Médecine Intensive Et Réanimation, CHRU de La Cavale Blanche, Bvd. Tanguy-Prigent, 29609, BREST Cedex, France.
LATIM INSERM UMR 1101, Université de Bretagne Occidentale, BREST, France.
J Clin Monit Comput. 2022 Jun;36(3):775-783. doi: 10.1007/s10877-021-00708-x. Epub 2021 Apr 22.
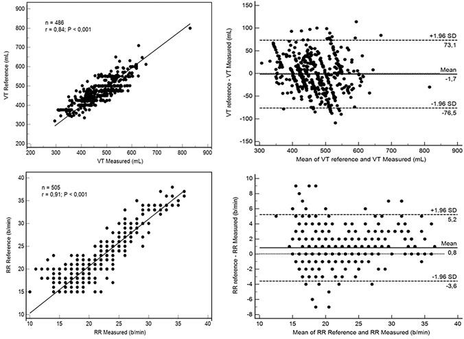
Tidal volume monitoring may help minimize lung injury during respiratory assistance. Surface imaging using time-of-flight camera is a new, non-invasive, non-contact, radiation-free, and easy-to-use technique that enables tidal volume and respiratory rate measurements. The objectives of the study were to determine the accuracy of Time-of-Flight volume (VT) and respiratory rate (RR) measurements at the bedside, and to validate its application for spontaneously breathing patients under high flow nasal canula. Data analysis was performed within the ReaSTOC data-warehousing project (ClinicalTrials.gov identifier NCT02893462). All data were recorded using standard monitoring devices, and the computerized medical file. Time-of-flight technique used a Kinect V2 (Microsoft, Redmond, WA, USA) to acquire the distance information, based on measuring the phase delay between the emitted light-wave and received backscattered signals. 44 patients (32 under mechanical ventilation; 12 under high-flow nasal canula) were recorded. High correlation (r = 0.84; p < 0.001), with low bias (-1.7 mL) and acceptable deviation (75 mL) was observed between VT and VT under ventilation. Similar performance was observed for respiratory rate (r = 0.91; p < 0.001; bias < 1b/min; deviation ≤ 5b/min). Measurements were possible for all patients under high-flow nasal canula, detecting overdistension in 4 patients (tidal volume > 8 mL/kg) and low ventilation in 6 patients (tidal volume < 6 mL/kg). Tidal volume monitoring using time-of-flight camera (VT) is correlated to reference values. Time-of-flight camera enables continuous and non-contact respiratory monitoring under high-flow nasal canula, and enables to detect tidal volume and respiratory rate changes, while modifying flow. It enables respiratory monitoring for spontaneously patients, especially while using high-flow nasal oxygenation.
潮气量监测有助于降低呼吸支持过程中的肺损伤风险。基于飞行时间(ToF)原理的表面成像技术是一种新型的、非侵入式、非接触式、无辐射且易于使用的技术,可实现潮气量和呼吸频率的测量。本研究旨在评估该技术在床边测量潮气量和呼吸频率的准确性,并验证其在高流量鼻导管吸氧的自主呼吸患者中的应用。数据分析基于 ReaSTOC 数据仓库项目(ClinicalTrials.gov 标识符:NCT02893462)。所有数据均由标准监测设备和电子病历记录。ToF 技术使用 Kinect V2(Microsoft,Redmond,WA,USA)获取距离信息,其原理是测量发射光和接收后向散射信号之间的相位延迟。共记录了 44 名患者(32 名机械通气患者,12 名高流量鼻导管吸氧患者)的数据。VT 与通气时的 VT 之间具有高度相关性(r=0.84;p<0.001),低偏差(-1.7 mL)和可接受的离散度(75 mL)。呼吸频率也具有相似的表现(r=0.91;p<0.001;bias<1 b/min;deviation≤5 b/min)。所有高流量鼻导管吸氧患者均能进行测量,其中 4 名患者(潮气量>8 mL/kg)存在过度充气,6 名患者(潮气量<6 mL/kg)存在通气不足。基于 ToF 原理的潮气量监测仪(VT)与参考值具有相关性。该技术可在高流量鼻导管吸氧下实现连续、非接触式呼吸监测,能检测潮气量和呼吸频率变化,以及调整气流时的变化。其可用于自主呼吸患者的呼吸监测,尤其是在使用高流量鼻氧时。