• 文献检索
  • 文档翻译
  • 深度研究
  • 学术资讯
  • Suppr Zotero 插件Zotero 插件
  • 邀请有礼
  • 套餐&价格
  • 历史记录
应用&插件
Suppr Zotero 插件Zotero 插件浏览器插件Mac 客户端Windows 客户端微信小程序
定价
高级版会员购买积分包购买API积分包
服务
文献检索文档翻译深度研究API 文档MCP 服务
关于我们
关于 Suppr公司介绍联系我们用户协议隐私条款
关注我们

Suppr 超能文献

核心技术专利:CN118964589B侵权必究
粤ICP备2023148730 号-1Suppr @ 2026

文献检索

告别复杂PubMed语法,用中文像聊天一样搜索,搜遍4000万医学文献。AI智能推荐,让科研检索更轻松。

立即免费搜索

文件翻译

保留排版,准确专业,支持PDF/Word/PPT等文件格式,支持 12+语言互译。

免费翻译文档

深度研究

AI帮你快速写综述,25分钟生成高质量综述,智能提取关键信息,辅助科研写作。

立即免费体验

幼儿利用统计信息支持词汇学习的能力。

Toddlers' Ability to Leverage Statistical Information to Support Word Learning.

作者信息

Ellis Erica M, Borovsky Arielle, Elman Jeffrey L, Evans Julia L

机构信息

Department of Communication Disorders, California State University, Los Angeles, Los Angeles, CA, United States.

Department of Speech, Language, and Hearing Sciences, Purdue University, West Lafayette, IN, United States.

出版信息

Front Psychol. 2021 Apr 9;12:600694. doi: 10.3389/fpsyg.2021.600694. eCollection 2021.

DOI:10.3389/fpsyg.2021.600694
PMID:33897523
原文链接:https://pmc.ncbi.nlm.nih.gov/articles/PMC8063043/
Abstract

PURPOSE

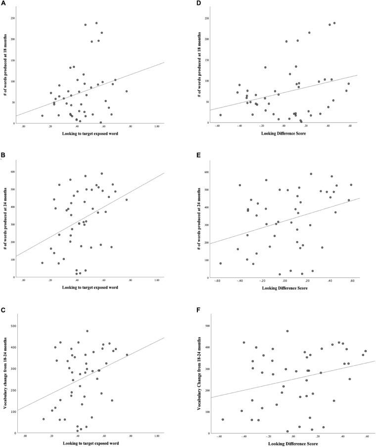
This study investigated whether the ability to utilize statistical regularities from fluent speech and map potential words to meaning at 18-months predicts vocabulary at 18- and again at 24-months.

METHOD

Eighteen-month-olds ( = 47) were exposed to an artificial language with statistical regularities within the speech stream, then participated in an object-label learning task. Learning was measured using a modified looking-while-listening eye-tracking design. Parents completed vocabulary questionnaires when their child was 18-and 24-months old.

RESULTS

Ability to learn the object-label pairing for words after exposure to the artificial language predicted productive vocabulary at 24-months and amount of vocabulary change from 18- to 24 months, independent of non-verbal cognitive ability, socio-economic status (SES) and/or object-label association performance.

CONCLUSION

Eighteen-month-olds' ability to use statistical information derived from fluent speech to identify words within the stream of speech and then to map the "words" to meaning directly predicts vocabulary size at 24-months and vocabulary change from 18 to 24 months. The findings support the hypothesis that statistical word segmentation is one of the important aspects of word learning and vocabulary acquisition in toddlers.

