• 文献检索
  • 文档翻译
  • 深度研究
  • 学术资讯
  • Suppr Zotero 插件Zotero 插件
  • 邀请有礼
  • 套餐&价格
  • 历史记录
应用&插件
Suppr Zotero 插件Zotero 插件浏览器插件Mac 客户端Windows 客户端微信小程序
定价
高级版会员购买积分包购买API积分包
服务
文献检索文档翻译深度研究API 文档MCP 服务
关于我们
关于 Suppr公司介绍联系我们用户协议隐私条款
关注我们

Suppr 超能文献

核心技术专利:CN118964589B侵权必究
粤ICP备2023148730 号-1Suppr @ 2026

文献检索

告别复杂PubMed语法,用中文像聊天一样搜索,搜遍4000万医学文献。AI智能推荐,让科研检索更轻松。

立即免费搜索

文件翻译

保留排版,准确专业,支持PDF/Word/PPT等文件格式,支持 12+语言互译。

免费翻译文档

深度研究

AI帮你快速写综述,25分钟生成高质量综述,智能提取关键信息,辅助科研写作。

立即免费体验

1990 - 2017年拉脱维亚膀胱癌发病趋势:发病率、死亡率和生存率

Bladder cancer trends in Latvia during 1990-2017: incidence, mortality, and survival rates.

作者信息

Bitiņa-Barlote Ērika, Plonis Juris, Cauce Vinita, Vjaters Egils, Gardovskis Jānis, Miklaševičs Edvīns, Nakazawa-Miklaševiča Miki

机构信息

Rīga Stradiņš University, Institute of Oncology, Riga, Latvia.

Center of Urology, Pauls Stradiņš Clinical University Hospital, Riga, Latvia.

出版信息

Cent European J Urol. 2021;74(1):14-23. doi: 10.5173/ceju.2021.0266.R2. Epub 2021 Feb 18.

DOI:10.5173/ceju.2021.0266.R2
PMID:33976911
原文链接:https://pmc.ncbi.nlm.nih.gov/articles/PMC8097650/
Abstract

INTRODUCTION

The aim of this article was to evaluate bladder cancer (BC) incidence, mortality and survival trends in Latvia over the past 28 years.

MATERIAL AND METHODS

Our study included patients diagnosed with BC between 1990 and 2017. The data were obtained from the national population-based cancer registry. Joinpoint regression analysis was used to identify points where a significant change in incidence and mortality trends occurred, accordingly with the patient's gender and age. Relative survival (RS) was estimated by Ederer I and II methods.

RESULTS

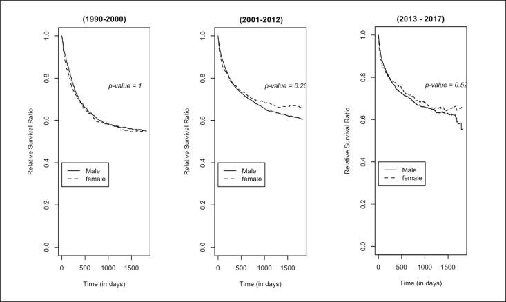
Altogether, 9589 patients with initial BC diagnosis were included in the study. The age-standardised (ASR) incidence rates (per 100,000) increased from 6.8 in 1990 to 12.5 in 2014 followed by a statistically insignificant decrease continuing up to 2017. The ASR BC mortality rates (per 100,000) also rose from 3.9 in 1990 to 4.4 in 2017. However, there was a decline in BC mortality trends in the age-group 40-59 with annual percentage change (APC) -1.1%. RS rates increased from 55.0 % in 1990-2000 to 59.0% in years 2013-2017.

CONCLUSIONS

This study revealed that the incidence and mortality rates have been gradually increasing over the past 28 years. The exception being cancer-specific mortality in the age group 40-59, which tends to decrease. Although the 5-year RS rates improved over the reviewed period, there is still plenty of room for improvement.

