• 文献检索
  • 文档翻译
  • 深度研究
  • 学术资讯
  • Suppr Zotero 插件Zotero 插件
  • 邀请有礼
  • 套餐&价格
  • 历史记录
应用&插件
Suppr Zotero 插件Zotero 插件浏览器插件Mac 客户端Windows 客户端微信小程序
定价
高级版会员购买积分包购买API积分包
服务
文献检索文档翻译深度研究API 文档MCP 服务
关于我们
关于 Suppr公司介绍联系我们用户协议隐私条款
关注我们

Suppr 超能文献

核心技术专利:CN118964589B侵权必究
粤ICP备2023148730 号-1Suppr @ 2026

文献检索

告别复杂PubMed语法,用中文像聊天一样搜索,搜遍4000万医学文献。AI智能推荐,让科研检索更轻松。

立即免费搜索

文件翻译

保留排版,准确专业,支持PDF/Word/PPT等文件格式,支持 12+语言互译。

免费翻译文档

深度研究

AI帮你快速写综述,25分钟生成高质量综述,智能提取关键信息,辅助科研写作。

立即免费体验

基于掺杂聚二甲基硅氧烷的压电超声换能器设计

Design of Piezoelectric Ultrasonic Transducer Based on Doped PDMS.

作者信息

Yang Ran, Liu Wenyi, Gao Wanjia, Kang Dingwei

机构信息

Key Laboratory of Instrumentation Science & Dynamic Measurement, Ministry of Education, North University of China, Taiyuan 030051, China.

出版信息

Sensors (Basel). 2021 Apr 30;21(9):3123. doi: 10.3390/s21093123.

DOI:10.3390/s21093123
PMID:33946276
原文链接:https://pmc.ncbi.nlm.nih.gov/articles/PMC8124376/
Abstract

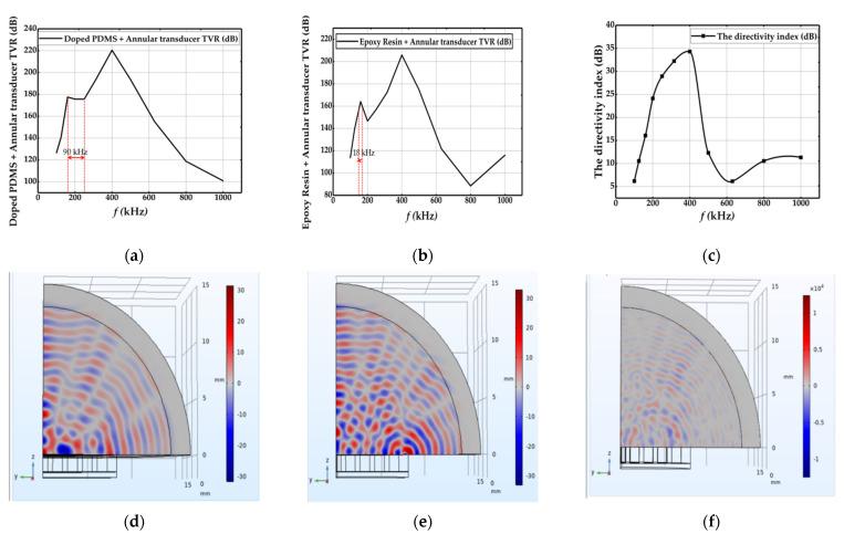
The performance of the ultrasonic transducer will directly affect the accuracy of ultrasonic experimental measurement. Therefore, in order to meet the requirements of a wide band, a kind of annular 2-2-2 piezoelectric composite is proposed based on doped PDMS. In this paper, the transducer structure consisted of PZT-5A piezoelectric ceramics and PDMS doped with 3 wt.% AlO:SiO (1:6) powder, which constituted the piezoelectric composite. MATLAB and COMSOL software were used for simulation. Meanwhile, the electrode materials were selected. Then, the performance of the designed annular 2-2-2 ultrasonic transducer was tested. The simulation results show that when the polymer phase material of the piezoelectric ultrasonic transducer is doped PDMS, the piezoelectric phase and the ceramic substrate account for 70% of the total volume, the polymer phase accounts for 30% of the total volume, and the maximum frequency band width can reach 90 kHz. The experimental results show that the maximum bandwidth of -3 dB can reach 104 kHz when the frequency is 160 kHz. The results of the electrode test show that the use of Cu/Ti electrode improves the electrical conductivity of the single electrode. In this paper, the annular 2-2-2 transducer designed in the case of small volume had the characteristics of a wide frequency band, which was conducive to the miniaturization and integration of the transducer. Therefore, we believe that the annular 2-2-2 piezoelectric composite has broad application prospects.

