• 文献检索
  • 文档翻译
  • 深度研究
  • 学术资讯
  • Suppr Zotero 插件Zotero 插件
  • 邀请有礼
  • 套餐&价格
  • 历史记录
应用&插件
Suppr Zotero 插件Zotero 插件浏览器插件Mac 客户端Windows 客户端微信小程序
定价
高级版会员购买积分包购买API积分包
服务
文献检索文档翻译深度研究API 文档MCP 服务
关于我们
关于 Suppr公司介绍联系我们用户协议隐私条款
关注我们

Suppr 超能文献

核心技术专利:CN118964589B侵权必究
粤ICP备2023148730 号-1Suppr @ 2026

文献检索

告别复杂PubMed语法,用中文像聊天一样搜索,搜遍4000万医学文献。AI智能推荐,让科研检索更轻松。

立即免费搜索

文件翻译

保留排版,准确专业,支持PDF/Word/PPT等文件格式,支持 12+语言互译。

免费翻译文档

深度研究

AI帮你快速写综述,25分钟生成高质量综述,智能提取关键信息,辅助科研写作。

立即免费体验

医护人员在紧急情况下工作日期间的唾液应激生物标志物变化。

Stress Salivary Biomarkers Variation during the Work Day in Emergencies in Healthcare Professionals.

机构信息

Departamento de Bioquímica, Biología Molecular y Fisiología, Facultad de Ciencias de la Salud, GIR de Ejercicio Físico y Envejecimiento, Campus Universitario "Los Pajaritos", Universidad de Valladolid, 42004 Soria, Spain.

Departamento de Anatomía y Radiología, Facultad de Ciencias de la Salud, GIR de Ejercicio Físico y Envejecimiento, Campus Universitario "Los Pajaritos", Universidad de Valladolid, 42004 Soria, Spain.

出版信息

Int J Environ Res Public Health. 2021 Apr 9;18(8):3937. doi: 10.3390/ijerph18083937.

DOI:10.3390/ijerph18083937
PMID:33918537
原文链接:https://pmc.ncbi.nlm.nih.gov/articles/PMC8070075/
Abstract

OBJECTIVE

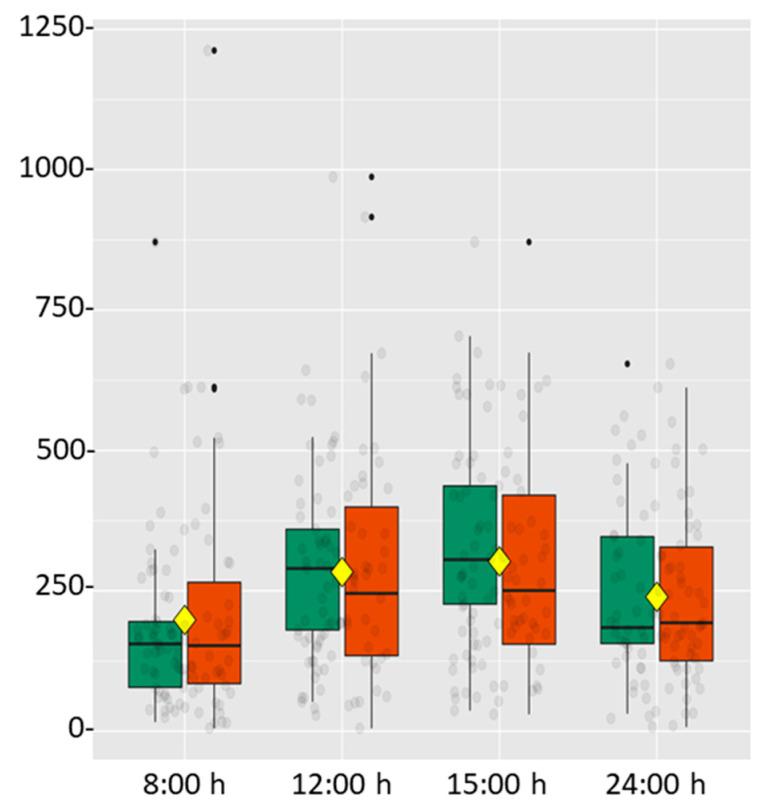
The work of health professionals in hospital emergency rooms is highly demanding due to the decisions they must take. In the present study, we consider assessing stress response in emergency health workers, measuring related biomarkers such as cortisol, dehydroepiandrosterone (DHEA) and salivary α-amylase during the whole working day.

