• 文献检索
  • 文档翻译
  • 深度研究
  • 学术资讯
  • Suppr Zotero 插件Zotero 插件
  • 邀请有礼
  • 套餐&价格
  • 历史记录
应用&插件
Suppr Zotero 插件Zotero 插件浏览器插件Mac 客户端Windows 客户端微信小程序
定价
高级版会员购买积分包购买API积分包
服务
文献检索文档翻译深度研究API 文档MCP 服务
关于我们
关于 Suppr公司介绍联系我们用户协议隐私条款
关注我们

Suppr 超能文献

核心技术专利:CN118964589B侵权必究
粤ICP备2023148730 号-1Suppr @ 2026

文献检索

告别复杂PubMed语法,用中文像聊天一样搜索,搜遍4000万医学文献。AI智能推荐,让科研检索更轻松。

立即免费搜索

文件翻译

保留排版,准确专业,支持PDF/Word/PPT等文件格式,支持 12+语言互译。

免费翻译文档

深度研究

AI帮你快速写综述,25分钟生成高质量综述,智能提取关键信息,辅助科研写作。

立即免费体验

工作记忆在双重任务情境中任务顺序协调中的作用。

The role of working memory for task-order coordination in dual-task situations.

机构信息

Department of Psychology, Martin-Luther University Halle-Wittenberg, Halle, Germany.

Department of Psychology, Humboldt-Universität Zu Berlin, Berlin, Germany.

出版信息

Psychol Res. 2022 Mar;86(2):452-473. doi: 10.1007/s00426-021-01517-2. Epub 2021 Apr 21.

DOI:10.1007/s00426-021-01517-2
PMID:33884485
原文链接:https://pmc.ncbi.nlm.nih.gov/articles/PMC8885531/
Abstract

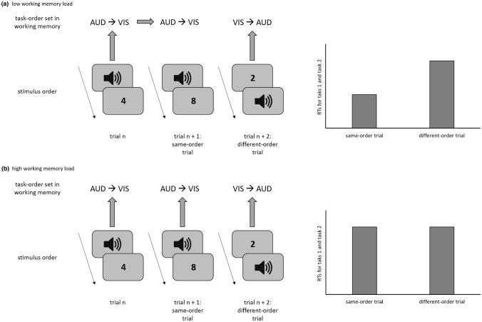
Dual-task (DT) situations require task-order coordination processes that schedule the processing of two temporally overlapping tasks. Theories on task-order coordination suggest that these processes rely on order representations that are actively maintained and processed in working memory (WM). Preliminary evidence for this assumption stems from DT situations with variable task order, where repeating task order relative to the preceding trials results in improved performance compared to changing task order, indicating the processing of task-order information in WM between two succeeding trials. We directly tested this assumption by varying WM load during a DT with variable task order. In Experiment 1, WM load was manipulated by varying the number of stimulus-response mappings of the component tasks. In Experiment 2A, WM load was increased by embedding an additional WM updating task in the applied DT. In both experiments, the performance benefit for trials with repeated relative to trials with changed task order was reduced under high compared to low WM load. These results confirm our assumption that the processing of the task-order information relies on WM resources. In Experiment 2B, we tested whether the results of Experiment 2A can be attributed to introducing an additional task per se rather than to increased WM load by introducing an additional task with a low WM load. Importantly, in this experiment, the processing of order information was not affected. In sum, the results of the three experiments indicate that task-order coordination relies on order information which is maintained in an accessible state in WM during DT processing.

摘要

双任务(DT)情境需要任务顺序协调过程,该过程安排两个时间上重叠任务的处理顺序。任务顺序协调理论表明,这些过程依赖于主动维护和在工作记忆(WM)中处理的顺序表示。这一假设的初步证据源于任务顺序可变的 DT 情境,与前一个试验相比,重复任务顺序会导致性能提高,而改变任务顺序则会导致性能下降,这表明在两个相继试验之间 WM 中处理了任务顺序信息。我们通过在可变任务顺序的 DT 中改变 WM 负载来直接检验这一假设。在实验 1 中,WM 负载通过改变组件任务的刺激-反应映射的数量来操纵。在实验 2A 中,通过在应用的 DT 中嵌入额外的 WM 更新任务来增加 WM 负载。在这两个实验中,与改变任务顺序的试验相比,重复任务顺序的试验的性能获益在高 WM 负载下低于低 WM 负载。这些结果证实了我们的假设,即任务顺序信息的处理依赖于 WM 资源。在实验 2B 中,我们测试了实验 2A 的结果是否可以归因于引入一个单独的任务,而不是通过引入一个低 WM 负载的额外任务来增加 WM 负载。重要的是,在这个实验中,顺序信息的处理没有受到影响。总之,三个实验的结果表明,任务顺序协调依赖于在 DT 处理过程中 WM 中以可访问状态保持的顺序信息。

