动脉高压的风险分层与药物治疗。
Eur Respir J. 2019 Jan 24;53(1). doi: 10.1183/13993003.01889-2018. Print 2019 Jan.
4
Pathology and pathobiology of pulmonary hypertension: state of the art and research perspectives.肺动脉高压的病理学和病理生物学:现状和研究展望。
Eur Respir J. 2019 Jan 24;53(1). doi: 10.1183/13993003.01887-2018. Print 2019 Jan.
5
Potts Shunt to Be Preferred Above Atrial Septostomy in Pediatric Pulmonary Arterial Hypertension Patients: A Modeling Study.在小儿肺动脉高压患者中,Potts分流术优于房间隔造口术:一项建模研究。
Front Physiol. 2018 Sep 10;9:1252. doi: 10.3389/fphys.2018.01252. eCollection 2018.
6
Atrial septostomy with a predefined diameter using a novel occlutech atrial flow regulator improves symptoms and cardiac index in patients with severe pulmonary arterial hypertension.使用新型Occlutech心房血流调节器进行预定义直径的房间隔造口术可改善重度肺动脉高压患者的症状和心脏指数。
Catheter Cardiovasc Interv. 2017 Dec 1;90(7):1145-1153. doi: 10.1002/ccd.27233. Epub 2017 Sep 1.
7
Potts shunt in children with pulmonary arterial hypertension: institutional experience.儿童肺动脉高压患者的Potts分流术:机构经验
Interact Cardiovasc Thorac Surg. 2017 Oct 1;25(4):595-599. doi: 10.1093/icvts/ivx209.
8
Modified Potts Shunt in an Adult with Idiopathic Pulmonary Arterial Hypertension.成人特发性肺动脉高压患者的改良Potts分流术
Ann Am Thorac Soc. 2017 Apr;14(4):607-609. doi: 10.1513/AnnalsATS.201701-057LE.
9
Potts Shunt and Pediatric Pulmonary Hypertension: What We Have Learned.波特分流术与小儿肺动脉高压:我们所了解到的情况。
Ann Thorac Surg. 2016 Apr;101(4):1539-43. doi: 10.1016/j.athoracsur.2015.08.068. Epub 2015 Oct 28.
10
Surgical and transcatheter management alternatives in refractory pulmonary hypertension: Potts shunt.难治性肺动脉高压的手术及经导管治疗替代方案:波特分流术
Anatol J Cardiol. 2015 Oct;15(10):843-7. doi: 10.5152/AnatolJCardiol.2015.6447.