摘要

引言

本文旨在评估拉脱维亚过去28年膀胱癌(BC)的发病率、死亡率和生存趋势。

材料与方法

我们的研究纳入了1990年至2017年间被诊断为BC的患者。数据来自全国基于人群的癌症登记处。采用Joinpoint回归分析来确定发病率和死亡率趋势发生显著变化的时间点,并根据患者的性别和年龄进行分析。通过Ederer I和II方法估计相对生存率(RS)。

结果

该研究共纳入9589例初诊为BC的患者。年龄标准化发病率(每10万人)从1990年的6.8上升至2014年的12.5,随后在2017年之前出现统计学上不显著的下降。年龄标准化BC死亡率(每10万人)也从1990年的3.9升至2017年的4.4。然而,40 - 59岁年龄组的BC死亡率趋势有所下降,年变化百分比(APC)为 -1.1%。RS率从1990 - 2000年的55.0%升至2013 - 2017年的59.0%。

结论

本研究表明,在过去28年中,发病率和死亡率一直在逐渐上升。40 - 59岁年龄组的癌症特异性死亡率是个例外,呈下降趋势。尽管在回顾期内5年RS率有所提高,但仍有很大的改进空间。

https://cdn.ncbi.nlm.nih.gov/pmc/blobs/4816/8097650/b372c07f349f/CEJU-74-0266.R2-g009.jpg
https://cdn.ncbi.nlm.nih.gov/pmc/blobs/4816/8097650/c5ebbb9ac93b/CEJU-74-0266.R2-g001.jpg
https://cdn.ncbi.nlm.nih.gov/pmc/blobs/4816/8097650/25a3b70d5ac3/CEJU-74-0266.R2-g002.jpg
https://cdn.ncbi.nlm.nih.gov/pmc/blobs/4816/8097650/efe3de37dd88/CEJU-74-0266.R2-g003.jpg
https://cdn.ncbi.nlm.nih.gov/pmc/blobs/4816/8097650/1176b86b38e6/CEJU-74-0266.R2-g004.jpg
https://cdn.ncbi.nlm.nih.gov/pmc/blobs/4816/8097650/47a9dc7364a9/CEJU-74-0266.R2-g005.jpg
https://cdn.ncbi.nlm.nih.gov/pmc/blobs/4816/8097650/9c65e6495003/CEJU-74-0266.R2-g006.jpg
https://cdn.ncbi.nlm.nih.gov/pmc/blobs/4816/8097650/4e0bc6d28b93/CEJU-74-0266.R2-g007.jpg
https://cdn.ncbi.nlm.nih.gov/pmc/blobs/4816/8097650/56e0b6359493/CEJU-74-0266.R2-g008.jpg
https://cdn.ncbi.nlm.nih.gov/pmc/blobs/4816/8097650/b372c07f349f/CEJU-74-0266.R2-g009.jpg
https://cdn.ncbi.nlm.nih.gov/pmc/blobs/4816/8097650/c5ebbb9ac93b/CEJU-74-0266.R2-g001.jpg
https://cdn.ncbi.nlm.nih.gov/pmc/blobs/4816/8097650/25a3b70d5ac3/CEJU-74-0266.R2-g002.jpg
https://cdn.ncbi.nlm.nih.gov/pmc/blobs/4816/8097650/efe3de37dd88/CEJU-74-0266.R2-g003.jpg
https://cdn.ncbi.nlm.nih.gov/pmc/blobs/4816/8097650/1176b86b38e6/CEJU-74-0266.R2-g004.jpg
https://cdn.ncbi.nlm.nih.gov/pmc/blobs/4816/8097650/47a9dc7364a9/CEJU-74-0266.R2-g005.jpg
https://cdn.ncbi.nlm.nih.gov/pmc/blobs/4816/8097650/9c65e6495003/CEJU-74-0266.R2-g006.jpg
https://cdn.ncbi.nlm.nih.gov/pmc/blobs/4816/8097650/4e0bc6d28b93/CEJU-74-0266.R2-g007.jpg
https://cdn.ncbi.nlm.nih.gov/pmc/blobs/4816/8097650/56e0b6359493/CEJU-74-0266.R2-g008.jpg
https://cdn.ncbi.nlm.nih.gov/pmc/blobs/4816/8097650/b372c07f349f/CEJU-74-0266.R2-g009.jpg

