Urbancova Petra, Pudis Dusan, Goraus Matej, Kovac Jaroslav
Department of Physics, Faculty of Electrical Engineering and Information Technology, University of Zilina, Univerzitna 1, 01026 Zilina, Slovakia.
Institute of Electronics and Photonics, Faculty of Electrical Engineering and Information Technology, Slovak University of Technology in Bratislava, Ilkovicova 3, 81219 Bratislava, Slovakia.
Nanomaterials (Basel). 2021 Apr 29;11(5):1163. doi: 10.3390/nano11051163.
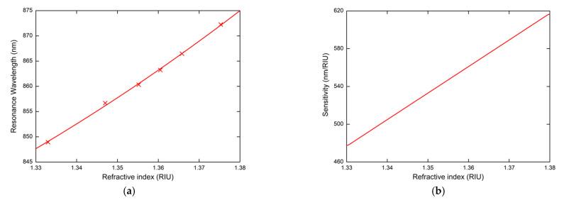
In this paper, we present a two-dimensional surface plasmon resonance structure for refractive index sensing of liquid analytes. The polymer structure was designed with a period of 500 nm and prepared in a novel IP-Dip polymer by direct laser writing lithography based on a mechanism of two-photon absorption. The sample with a set of prepared IP-Dip structures was coated by 40 nm thin gold layer. The sample was encapsulated into a prototyped chip with inlet and outlet. The sensing properties were investigated by angular measurement using the prepared solutions of isopropyl alcohol in deionized water of different concentrations. Sensitivity of 478-617 nm per refractive index unit was achieved in angular arrangement at external angle of incidence of 20°.
在本文中,我们展示了一种用于液体分析物折射率传感的二维表面等离子体共振结构。该聚合物结构的设计周期为500纳米,并通过基于双光子吸收机制的直接激光写入光刻技术,在一种新型的IP-Dip聚合物中制备而成。带有一组制备好的IP-Dip结构的样品被涂上了40纳米厚的金层。该样品被封装到一个带有入口和出口的原型芯片中。使用不同浓度的异丙醇在去离子水中制备的溶液,通过角度测量来研究传感特性。在20°的外入射角的角度配置下,实现了每折射率单位478 - 617纳米的灵敏度。