Eichhorn Florian, Kriegsmann Mark, Klotz Laura V, Kriegsmann Katharina, Muley Thomas, Zgorzelski Christiane, Christopoulos Petros, Winter Hauke, Eichhorn Martin E
Department of Thoracic Surgery, Thoraxklinik, Heidelberg University, 69117 Heidelberg, Germany.
Translational Lung Research Center, German Center for Lung Disease (DZL), 69120 Heidelberg, Germany.
Cancers (Basel). 2021 Apr 23;13(9):2046. doi: 10.3390/cancers13092046.
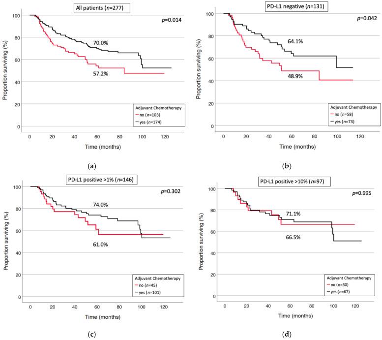
The programmed death-ligand 1 (PD-L1) plays a crucial role in immunomodulatory treatment concepts for end-stage non-small cell lung cancer (NSCLC). To date, its prognostic significance in patients with curative surgical treatment but regional nodal metastases, reflecting tumor spread beyond the primary site, is unclear. We evaluated the prognostic impact of PD-L1 expression in a surgical cohort of 277 consecutive patients with pN1 NSCLC on a tissue microarray. Patients with PD-L1 staining (clone SP263) on >1% of tumor cells were defined as PD-L1 positive. Tumor-specific survival (TSS) of the entire cohort was 64% at five years. Low tumor stage ( < 0.0001) and adjuvant therapy ( = 0.036) were identified as independent positive prognostic factors in multivariate analysis for TSS. PD-L1 negative patients had a significantly better survival following adjuvant chemotherapy than PD-L1 positive patients. The benefit of adjuvant therapy diminished in patients with PD-L1 expression in more than 10% of tumor cells. Stratification towards histologic subtype identified PD-L1 as a significant positive predictive factor for TSS after adjuvant therapy in patients with adenocarcinoma, but not squamous cell carcinoma. Routine PD-L1 assessment in curative intent treatment may help to identify patients with a better prognosis. Further research is needed to elucidate the predictive value of PD-L1 in an adjuvant setting.
程序性死亡配体1(PD-L1)在晚期非小细胞肺癌(NSCLC)的免疫调节治疗概念中起着关键作用。迄今为止,其在接受根治性手术治疗但有区域淋巴结转移(反映肿瘤扩散至原发部位以外)的患者中的预后意义尚不清楚。我们在一个组织芯片上评估了277例连续的pN1期NSCLC手术队列中PD-L1表达的预后影响。肿瘤细胞上PD-L1染色(克隆号SP263)>1%的患者被定义为PD-L1阳性。整个队列的肿瘤特异性生存率(TSS)在5年时为64%。在TSS的多因素分析中,低肿瘤分期(<0.0001)和辅助治疗(=0.036)被确定为独立的阳性预后因素。PD-L1阴性患者辅助化疗后的生存率明显高于PD-L1阳性患者。在肿瘤细胞中PD-L1表达超过10%的患者中,辅助治疗的益处减弱。根据组织学亚型分层发现,PD-L1是腺癌患者辅助治疗后TSS的显著阳性预测因素,但不是鳞状细胞癌的阳性预测因素。在根治性治疗中常规评估PD-L1可能有助于识别预后较好的患者。需要进一步研究以阐明PD-L1在辅助治疗中的预测价值。