https://cdn.ncbi.nlm.nih.gov/pmc/blobs/e9b3/8885531/836200b63faf/426_2021_1517_Fig3_HTML.jpg
https://cdn.ncbi.nlm.nih.gov/pmc/blobs/e9b3/8885531/fec8d709edf4/426_2021_1517_Fig1_HTML.jpg
https://cdn.ncbi.nlm.nih.gov/pmc/blobs/e9b3/8885531/7efd48582bf7/426_2021_1517_Fig2_HTML.jpg
https://cdn.ncbi.nlm.nih.gov/pmc/blobs/e9b3/8885531/836200b63faf/426_2021_1517_Fig3_HTML.jpg
https://cdn.ncbi.nlm.nih.gov/pmc/blobs/e9b3/8885531/fec8d709edf4/426_2021_1517_Fig1_HTML.jpg
https://cdn.ncbi.nlm.nih.gov/pmc/blobs/e9b3/8885531/7efd48582bf7/426_2021_1517_Fig2_HTML.jpg
https://cdn.ncbi.nlm.nih.gov/pmc/blobs/e9b3/8885531/836200b63faf/426_2021_1517_Fig3_HTML.jpg

相似文献

1
The role of working memory for task-order coordination in dual-task situations.工作记忆在双重任务情境中任务顺序协调中的作用。
Psychol Res. 2022 Mar;86(2):452-473. doi: 10.1007/s00426-021-01517-2. Epub 2021 Apr 21.
2
On the organization of task-order and task-specific information in dual-task situations.在双重任务情境中组织任务指令和任务特定信息。
J Exp Psychol Hum Percept Perform. 2022 Jan;48(1):94-113. doi: 10.1037/xhp0000969.
3
Auditory temporal preparation induced by rhythmic cues during concurrent auditory working memory tasks.在并发听觉工作记忆任务期间,节奏线索诱发的听觉时间准备。
J Exp Psychol Hum Percept Perform. 2015 Jun;41(3):790-7. doi: 10.1037/a0039167. Epub 2015 Apr 20.
4
The Sources of Dual-task Costs in Multisensory Working Memory Tasks.多感觉工作记忆任务中的双任务代价来源。
J Cogn Neurosci. 2019 Feb;31(2):175-185. doi: 10.1162/jocn_a_01348. Epub 2018 Oct 2.
5
Visual working-memory capacity load does not modulate distractor processing.视觉工作记忆容量负荷不会调节干扰项处理。
Atten Percept Psychophys. 2020 Oct;82(7):3291-3313. doi: 10.3758/s13414-020-01991-7.
6
Practice-related optimization of dual-task performance: Efficient task instantiation during overlapping task processing.与实践相关的双任务表现优化:重叠任务处理期间的高效任务实例化。
J Exp Psychol Hum Percept Perform. 2018 Dec;44(12):1884-1904. doi: 10.1037/xhp0000576. Epub 2018 Oct 18.
7
Prospective memory and working memory: asymmetrical effects during frontal lobe TMS stimulation.前瞻性记忆和工作记忆:额叶 TMS 刺激期间的不对称影响。
Neuropsychologia. 2010 Sep;48(11):3282-90. doi: 10.1016/j.neuropsychologia.2010.07.011. Epub 2010 Jul 15.
8
The effect of non-visual working memory load on top-down modulation of visual processing.非视觉工作记忆负荷对视觉处理自上而下调节的影响。
Neuropsychologia. 2009 Jun;47(7):1637-46. doi: 10.1016/j.neuropsychologia.2009.01.036. Epub 2009 Feb 4.
9
Transfer after Dual n-Back Training Depends on Striatal Activation Change.双重n-back训练后的转移取决于纹状体激活变化。
J Neurosci. 2016 Sep 28;36(39):10198-213. doi: 10.1523/JNEUROSCI.2305-15.2016.
10
Independent Attention Mechanisms Control the Activation of Tactile and Visual Working Memory Representations.独立注意机制控制触觉和视觉工作记忆表征的激活。
J Cogn Neurosci. 2018 May;30(5):644-655. doi: 10.1162/jocn_a_01239. Epub 2018 Jan 18.

引用本文的文献

1
What Task Feature Determines the Dominant Task in Dual-Task Conditions?在双任务条件下,是什么任务特征决定了主导任务?
eNeuro. 2025 Mar 27;12(3). doi: 10.1523/ENEURO.0542-24.2025. Print 2025 Mar.
2
Sequential adjustments of task-pair control in dual-task contexts: Examining the role of repetition priming effects at the level of task-pair sets and abstract control states.双任务情境中任务对控制的顺序调整:在任务对集和抽象控制状态层面考察重复启动效应的作用。
Mem Cognit. 2025 Feb 18. doi: 10.3758/s13421-025-01694-0.
3
Possible influence of sex on the relationship between dual-task gait costs and cognitive decline in older adults.