摘要

超声换能器的性能将直接影响超声实验测量的准确性。因此,为了满足宽频带的要求,提出了一种基于掺杂聚二甲基硅氧烷(PDMS)的环形2-2-2型压电复合材料。本文中,换能器结构由PZT-5A压电陶瓷和掺杂了3 wt.% AlO:SiO(1:6)粉末的PDMS组成,二者构成压电复合材料。使用MATLAB和COMSOL软件进行仿真。同时,选择电极材料。然后,对所设计的环形2-2-2型超声换能器的性能进行测试。仿真结果表明,当压电超声换能器的聚合物相材料为掺杂PDMS时,压电相和陶瓷基底占总体积的70%,聚合物相占总体积的30%,最大频带宽度可达90 kHz。实验结果表明,在频率为160 kHz时,-3 dB的最大带宽可达104 kHz。电极测试结果表明,使用Cu/Ti电极提高了单电极的电导率。本文所设计的小体积环形2-2-2型换能器具有宽频带特性,有利于换能器的小型化和集成化。因此,我们认为环形2-2-2型压电复合材料具有广阔的应用前景。

https://cdn.ncbi.nlm.nih.gov/pmc/blobs/bd1c/8124376/bdaa44b9a0f0/sensors-21-03123-g008.jpg
https://cdn.ncbi.nlm.nih.gov/pmc/blobs/bd1c/8124376/69a2e2eb288d/sensors-21-03123-g001.jpg
https://cdn.ncbi.nlm.nih.gov/pmc/blobs/bd1c/8124376/c97f2d952268/sensors-21-03123-g002.jpg
https://cdn.ncbi.nlm.nih.gov/pmc/blobs/bd1c/8124376/be7866cce511/sensors-21-03123-g003.jpg
https://cdn.ncbi.nlm.nih.gov/pmc/blobs/bd1c/8124376/c142c2ac10c5/sensors-21-03123-g004.jpg
https://cdn.ncbi.nlm.nih.gov/pmc/blobs/bd1c/8124376/e1d90de4d6ce/sensors-21-03123-g005.jpg
https://cdn.ncbi.nlm.nih.gov/pmc/blobs/bd1c/8124376/acd98fd26938/sensors-21-03123-g006.jpg
https://cdn.ncbi.nlm.nih.gov/pmc/blobs/bd1c/8124376/a0bcb6674c99/sensors-21-03123-g007.jpg
https://cdn.ncbi.nlm.nih.gov/pmc/blobs/bd1c/8124376/bdaa44b9a0f0/sensors-21-03123-g008.jpg
https://cdn.ncbi.nlm.nih.gov/pmc/blobs/bd1c/8124376/69a2e2eb288d/sensors-21-03123-g001.jpg
https://cdn.ncbi.nlm.nih.gov/pmc/blobs/bd1c/8124376/c97f2d952268/sensors-21-03123-g002.jpg
https://cdn.ncbi.nlm.nih.gov/pmc/blobs/bd1c/8124376/be7866cce511/sensors-21-03123-g003.jpg
https://cdn.ncbi.nlm.nih.gov/pmc/blobs/bd1c/8124376/c142c2ac10c5/sensors-21-03123-g004.jpg
https://cdn.ncbi.nlm.nih.gov/pmc/blobs/bd1c/8124376/e1d90de4d6ce/sensors-21-03123-g005.jpg
https://cdn.ncbi.nlm.nih.gov/pmc/blobs/bd1c/8124376/acd98fd26938/sensors-21-03123-g006.jpg
https://cdn.ncbi.nlm.nih.gov/pmc/blobs/bd1c/8124376/a0bcb6674c99/sensors-21-03123-g007.jpg
https://cdn.ncbi.nlm.nih.gov/pmc/blobs/bd1c/8124376/bdaa44b9a0f0/sensors-21-03123-g008.jpg

