Suppr超能文献

连翘叶中环磷酸腺苷磷酸二酯酶 4 抑制剂连翘脂苷的生物学效应。

The Biological Effects of Forsythia Leaves Containing the Cyclic AMP Phosphodiesterase 4 Inhibitor Phillyrin.

机构信息

Faculty of Pharmaceutical Sciences, Health Sciences University of Hokkaido, Ishikari-Tobetsu, Hokkaido 061-0293, Japan.

Faculty of Health and Sport, Nagoya Gakuin University, 1350 Kamishinano, Seto, Aichi 480-1298, Japan.

出版信息

Molecules. 2021 Apr 19;26(8):2362. doi: 10.3390/molecules26082362.

Abstract

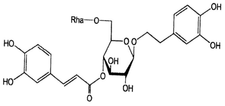
Forsythia fruit ( Vahl (Oleaceae)) is a common component of Kampo medicines for treating the common cold, influenza, and allergies. The main polyphenolic compounds in the leaves of are pinoresinol β-d-glucoside, phillyrin and forsythiaside, and their levels are higher in the leaves of the plant than in the fruit. It is known that polyphenolic compounds stimulate lipid catabolism in the liver and suppress dyslipidemia, thereby attenuating diet-induced obesity and polyphenolic anti-oxidants might attenuate obesity in animals consuming high-fat diets. Recently, phillyrin was reported as a novel cyclic AMP phosphodiesterase 4 (PDE4) inhibitor derived from forsythia fruit. It was expected that the leaves of might display anti-obesity effects and serve as a health food material. In this review, we summarized our studies on the biological effects of forsythia leaves containing phillyrin and other polyphenolic compounds, particularly against obesity, atopic dermatitis, and influenza A virus infection, and its potential as a phytoestrogen.

摘要

连翘果(木樨科连翘属)是一种常用于治疗感冒、流感和过敏的汉方药的常见成分。连翘叶中的主要多酚类化合物是松脂醇 β-D-葡萄糖苷、连翘酯苷和连翘苷,其含量高于果实。已知多酚类化合物可刺激肝脏中的脂质分解,并抑制血脂异常,从而减轻饮食诱导的肥胖,多酚类抗氧化剂可能会减轻高脂饮食动物的肥胖。最近,从连翘果中报道了一种新型环磷酸腺苷磷酸二酯酶 4(PDE4)抑制剂——连翘酯苷。预计含有连翘酯苷和其他多酚类化合物的连翘叶可能具有抗肥胖作用,并可作为一种健康食品材料。在这篇综述中,我们总结了我们关于连翘叶的生物学效应的研究,特别是针对肥胖、特应性皮炎和甲型流感病毒感染,以及其作为植物雌激素的潜力。

https://cdn.ncbi.nlm.nih.gov/pmc/blobs/443e/8073696/0d6f95661dfa/molecules-26-02362-g001.jpg

文献检索

告别复杂PubMed语法,用中文像聊天一样搜索,搜遍4000万医学文献。AI智能推荐,让科研检索更轻松。

立即免费搜索

文件翻译

保留排版,准确专业,支持PDF/Word/PPT等文件格式,支持 12+语言互译。

免费翻译文档

深度研究

AI帮你快速写综述,25分钟生成高质量综述,智能提取关键信息,辅助科研写作。

立即免费体验