Suppr超能文献

单次摄入海藻糖可通过有效利用葡萄糖和脂质提高健康男性的长时间运动表现。

Single Ingestion of Trehalose Enhances Prolonged Exercise Performance by Effective Use of Glucose and Lipid in Healthy Men.

机构信息

Department of Applied Food Science, Higashiosaka Junior College, 3-1-1, Nishidutsumigakuen-cho, Higashiosaka, Osaka 577-8567, Japan.

Faculty of Health and Well-Being, Kansai University, 1-11-1, Kaorigaoka-cho, Sakai-ku, Sakai, Osaka 590-8515, Japan.

出版信息

Nutrients. 2021 Apr 24;13(5):1439. doi: 10.3390/nu13051439.

Abstract

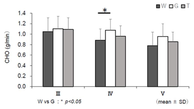
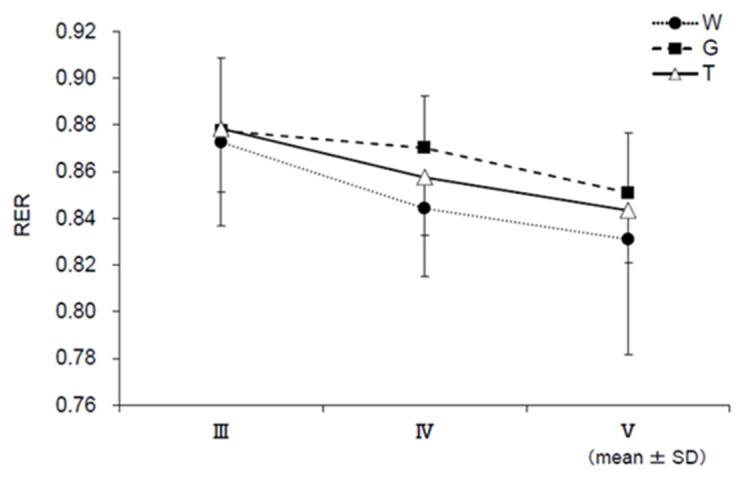
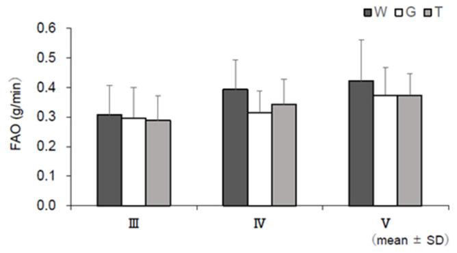
Trehalose increases blood glucose levels slowly and induces a slight insulin response. The present study aimed to study the effect of trehalose on prolonged exercise performance. The participants were 12 healthy men (age: 21.3 ± 0.9 y). After an overnight fast (12 h), they first exercised with a constant load (intensity: 40% V˙Opeak) for 60 min using a bicycle ergometer. They continued to exercise with a constant load (40% V˙Opeak) for 30 min between four sets of the 30-s Wingate test. After the 1st set, each participant ingested 500 mL water (control), 8% glucose, or 8% trehalose in three trials. These three trials were at least one week apart and were conducted in a double-blind and randomized crossover manner. Blood was collected for seven biochemical parameters at 12 time points during the experiment. The area under the curve of adrenaline after ingestion of trehalose was significantly lower than that for water and tended to be lower than that for glucose in the later stage of the exercise. Lower secretion of adrenaline after a single dose of 8% trehalose during prolonged exercise reflected the preservation of carbohydrates in the body in the later stage of the exercise. In conclusion, a single ingestion of trehalose helped to maintain prolonged exercise performance.

摘要

海藻糖缓慢升高血糖水平,并引起轻微的胰岛素反应。本研究旨在研究海藻糖对长时间运动表现的影响。参与者为 12 名健康男性(年龄:21.3 ± 0.9 岁)。禁食 12 小时后,他们首先使用自行车测功计以恒定负荷(强度:40% V˙Opeak)进行 60 分钟的运动。他们在四组 30 秒的瓦格纳测试之间继续以恒定负荷(40% V˙Opeak)运动 30 分钟。第 1 组运动后,每位参与者在三个试验中分别摄入 500 mL 水(对照)、8%葡萄糖或 8%海藻糖。这三个试验至少相隔一周,并以双盲和随机交叉方式进行。在实验过程中,共采集了 7 个生化参数在 12 个时间点的血液样本。摄入海藻糖后肾上腺素的曲线下面积明显低于水,在运动后期也趋于低于葡萄糖。单次摄入 8%海藻糖后肾上腺素分泌减少反映了在运动后期体内碳水化合物的保存。总之,单次摄入海藻糖有助于维持长时间运动表现。

https://cdn.ncbi.nlm.nih.gov/pmc/blobs/acd7/8145241/db3f75d54202/nutrients-13-01439-g002.jpg

文献AI研究员

20分钟写一篇综述,助力文献阅读效率提升50倍。

立即体验

用中文搜PubMed

大模型驱动的PubMed中文搜索引擎

马上搜索

文档翻译

学术文献翻译模型,支持多种主流文档格式。

立即体验