相似文献

1
Bladder cancer trends in Latvia during 1990-2017: incidence, mortality, and survival rates.1990 - 2017年拉脱维亚膀胱癌发病趋势:发病率、死亡率和生存率
Cent European J Urol. 2021;74(1):14-23. doi: 10.5173/ceju.2021.0266.R2. Epub 2021 Feb 18.
2
Prostate cancer trends in Latvia during 1990-2012: incidence, prevalence, mortality, and survival rates.1990 - 2012年拉脱维亚前列腺癌的发病趋势:发病率、患病率、死亡率和生存率。
Medicina (Kaunas). 2014;50(6):313-7. doi: 10.1016/j.medici.2014.11.002. Epub 2014 Nov 26.
3
Italian cancer figures, report 2012: Cancer in children and adolescents.《2012年意大利癌症数据报告:儿童和青少年癌症》
Epidemiol Prev. 2013 Jan-Feb;37(1 Suppl 1):1-225.
4
Comprehensive trends in incidence, treatment, survival and mortality of first primary invasive breast cancer stratified by age, stage and receptor subtype in the Netherlands between 1989 and 2017.1989 年至 2017 年荷兰按年龄、分期和受体亚型分层的首次原发性浸润性乳腺癌发病、治疗、生存和死亡率的综合趋势。
Int J Cancer. 2021 May 1;148(9):2289-2303. doi: 10.1002/ijc.33417. Epub 2020 Dec 16.
5
Renal cell carcinoma trends in Latvia: incidence, mortality, and survival rates. Population-based study.拉脱维亚肾细胞癌的趋势:发病率、死亡率和生存率。基于人群的研究。
Cent European J Urol. 2019;72(4):344-350. doi: 10.5173/ceju.2019.0018. Epub 2019 Nov 28.
6
Trends in incidence, mortality and survival of testicular cancer patients in Belarus.白俄罗斯睾丸癌患者的发病率、死亡率及生存率趋势
Cent European J Urol. 2019;72(4):357-368. doi: 10.5173/ceju.2019.0073. Epub 2019 Dec 30.
7
Secular trends in incidence and mortality of bladder cancer in China, 1990-2017: A joinpoint and age-period-cohort analysis.中国膀胱癌发病率和死亡率的 1990-2017 年的变化趋势:联合分析和年龄-时期-队列分析。
Cancer Epidemiol. 2019 Aug;61:95-103. doi: 10.1016/j.canep.2019.05.011. Epub 2019 Jun 6.
8
Prostate cancer incidence and mortality in Navarre (Spain).西班牙纳瓦拉地区的前列腺癌发病率和死亡率
An Sist Sanit Navar. 2018 Apr 30;41(1):9-15. doi: 10.23938/ASSN.0123.
9
Trends in the cause of death among patients with bladder cancer in the US SEER population, 1992-2018.美国监测、流行病学和最终结果数据库中 1992-2018 年膀胱癌患者死因趋势。
World J Urol. 2022 Jun;40(6):1497-1503. doi: 10.1007/s00345-022-03971-y. Epub 2022 Mar 2.
10
Incidence and Survival of urothelial carcinoma of the urinary bladder in Norway 1981-2014.1981 - 2014年挪威膀胱尿路上皮癌的发病率与生存率
BMC Cancer. 2016 Oct 13;16(1):799. doi: 10.1186/s12885-016-2832-x.