摘要

目的

本研究调查了18个月大时利用流利言语中的统计规律并将潜在词汇与意义进行映射的能力是否能预测18个月和24个月时的词汇量。

方法

18个月大的婴儿(n = 47)接触了言语流中具有统计规律的人工语言,然后参与了一个物体标签学习任务。学习情况通过一种改进的听时注视眼动追踪设计进行测量。当孩子18个月和24个月大时,父母完成词汇问卷。

结果

接触人工语言后学习单词与物体标签配对的能力预测了24个月时的产出性词汇量以及18个月至24个月期间的词汇量变化,且不受非言语认知能力、社会经济地位(SES)和/或物体标签关联表现的影响。

结论

18个月大的婴儿利用从流利言语中获取的统计信息在言语流中识别单词并将“单词”直接与意义进行映射的能力,直接预测了24个月时的词汇量大小以及18个月至24个月期间的词汇量变化。这些发现支持了统计性单词切分是幼儿单词学习和词汇习得重要方面之一的假设。

https://cdn.ncbi.nlm.nih.gov/pmc/blobs/029c/8063043/80ffdf75c4d9/fpsyg-12-600694-g005.jpg
https://cdn.ncbi.nlm.nih.gov/pmc/blobs/029c/8063043/6c40fc7fabef/fpsyg-12-600694-g001.jpg
https://cdn.ncbi.nlm.nih.gov/pmc/blobs/029c/8063043/e0a478b644af/fpsyg-12-600694-g002.jpg
https://cdn.ncbi.nlm.nih.gov/pmc/blobs/029c/8063043/674f76ea9c40/fpsyg-12-600694-g003.jpg
https://cdn.ncbi.nlm.nih.gov/pmc/blobs/029c/8063043/9b769cb61428/fpsyg-12-600694-g004.jpg
https://cdn.ncbi.nlm.nih.gov/pmc/blobs/029c/8063043/80ffdf75c4d9/fpsyg-12-600694-g005.jpg
https://cdn.ncbi.nlm.nih.gov/pmc/blobs/029c/8063043/6c40fc7fabef/fpsyg-12-600694-g001.jpg
https://cdn.ncbi.nlm.nih.gov/pmc/blobs/029c/8063043/e0a478b644af/fpsyg-12-600694-g002.jpg
https://cdn.ncbi.nlm.nih.gov/pmc/blobs/029c/8063043/674f76ea9c40/fpsyg-12-600694-g003.jpg
https://cdn.ncbi.nlm.nih.gov/pmc/blobs/029c/8063043/9b769cb61428/fpsyg-12-600694-g004.jpg
https://cdn.ncbi.nlm.nih.gov/pmc/blobs/029c/8063043/80ffdf75c4d9/fpsyg-12-600694-g005.jpg

相似文献

1
Toddlers' Ability to Leverage Statistical Information to Support Word Learning.幼儿利用统计信息支持词汇学习的能力。
Front Psychol. 2021 Apr 9;12:600694. doi: 10.3389/fpsyg.2021.600694. eCollection 2021.
2
Can infants map meaning to newly segmented words? Statistical segmentation and word learning.婴儿能够将意义映射到新分割的单词上吗?统计分割与单词学习。
Psychol Sci. 2007 Mar;18(3):254-60. doi: 10.1111/j.1467-9280.2007.01885.x.
3
Isolated words enhance statistical language learning in infancy.孤立词增强婴儿期的统计语言学习。
Dev Sci. 2011 Nov;14(6):1323-9. doi: 10.1111/j.1467-7687.2011.01079.x. Epub 2011 Aug 2.
4
Novel word learning: An eye-tracking study. Are 18-month-old late talkers really different from their typical peers?新词学习:一项眼动追踪研究。18个月大的语言发育迟缓儿童与同龄正常儿童真的有差异吗?
J Commun Disord. 2015 Nov-Dec;58:143-57. doi: 10.1016/j.jcomdis.2015.06.011. Epub 2015 Jul 9.
5
Phonological Learning Influences Label-Object Mapping in Toddlers.语音学习影响幼儿的标签-物体映射。
J Speech Lang Hear Res. 2019 Jun 19;62(6):1923-1932. doi: 10.1044/2019_JSLHR-L-18-0131. Epub 2019 Jun 6.
6
Development of rapid word-object associations in relation to expressive vocabulary: Shared commonalities in infants and toddlers with and without Williams syndrome.快速词汇-物体关联发展与表达性词汇的关系:伴有和不伴有威廉姆斯综合征的婴幼儿的共同特点。
Dev Sci. 2020 Nov;23(6):e12966. doi: 10.1111/desc.12966. Epub 2020 Apr 7.
7
Event-related potentials during word mapping to object shape predict toddlers' vocabulary size.词语与物体形状匹配过程中的事件相关电位可预测幼儿的词汇量。
Front Psychol. 2015 Feb 13;6:143. doi: 10.3389/fpsyg.2015.00143. eCollection 2015.
8
Novel word learning at 21 months predicts receptive vocabulary outcomes in later childhood.21 个月时的新词学习预测了日后儿童期的接受性词汇量成绩。
J Child Lang. 2019 Jul;46(4):617-631. doi: 10.1017/S0305000918000600. Epub 2019 Feb 26.
9
A preliminary examination of vocabulary and word learning in African American toddlers from middle and low socioeconomic status homes.对来自社会经济地位中低家庭的非裔美国幼儿的词汇和单词学习进行的初步考察。
Am J Speech Lang Pathol. 2007 Nov;16(4):381-92. doi: 10.1044/1058-0360(2007/041).
10
The beginnings of word segmentation in english-learning infants.学习英语的婴儿的单词分割起始阶段。
Cogn Psychol. 1999 Nov-Dec;39(3-4):159-207. doi: 10.1006/cogp.1999.0716.

