Translational and Clinical Research Institute, Biomedical Research Building, Campus for Ageing & Vitality, Newcastle University, Newcastle upon Tyne NE4 5PL, UK.
NIHR Newcastle Biomedical Research Centre, Faculty of Medical Sciences, Newcastle University and Newcastle upon Tyne Hospitals NHS Foundation Trust.
Age Ageing. 2021 Sep 11;50(5):1675-1681. doi: 10.1093/ageing/afab068.
Acute hospitalisation and delirium have individually been shown to adversely affect trajectories of cognitive decline but have not previously been considered together. This work aimed to explore the impact on cognition of hospital admission with and without delirium, compared to a control group with no hospital admissions.
The Delirium and Cognitive Impact in Dementia (DECIDE) study was nested within the Cognitive Function and Ageing Study II (CFAS II)-Newcastle cohort. CFAS II participants completed two baseline interviews, including the Mini-Mental State Examination (MMSE). During 2016, surviving participants from CFAS II-Newcastle were recruited to DECIDE on admission to hospital. Participants were reviewed daily to determine delirium status.During 2017, all DECIDE participants and age, sex and years of education matched controls without hospital admissions during 2016 were invited to repeat the CFAS II interview. Delirium was excluded in the control group using the Informant Assessment of Geriatric Delirium Scale (i-AGeD). Linear mixed effects modelling determined predictors of cognitive decline.
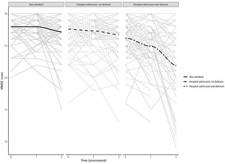
During 2016, 82 of 205 (40%) DECIDE participants had at least one episode of delirium. At 1 year, 135 of 205 hospitalised participants completed an interview along with 100 controls. No controls experienced delirium (i-AGeD>4). Delirium was associated with a faster rate of cognitive decline compared to those without delirium (β = -2.2, P < 0.001), but number of hospital admissions was not (P = 0.447).
These results suggest that delirium during hospitalisation rather than hospitalisation per se is a risk factor for future cognitive decline, emphasising the need for dementia prevention studies that focus on delirium intervention.
急性住院和谵妄均已被证明会对认知下降轨迹产生不利影响,但以前并未同时考虑过这两个因素。本研究旨在探讨伴有和不伴有谵妄的住院对认知的影响,并与无住院史的对照组进行比较。
“痴呆和谵妄认知影响(DECIDE)”研究嵌套在“认知功能和衰老研究 II(CFAS II)-纽卡斯尔队列”中。CFAS II 参与者完成了两次基线访谈,包括简易精神状态检查(MMSE)。2016 年,CFAS II-纽卡斯尔的存活参与者被招募入 DECIDE 进行住院评估。每天对参与者进行评估以确定谵妄状态。2017 年,所有 DECIDE 参与者和年龄、性别和受教育年限匹配且在 2016 年无住院史的对照组被邀请重复 CFAS II 访谈。在对照组中使用老年谵妄评估者评估量表(i-AGeD)排除谵妄。线性混合效应模型确定了认知下降的预测因素。
2016 年,82 名 DECIDE 参与者(40%)至少发生了一次谵妄。在 1 年时,205 名住院参与者中有 135 名完成了访谈,同时还有 100 名对照组参与者完成了访谈。对照组中没有发生谵妄(i-AGeD>4)。与无谵妄组相比,谵妄组的认知下降速度更快(β=-2.2,P<0.001),而住院次数与认知下降无相关性(P=0.447)。
这些结果表明,住院期间发生谵妄而不是住院本身是未来认知下降的危险因素,这强调了需要开展以谵妄干预为重点的痴呆预防研究。