引用本文的文献

1
Bladder Cancer Mortality Trend in Montenegro: 1990-2021.黑山共和国1990 - 2021年膀胱癌死亡率趋势
Iran J Public Health. 2025 Feb;54(2):414-423.
2
ARSENIC IN DRINKING WATER AND URINE AND ITS RELATIONSHIP WITH MALIGNANT TUMORS OF URINARY TRACT IN OSIJEK-BARANJA COUNTY, CROATIA.水中砷与尿液及其与克罗地亚奥西耶克-巴拉尼亚县尿路恶性肿瘤的关系。
Acta Clin Croat. 2023 Jul;62(Suppl2):95-103. doi: 10.20471/acc.2023.62.s2.13.

本文引用的文献

1
Epidemiology of Bladder Cancer: A Systematic Review and Contemporary Update of Risk Factors in 2018.膀胱癌的流行病学:2018 年系统回顾和当代危险因素更新。
Eur Urol. 2018 Dec;74(6):784-795. doi: 10.1016/j.eururo.2018.09.001. Epub 2018 Sep 26.
2
Cancer incidence and mortality patterns in Europe: Estimates for 40 countries and 25 major cancers in 2018.欧洲癌症发病率和死亡率模式:2018 年 40 个国家和 25 种主要癌症的估计值。
Eur J Cancer. 2018 Nov;103:356-387. doi: 10.1016/j.ejca.2018.07.005. Epub 2018 Aug 9.
3
The global epidemiology of bladder cancer: a joinpoint regression analysis of its incidence and mortality trends and projection.
膀胱癌的全球流行病学:发病率和死亡率趋势的联合回归分析及预测。
Sci Rep. 2018 Jan 18;8(1):1129. doi: 10.1038/s41598-018-19199-z.
4
Underutilization of Radical Cystectomy Among Patients Diagnosed with Clinical Stage T2 Muscle-invasive Bladder Cancer.临床分期 T2 肌层浸润性膀胱癌患者根治性膀胱切除术的未充分利用。
Eur Urol Focus. 2017 Apr;3(2-3):258-264. doi: 10.1016/j.euf.2016.04.008. Epub 2016 May 13.
5
Global Burden of Urologic Cancers, 1990-2013.全球泌尿生殖系统癌症负担,1990-2013 年。
Eur Urol. 2017 Mar;71(3):437-446. doi: 10.1016/j.eururo.2016.10.008. Epub 2016 Oct 28.
6
Bladder Cancer Incidence and Mortality: A Global Overview and Recent Trends.膀胱癌发病率和死亡率:全球概述及最新趋势。
Eur Urol. 2017 Jan;71(1):96-108. doi: 10.1016/j.eururo.2016.06.010. Epub 2016 Jun 28.
7
Urothelial bladder cancer in young adults: Diagnosis, treatment and clinical behaviour.年轻成年人的尿路上皮膀胱癌:诊断、治疗及临床行为
Can Urol Assoc J. 2015 Sep-Oct;9(9-10):E727-30. doi: 10.5489/cuaj.3049. Epub 2015 Oct 13.
8
Cancer survival in Lithuania after the restoration of independence: rapid improvements, but persisting major gaps.立陶宛恢复独立后的癌症生存率:快速提高,但仍存在重大差距。
Acta Oncol. 2014 Sep;53(9):1238-44. doi: 10.3109/0284186X.2014.888495. Epub 2014 Mar 26.
9
Competing mortality in patients diagnosed with bladder cancer: evidence of undertreatment in the elderly and female patients.诊断为膀胱癌患者的竞争死亡率:老年患者和女性患者治疗不足的证据。
Br J Cancer. 2013 Apr 16;108(7):1534-40. doi: 10.1038/bjc.2013.106. Epub 2013 Mar 12.
10
Association between smoking and risk of bladder cancer among men and women.吸烟与男性和女性膀胱癌风险的关联。
JAMA. 2011 Aug 17;306(7):737-45. doi: 10.1001/jama.2011.1142.