METHOD

An analytical, descriptive and cross-sectional study was carried out. The study was conducted in the emergency rooms of two public hospitals. Ninety-seven professionals participated, 45 corresponding to one hospital and 52 to the other. Four salivary samples were obtained according to circadian rhythms: at 8:00, 12:00, 15:00 and 00:00 h/24 h. The data were subsequently analyzed.

RESULTS

Cortisol levels decreased throughout the working day, with minimum values being at 24 h. A similar pattern was observed in DHEA. The α-amylase levels increased throughout the working day, reaching its peak at 15:00 h, and decreasing at 24 h, compared to the data from the rest of the working day.

CONCLUSIONS

Since reference/baseline values are not presented, this work is focused on a stress situation experienced during one regular working day in emergency rooms with no extreme situations. In this context, stress, measured through cortisol and α-amylase, is present in emergency room doctors and nurses. However, the increase in DHEA, due to its anabolic condition, could counteract their effect, suggesting a positive effect on their professional actions.

摘要

目的

由于需要做出决策,医院急诊室的卫生专业人员的工作压力非常大。在本研究中,我们考虑评估急诊卫生工作者的应激反应,在整个工作日测量相关生物标志物,如皮质醇、脱氢表雄酮(DHEA)和唾液α-淀粉酶。

方法

进行了一项分析性、描述性和横断面研究。该研究在两家公立医院的急诊室进行。97 名专业人员参与了研究,其中 45 名来自一家医院,52 名来自另一家医院。根据昼夜节律,共采集了 4 份唾液样本:8:00、12:00、15:00 和 24:00 h/24 h。随后对数据进行了分析。

结果

皮质醇水平在整个工作日内逐渐下降,24 h 时达到最低值。DHEA 也呈现出类似的模式。α-淀粉酶水平在整个工作日内逐渐升高,在 15:00 h 时达到峰值,而在 24 h 时则低于其他工作日的数据。

结论

由于未呈现参考/基线值,因此这项工作重点关注急诊室在没有极端情况的一个正常工作日期间经历的应激情况。在这种情况下,通过皮质醇和α-淀粉酶测量的应激存在于急诊室医生和护士中。然而,DHEA 的增加,由于其合成代谢状态,可能会抵消其影响,表明其对专业行动有积极影响。

https://cdn.ncbi.nlm.nih.gov/pmc/blobs/11bc/8070075/3f661bca7156/ijerph-18-03937-g003.jpg
https://cdn.ncbi.nlm.nih.gov/pmc/blobs/11bc/8070075/13e85783c40a/ijerph-18-03937-g001.jpg
https://cdn.ncbi.nlm.nih.gov/pmc/blobs/11bc/8070075/86345e445f2b/ijerph-18-03937-g002.jpg
https://cdn.ncbi.nlm.nih.gov/pmc/blobs/11bc/8070075/3f661bca7156/ijerph-18-03937-g003.jpg
https://cdn.ncbi.nlm.nih.gov/pmc/blobs/11bc/8070075/13e85783c40a/ijerph-18-03937-g001.jpg
https://cdn.ncbi.nlm.nih.gov/pmc/blobs/11bc/8070075/86345e445f2b/ijerph-18-03937-g002.jpg
https://cdn.ncbi.nlm.nih.gov/pmc/blobs/11bc/8070075/3f661bca7156/ijerph-18-03937-g003.jpg

