Suppr超能文献

胰十二指肠切除术后胰瘘的预测列线图:一项回顾性研究。

Predictive nomogram for postoperative pancreatic fistula following pancreaticoduodenectomy: a retrospective study.

机构信息

Department of Pancreatic Surgery, Union Hospital, Tongji Medical College, Huazhong University of Science and Technology, Wuhan, 430022, China.

Department of Breast and Thyroid Surgery, Union Hospital, Tongji Medical College, Huazhong University of Science and Technology, Wuhan, 430022, China.

出版信息

BMC Cancer. 2021 May 15;21(1):550. doi: 10.1186/s12885-021-08201-z.

Abstract

BACKGROUND

Postoperative pancreatic fistula (POPF) represents the most common complication following pancreaticoduodenectomy (PD). Predictive models are needed to select patients with a high risk of POPF. This study was aimed to establish an effective predictive nomogram for POPF following PD.

METHODS

Consecutive patients who had undergone PD between January 2016 and May 2020 at a single institution were analysed retrospectively. A predictive nomogram was established based on a training cohort, and Lasso regression and multivariable logistic regression analysis were used to evaluate predictors. The predictive abilities of the predicting model were assessed for internal validation by the area under the receiver operating characteristic curve (AUC) and calibration plot using bootstrap resampling. The performance of the nomogram was compared with that of the currently used a-FRS model.

RESULTS

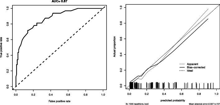
A total of 459 patients were divided into a training cohort (n = 302) and a validation cohort (n = 157). No significant difference was observed between the two groups with respect to clinicopathological characteristics. The POPF rate was 16.56%. The risk factors of POPF POPF were albumin difference, drain amylase value on postoperative day 1, pancreas texture, and BMI, which were all selected into a nomogram. Nomogram application revealed good discrimination (AUC = 0.87, 95% CI: 0.81-0.94, P <  0.001) as well as calibration abilities in the validation cohort. The predictive value of the nomogram was better than that of the a-FRS model (AUC: 0.87 vs 0.62, P <  0.001).

CONCLUSIONS

This predictive nomogram could be used to evaluate the individual risk of POPF in patients following PD, and albumin difference is a new, accessible predictor of POPF after PD.

TRIAL REGISTRATION

This study was registered in the Chinese Clinical Trial Register ( ChiCTR2000034435 ).

摘要

背景

胰十二指肠切除术(PD)后胰瘘(POPF)是最常见的并发症。需要预测模型来选择 POPF 风险高的患者。本研究旨在建立一种有效的 PD 后 POPF 预测列线图。

方法

回顾性分析 2016 年 1 月至 2020 年 5 月在一家单中心接受 PD 的连续患者。基于训练队列建立预测列线图,并使用 Lasso 回归和多变量逻辑回归分析评估预测因子。使用 bootstrap 重采样评估预测模型的内部验证能力,通过接收者操作特征曲线(AUC)下面积和校准图进行评估。比较列线图与当前使用的 a-FRS 模型的性能。

结果

共 459 例患者分为训练队列(n=302)和验证队列(n=157)。两组在临床病理特征方面无显著差异。POPF 发生率为 16.56%。POPF 的危险因素包括白蛋白差值、术后第 1 天引流淀粉酶值、胰腺质地和 BMI,这些均被选入列线图。列线图应用在验证队列中显示出良好的区分度(AUC=0.87,95%CI:0.81-0.94,P<0.001)和校准能力。列线图的预测价值优于 a-FRS 模型(AUC:0.87 与 0.62,P<0.001)。

结论

该预测列线图可用于评估 PD 后患者发生 POPF 的个体风险,白蛋白差值是 PD 后 POPF 的新的、可获得的预测因子。

试验注册

本研究在中国临床试验注册中心(ChiCTR2000034435)注册。

https://cdn.ncbi.nlm.nih.gov/pmc/blobs/70e3/8126152/dd873511a18f/12885_2021_8201_Fig1_HTML.jpg

文献检索

告别复杂PubMed语法,用中文像聊天一样搜索,搜遍4000万医学文献。AI智能推荐,让科研检索更轻松。

立即免费搜索

文件翻译

保留排版,准确专业,支持PDF/Word/PPT等文件格式,支持 12+语言互译。

免费翻译文档

深度研究

AI帮你快速写综述,25分钟生成高质量综述,智能提取关键信息,辅助科研写作。

立即免费体验