Suppr超能文献

在美国中西部城市周边环境中,宿主寻找蜱虫的多样性和季节性。

Diversity and seasonality of host-seeking ticks in a periurban environment in the Central Midwest (USA).

机构信息

Department of Biology, College of Science, Al-Baha University, Al-Baha, Kingdom of Saudi Arabia.

Department of Diagnostic Medicine and Pathobiology, College of Veterinary Medicine, Kansas State University, Manhattan, Kansas, United States of America.

出版信息

PLoS One. 2021 Apr 23;16(4):e0250272. doi: 10.1371/journal.pone.0250272. eCollection 2021.

Abstract

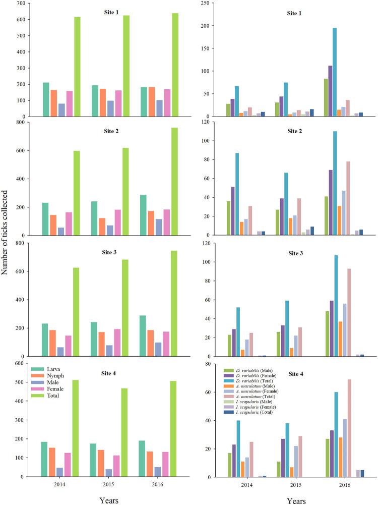
Between March 2014 and February 2017, host-seeking ticks were collected during the late spring and summer months seasonally, and as well as continually through all seasons from several sites in a periurban environment in Pittsburg, Kansas, located in the Central Midwestern United States. All three post-emergent life-stages of Amblyomma americanum, and the adults of three other ticks viz. Dermacentor variabilis, A. maculatum, and Ixodes scapularis were collected using the flagging method, and were taxonomically identified using morphological and molecular methods. A total of 15946 ticks were collected from these sites. A vast majority of the ticks collected over the three-year study period was A. americanum (79.01%). The three other species collected included D. variabilis (13.10%), A. maculatum (7.15%), and Ixodes scapularis (0.73%). More female ticks of each species were collected throughout the study period from all sites, and a unimodal activity period was noted for all four species. The diversity, composition, and phenology of these medically significant tick species are discussed.

摘要

2014 年 3 月至 2017 年 2 月,在美国中西部中心地带堪萨斯州匹兹堡的城郊环境中,从多个地点季节性地在春末和夏季收集吸血蜱,并在所有季节持续收集。使用标记法收集了三种新孵化的美洲钝缘蜱以及三种其他蜱 viz. 变色革蜱、美洲革蜱和肩突硬蜱的成虫,并使用形态学和分子学方法对其进行了分类鉴定。从这些地点共收集了 15946 只蜱。在为期三年的研究期间,收集的绝大多数蜱是美洲钝缘蜱(79.01%)。收集到的其他三种物种包括变色革蜱(13.10%)、美洲革蜱(7.15%)和肩突硬蜱(0.73%)。在整个研究期间,从所有地点收集到的每种物种的雌性蜱都更多,并且所有四个物种的活动期呈单峰模式。讨论了这些具有医学重要性的蜱种的多样性、组成和物候学。

https://cdn.ncbi.nlm.nih.gov/pmc/blobs/5557/8064531/e37be55d5b4f/pone.0250272.g001.jpg

文献检索

告别复杂PubMed语法,用中文像聊天一样搜索,搜遍4000万医学文献。AI智能推荐,让科研检索更轻松。

立即免费搜索

文件翻译

保留排版,准确专业,支持PDF/Word/PPT等文件格式,支持 12+语言互译。

免费翻译文档

深度研究

AI帮你快速写综述,25分钟生成高质量综述,智能提取关键信息,辅助科研写作。

立即免费体验