相似文献

1
Design of Piezoelectric Ultrasonic Transducer Based on Doped PDMS.基于掺杂聚二甲基硅氧烷的压电超声换能器设计
Sensors (Basel). 2021 Apr 30;21(9):3123. doi: 10.3390/s21093123.
2
Design and Fabrication of Annular-Array Ultrasound Transducer Based (K, Na) NbO Lead-Free 1-3 Piezoelectric Composite.基于环形阵列超声换能器的(钾钠)铌酸盐无铅1-3型压电复合材料的设计与制造
IEEE Trans Ultrason Ferroelectr Freq Control. 2024 Jan;71(1):38-45. doi: 10.1109/TUFFC.2023.3303396. Epub 2024 Jan 9.
3
Design and Fabrication of a Stacked Three-Phase Piezoelectric Composites Ring Array Underwater Ultrasound Transducer.水下超声换能器中堆叠式三相压电复合材料环形阵列的设计与制造
Materials (Basel). 2021 Oct 11;14(20):5971. doi: 10.3390/ma14205971.
4
Analysis of a Cascaded Piezoelectric Ultrasonic Transducer with Three Sets of Piezoelectric Ceramic Stacks.三组压电陶瓷堆叠的级联压电超声换能器分析。
Sensors (Basel). 2019 Jan 30;19(3):580. doi: 10.3390/s19030580.
5
High-performance ultrasonic transducer based on PZT piezoelectric ceramic for high-temperature NDE.基于 PZT 压电陶瓷的高温无损检测用高性能超声换能器。
Ultrasonics. 2023 Jul;132:107013. doi: 10.1016/j.ultras.2023.107013. Epub 2023 Apr 15.
6
Air-coupled ultrasonic transducer based on lead-free piezoceramics prepared by digital light processing 3D printing.基于数字光处理3D打印制备的无铅压电陶瓷的空气耦合超声换能器。
Ultrasonics. 2024 Sep;143:107429. doi: 10.1016/j.ultras.2024.107429. Epub 2024 Aug 8.
7
Tailoring the Microstructure and Porosity of Porous Piezoelectric Ceramics for Ultrasonic Transducer Application.定制用于超声换能器应用的多孔压电陶瓷的微观结构和孔隙率。
ACS Appl Mater Interfaces. 2024 Oct 7. doi: 10.1021/acsami.4c11303.
8
Research on Inherent Frequency and Vibration Characteristics of Sandwich Piezoelectric Ceramic Transducer.夹心压电陶瓷换能器固有频率及振动特性研究。
Sensors (Basel). 2022 Dec 2;22(23):9431. doi: 10.3390/s22239431.
9
Flexible ultrasonic transducers.柔性超声换能器。
IEEE Trans Ultrason Ferroelectr Freq Control. 2006 Aug;53(8):1478-86. doi: 10.1109/tuffc.2006.1665105.
10
Design considerations for piezoelectric polymer ultrasound transducers.压电聚合物超声换能器的设计考量
IEEE Trans Ultrason Ferroelectr Freq Control. 2000;47(6):1377-96. doi: 10.1109/58.883527.

引用本文的文献

1
FPCB as an Acoustic Matching Layer for 1D Linear Ultrasound Transducer Arrays.FPCB 作为一维线性超声换能器阵列的声匹配层。
Sensors (Basel). 2022 Jul 25;22(15):5557. doi: 10.3390/s22155557.

本文引用的文献

1
Mixing high-viscosity fluids via acoustically driven bubbles.通过声驱动气泡混合高粘度流体。
J Micromech Microeng. 2017;27(1). Epub 2016 Oct 25.
2
Microscale capillary wave turbulence excited by high frequency vibration.高频振动激发的微尺度毛细波湍流。
Langmuir. 2013 Mar 19;29(11):3835-45. doi: 10.1021/la304608a. Epub 2013 Mar 7.
3
Micromachined high frequency PMN-PT/epoxy 1-3 composite ultrasonic annular array.微机械高频 PMN-PT/环氧 1-3 复合超声环形阵列。
Ultrasonics. 2012 Apr;52(4):497-502. doi: 10.1016/j.ultras.2011.11.001. Epub 2011 Nov 11.
4
Short-range ultrasonic communications in air using quadrature modulation.使用正交调制的空气中短距离超声通信。
IEEE Trans Ultrason Ferroelectr Freq Control. 2009 Oct;56(10):2060-72. doi: 10.1109/TUFFC.2009.1289.
5
Modeling 1-3 composite piezoelectrics: thickness-mode oscillations.模拟1-3复合压电材料:厚度模式振荡。
IEEE Trans Ultrason Ferroelectr Freq Control. 1991;38(1):40-7. doi: 10.1109/58.67833.
6
Modeling 1-3 composite piezoelectrics: hydrostatic response.模拟1-3型复合压电材料:流体静压响应。
IEEE Trans Ultrason Ferroelectr Freq Control. 1993;40(1):41-9. doi: 10.1109/58.184997.
7
Design and fabrication of annular arrays for high-frequency ultrasound.用于高频超声的环形阵列的设计与制造。
IEEE Trans Ultrason Ferroelectr Freq Control. 2004 Aug;51(8):1010-7. doi: 10.1109/tuffc.2004.1324405.
8
Liquid level sensor using ultrasonic Lamb waves.使用超声兰姆波的液位传感器。
Ultrasonics. 2003 Jun;41(4):319-22. doi: 10.1016/s0041-624x(02)00459-6.