相似文献

1
Stress Salivary Biomarkers Variation during the Work Day in Emergencies in Healthcare Professionals.医护人员在紧急情况下工作日期间的唾液应激生物标志物变化。
Int J Environ Res Public Health. 2021 Apr 9;18(8):3937. doi: 10.3390/ijerph18083937.
2
Variations in Salivary Stress Biomarkers and Their Relationship with Anxiety, Self-Efficacy and Sleeping Quality in Emergency Health Care Professionals.唾液应激生物标志物的变化及其与急诊医护人员焦虑、自我效能感和睡眠质量的关系。
Int J Environ Res Public Health. 2021 Sep 2;18(17):9277. doi: 10.3390/ijerph18179277.
3
Awakening responses and diurnal fluctuations of salivary cortisol, DHEA-S and α-amylase in healthy male subjects.健康男性受试者唾液皮质醇、脱氢表雄酮硫酸盐(DHEA-S)和α-淀粉酶的觉醒反应及昼夜波动
Neuro Endocrinol Lett. 2011;32(4):475-80.
4
Free light chains as an emerging biomarker in saliva: Biological variability and comparisons with salivary IgA and steroid hormones.唾液中的游离轻链作为一种新兴的生物标志物:生物学变异性及与唾液 IgA 和类固醇激素的比较。
Brain Behav Immun. 2020 Jan;83:78-86. doi: 10.1016/j.bbi.2019.09.018. Epub 2019 Sep 23.
5
Salivary cortisol and DHEA levels in the Korean population: age-related differences, diurnal rhythm, and correlations with serum levels.韩国人群唾液皮质醇和脱氢表雄酮水平:与年龄相关的差异、昼夜节律及其与血清水平的相关性
Yonsei Med J. 2007 Jun 30;48(3):379-88. doi: 10.3349/ymj.2007.48.3.379.
6
Salivary cortisol and alpha-amylase diurnal profiles and stress reactivity in children with Attention Deficit Hyperactivity Disorder.唾液皮质醇和 α-淀粉酶的昼夜节律变化与注意缺陷多动障碍儿童的应激反应。
Psychoneuroendocrinology. 2018 Apr;90:174-181. doi: 10.1016/j.psyneuen.2018.02.026. Epub 2018 Feb 23.
7
Cortisol and alpha-amylase as stress response indicators during pre-hospital emergency medicine training with repetitive high-fidelity simulation and scenarios with standardized patients.在院前急救医学培训中,使用重复的高保真模拟和标准化病人场景时,皮质醇和α-淀粉酶作为应激反应指标。
Scand J Trauma Resusc Emerg Med. 2015 Apr 8;23:31. doi: 10.1186/s13049-015-0110-6.
8
Industrial noise exposure and salivary cortisol in blue collar industrial workers.蓝领产业工人的工业噪声暴露与唾液皮质醇
Noise Health. 2012 Jul-Aug;14(59):184-9. doi: 10.4103/1463-1741.99894.
9
The hyporeactivity of salivary cortisol at stress test (TSST-C) in children with internalizing or externalizing disorders is contrastively associated with α-amylase.内化或外化障碍儿童在应激测试(TSST-C)中唾液皮质醇反应低下与α-淀粉酶存在对比关联。
J Psychiatr Res. 2015 Dec;71:78-88. doi: 10.1016/j.jpsychires.2015.09.013. Epub 2015 Sep 30.
10
Habitual sleep quality and diurnal rhythms of salivary cortisol and dehydroepiandrosterone in postmenopausal women.绝经后女性的习惯性睡眠质量以及唾液皮质醇和脱氢表雄酮的昼夜节律
Psychoneuroendocrinology. 2017 Oct;84:172-180. doi: 10.1016/j.psyneuen.2017.07.484. Epub 2017 Jul 19.

引用本文的文献

1
Cortisol levels and perceived stress in emergency call operators.急诊电话接线员的皮质醇水平与感知压力
Front Public Health. 2025 Jun 3;13:1539516. doi: 10.3389/fpubh.2025.1539516. eCollection 2025.
2
Health and Social Care Professionals' Experience of Psychological Safety Within Their Occupational Setting: A Thematic Synthesis Review.医疗和社会护理专业人员在其职业环境中的心理安全感体验:一项主题综合综述
Nurs Rep. 2025 Apr 14;15(4):131. doi: 10.3390/nursrep15040131.
3
Factors Influencing Occupational Stress Perceived by Emergency Nurses During Prehospital Care: A Systematic Review.