本文引用的文献

1
Does speed of processing or vocabulary size predict later language growth in toddlers?加工速度或词汇量是否能预测幼儿后期的语言发展?
Cogn Psychol. 2019 Dec;115:101238. doi: 10.1016/j.cogpsych.2019.101238. Epub 2019 Sep 17.
2
Behind the Scenes of Developmental Language Disorder: Time to Call Neuropsychology Back on Stage.发育性语言障碍的幕后故事:是时候让神经心理学重返舞台了。
Front Hum Neurosci. 2019 Jan 9;12:517. doi: 10.3389/fnhum.2018.00517. eCollection 2018.
3
Statistical learning as a window into developmental disabilities.
统计学习作为一扇通往发育障碍的窗户。
J Neurodev Disord. 2018 Dec 13;10(1):35. doi: 10.1186/s11689-018-9252-y.
4
Do Infants Learn Words From Statistics? Evidence From English-Learning Infants Hearing Italian.婴儿能从统计数据中学习单词吗?来自学习英语的婴儿听意大利语的证据。
Cogn Sci. 2018 Nov;42(8):3083-3099. doi: 10.1111/cogs.12673. Epub 2018 Aug 22.
5
Individual and Developmental Differences in Distributional Learning.分布学习中的个体差异与发展差异
Lang Speech Hear Serv Sch. 2018 Aug 14;49(3S):694-709. doi: 10.1044/2018_LSHSS-STLT1-17-0134.
6
Infant Statistical Learning.婴儿统计学习。
Annu Rev Psychol. 2018 Jan 4;69:181-203. doi: 10.1146/annurev-psych-122216-011805. Epub 2017 Aug 9.
7
Infant statistical-learning ability is related to real-time language processing.婴儿的统计学习能力与实时语言处理有关。
J Child Lang. 2018 Mar;45(2):368-391. doi: 10.1017/S0305000917000253. Epub 2017 Jul 19.
8
Interrelationships Between Working Memory, Processing Speed, and Language Development in the Age Range 2-4 years.2至4岁年龄段工作记忆、处理速度与语言发展之间的相互关系
J Speech Lang Hear Res. 2016 Oct 1;59(5):1146-1158. doi: 10.1044/2016_JSLHR-L-15-0322.
9
Semantic Structure in Vocabulary Knowledge Interacts With Lexical and Sentence Processing in Infancy.词汇知识中的语义结构与婴儿期的词汇和句子处理相互作用。
Child Dev. 2016 Nov;87(6):1893-1908. doi: 10.1111/cdev.12554. Epub 2016 Jun 15.
10
Infant learning: Historical, conceptual, and methodological challenges.婴儿学习:历史、概念及方法学挑战
Infancy. 2014 Jan-Feb;19(1):2-27. doi: 10.1111/infa.12036.