本文引用的文献

1
Endogenous control of task-order preparation in variable dual tasks.内源性控制变量双任务中任务顺序准备。
Psychol Res. 2021 Feb;85(1):345-363. doi: 10.1007/s00426-019-01259-2. Epub 2019 Oct 30.
2
The Causal Role of the Lateral Prefrontal Cortex for Task-order Coordination in Dual-task Situations: A Study with Transcranial Magnetic Stimulation.外侧前额叶皮层在双重任务情境下任务顺序协调中的因果作用:一项经颅磁刺激研究。
J Cogn Neurosci. 2019 Dec;31(12):1840-1856. doi: 10.1162/jocn_a_01466. Epub 2019 Sep 3.
3
Practice-related optimization of dual-task performance: Efficient task instantiation during overlapping task processing.
性别对老年人双任务步态成本与认知衰退之间关系的潜在影响。
PLoS One. 2025 Jan 30;20(1):e0317365. doi: 10.1371/journal.pone.0317365. eCollection 2025.
4
Comparing laboratory and online settings: equivalence in training and transfer effects for training task-order coordination processes.比较实验室环境与在线环境:训练任务顺序协调过程中训练及迁移效果的等效性
Front Psychol. 2024 Oct 1;15:1440057. doi: 10.3389/fpsyg.2024.1440057. eCollection 2024.
5
Task-order control in dual-tasks: Only marginal interactions between conflict at lower levels and higher processes of task organization.任务转换控制中的双重任务:仅在较低层次的冲突与较高层次的任务组织过程之间存在边缘交互。
Atten Percept Psychophys. 2024 Jul;86(5):1-23. doi: 10.3758/s13414-024-02876-9. Epub 2024 May 8.
6
Controlling response order without relying on stimulus order - evidence for flexible representations of task order.无需依赖刺激顺序控制反应顺序——任务顺序的灵活表示的证据。
Psychol Res. 2024 Jul;88(5):1712-1726. doi: 10.1007/s00426-024-01953-w. Epub 2024 Apr 13.
7
A mechanism underlying improved dual-task performance after practice: Reviewing evidence for the memory hypothesis.练习后改善双重任务表现的潜在机制:回顾记忆假说的证据。
Psychon Bull Rev. 2024 Oct;31(5):2005-2021. doi: 10.3758/s13423-024-02498-0. Epub 2024 Mar 26.
8
Separated hands further response-response binding effects. 分离的手进一步产生反应-反应绑定效应。
Psychon Bull Rev. 2024 Oct;31(5):2226-2233. doi: 10.3758/s13423-023-02419-7. Epub 2024 Mar 4.
9
Can frequent long stimulus onset ansynchronies (SOAs) foster the representation of two separated task-sets in dual-tasking?频繁的长刺激起始异步(SOA)能否促进双重任务中两个分离任务集的表示?
Psychol Res. 2024 Jun;88(4):1231-1252. doi: 10.1007/s00426-024-01935-y. Epub 2024 Feb 28.
10
Practice effects on dual-task order coordination and its sequential adjustment.双任务顺序协调及其顺序调整中的练习效应。
Psychon Bull Rev. 2024 Oct;31(5):2189-2204. doi: 10.3758/s13423-024-02476-6. Epub 2024 Feb 26.
与实践相关的双任务表现优化:重叠任务处理期间的高效任务实例化。
J Exp Psychol Hum Percept Perform. 2018 Dec;44(12):1884-1904. doi: 10.1037/xhp0000576. Epub 2018 Oct 18.
4
Processing order in dual-task situations: The "first-come, first-served" principle and the impact of task order instructions.双重任务情境下的处理顺序:“先到先得”原则及任务顺序指令的影响
Atten Percept Psychophys. 2018 Oct;80(7):1785-1803. doi: 10.3758/s13414-018-1541-8.
5
Lost time: Bindings do not represent temporal order information.错失的时间:绑定关系不表示时间顺序信息。
Psychon Bull Rev. 2019 Feb;26(1):325-331. doi: 10.3758/s13423-018-1493-y.
6
Cognitive structure, flexibility, and plasticity in human multitasking-An integrative review of dual-task and task-switching research.人类多重任务中的认知结构、灵活性和可塑性——双任务和任务转换研究的综合综述。
Psychol Bull. 2018 Jun;144(6):557-583. doi: 10.1037/bul0000144. Epub 2018 Mar 8.
7
Following new task instructions: Evidence for a dissociation between knowing and doing.遵循新的任务指令:知与行之间存在分离的证据。
Neurosci Biobehav Rev. 2017 Oct;81(Pt A):16-28. doi: 10.1016/j.neubiorev.2017.02.012.
8
The impact of free-order and sequential-order instructions on task-order regulation in dual tasks.自由顺序和顺序指令对双重任务中任务顺序调节的影响。
Psychol Res. 2018 Jan;82(1):40-53. doi: 10.1007/s00426-017-0910-6. Epub 2017 Aug 30.
9
The Nature of Task Set Representations in Working Memory.工作记忆中任务集表示的本质。
J Cogn Neurosci. 2017 Nov;29(11):1950-1961. doi: 10.1162/jocn_a_01173. Epub 2017 Aug 4.
10
Bayesian inference for psychology. Part II: Example applications with JASP.贝叶斯推断在心理学中的应用。第二部分:使用 JASP 的实例应用。
Psychon Bull Rev. 2018 Feb;25(1):58-76. doi: 10.3758/s13423-017-1323-7.