本文引用的文献

1
Salivary Biomarkers of Stress, Anxiety and Depression.压力、焦虑和抑郁的唾液生物标志物
J Clin Med. 2021 Feb 1;10(3):517. doi: 10.3390/jcm10030517.
2
Current methods for stress marker detection in saliva.唾液中应激标志物的检测方法。
J Pharm Biomed Anal. 2020 Nov 30;191:113604. doi: 10.1016/j.jpba.2020.113604. Epub 2020 Sep 6.
3
Acute provider stress in high stakes medical care: Implications for trauma surgeons.高风险医疗护理中的急性提供者压力:对创伤外科医生的影响。
影响急诊护士院前护理职业压力感知的因素:一项系统综述
Psychol Res Behav Manag. 2024 Feb 13;17:501-528. doi: 10.2147/PRBM.S455224. eCollection 2024.
4
Excessive Noise in Neonatal Units and the Occupational Stress Experienced by Healthcare Professionals: An Assessment of Burnout and Measurement of Cortisol Levels.新生儿病房中的过度噪音与医护人员所经历的职业压力:倦怠评估及皮质醇水平测量
Healthcare (Basel). 2023 Jul 12;11(14):2002. doi: 10.3390/healthcare11142002.
5
Salivary cortisol, dehydroepiandrosterone, and chromogranin A levels in patients with gingivitis and periodontitis and a novel biomarker for psychological stress.牙龈炎和牙周炎患者的唾液皮质醇、脱氢表雄酮和嗜铬粒蛋白 A 水平以及心理应激的新型生物标志物。
Front Endocrinol (Lausanne). 2023 Apr 11;14:1147739. doi: 10.3389/fendo.2023.1147739. eCollection 2023.
6
Relationship between Strength and Professional Quality of Life of Nurses Working Hospital Emergency Departments.护士在医院急诊部门的工作强度与专业生活质量之间的关系。
Int J Environ Res Public Health. 2023 Jan 22;20(3):2052. doi: 10.3390/ijerph20032052.
7
The association between circadian rhythm of cortisol and shift work regularity among midwives-A multicenter study in Southeast China.皮质醇昼夜节律与助产士轮班工作规律的关系:中国东南部的一项多中心研究。
Front Public Health. 2022 Sep 27;10:965872. doi: 10.3389/fpubh.2022.965872. eCollection 2022.
8
Professional Quality of Life of Healthcare Workers in Hospital Emergency Departments.医院急诊科医护人员的职业生活质量
Behav Sci (Basel). 2022 Jun 13;12(6):188. doi: 10.3390/bs12060188.
9
Variations in Salivary Stress Biomarkers and Their Relationship with Anxiety, Self-Efficacy and Sleeping Quality in Emergency Health Care Professionals.唾液应激生物标志物的变化及其与急诊医护人员焦虑、自我效能感和睡眠质量的关系。
Int J Environ Res Public Health. 2021 Sep 2;18(17):9277. doi: 10.3390/ijerph18179277.
J Trauma Acute Care Surg. 2020 Mar;88(3):440-445. doi: 10.1097/TA.0000000000002565.
4
Salivary Alpha-Amylase as a Biomarker of Stress in Behavioral Medicine.唾液α-淀粉酶作为行为医学应激的生物标志物。
Int J Behav Med. 2020 Jun;27(3):337-342. doi: 10.1007/s12529-019-09843-x.
5
The human stress response.人类应激反应。
Nat Rev Endocrinol. 2019 Sep;15(9):525-534. doi: 10.1038/s41574-019-0228-0. Epub 2019 Jun 27.
6
Prevalence of Depression and Personality Disorders in the Beginning and End of Emergency Medicine Residency Program; a Prospective Cross Sectional Study.急诊医学住院医师培训项目开始和结束时抑郁症及人格障碍的患病率;一项前瞻性横断面研究。
Arch Acad Emerg Med. 2019 Jan 25;7(1):e5. eCollection 2019 Winter.
7
Psychobiological stress in vital exhaustion. Findings from the Men Stress 40+ study.慢性疲劳综合征中的心理生物学应激。来自男性压力 40+研究的结果。
J Psychosom Res. 2018 Feb;105:14-20. doi: 10.1016/j.jpsychores.2017.11.019. Epub 2017 Dec 2.
8
Stress and salivary cortisol in emergency medical dispatchers: A randomized shifts control trial.急诊医疗调度员的压力与唾液皮质醇:一项随机轮班对照试验。
PLoS One. 2017 May 15;12(5):e0177094. doi: 10.1371/journal.pone.0177094. eCollection 2017.
9
Salivary cortisol and α-amylase: subclinical indicators of stress as cardiometabolic risk.唾液皮质醇和α-淀粉酶:作为心脏代谢风险的应激亚临床指标。
Braz J Med Biol Res. 2017 Feb 6;50(2):e5577. doi: 10.1590/1414-431X20165577.
10
Coping behavior and risk and resilience stress factors in French regional emergency medicine unit workers: a cross-sectional survey.法国地区急诊科医护人员的应对行为、风险及心理弹性应激因素:一项横断面调查。
J Med Life. 2016 Oct-Dec;9(4):363-368.