• 文献检索
  • 文档翻译
  • 深度研究
  • 学术资讯
  • Suppr Zotero 插件Zotero 插件
  • 邀请有礼
  • 套餐&价格
  • 历史记录
应用&插件
Suppr Zotero 插件Zotero 插件浏览器插件Mac 客户端Windows 客户端微信小程序
定价
高级版会员购买积分包购买API积分包
服务
文献检索文档翻译深度研究API 文档MCP 服务
关于我们
关于 Suppr公司介绍联系我们用户协议隐私条款
关注我们

Suppr 超能文献

核心技术专利:CN118964589B侵权必究
粤ICP备2023148730 号-1Suppr @ 2026

文献检索

告别复杂PubMed语法,用中文像聊天一样搜索,搜遍4000万医学文献。AI智能推荐,让科研检索更轻松。

立即免费搜索

文件翻译

保留排版,准确专业,支持PDF/Word/PPT等文件格式,支持 12+语言互译。

免费翻译文档

深度研究

AI帮你快速写综述,25分钟生成高质量综述,智能提取关键信息,辅助科研写作。

立即免费体验

GBA 和 LRRK2 突变与炎症标志物的增加无关。

Mutations in GBA and LRRK2 Are Not Associated with Increased Inflammatory Markers.

机构信息

Movement Disorders Unit, Neurological Institute, Tel-Aviv Medical Center, Tel-Aviv, Israel.

Sackler School of Medicine, Tel-Aviv University, Tel-Aviv, Israel.

出版信息

J Parkinsons Dis. 2021;11(3):1285-1296. doi: 10.3233/JPD-212624.

DOI:10.3233/JPD-212624
PMID:33998549
原文链接:https://pmc.ncbi.nlm.nih.gov/articles/PMC8461659/
Abstract

BACKGROUND

Inflammation is an integral part of neurodegeneration including in Parkinson's disease (PD). Ashkenazi Jews have high rates of genetic PD with divergent phenotypes among GBA-PD and LRRK2-PD. The role of inflammation in the prodromal phase of PD and the association with disease phenotype has yet to be elucidated.

OBJECTIVE

To assess central and peripheral cytokines among PD patients with mutations in the LRRK2 and GBA genes and among non-manifesting carriers (NMC) of these mutations in order to determine the role of inflammation in genetic PD.

METHODS

The following cytokines were assessed from peripheral blood and cerebrospinal fluid (CSF): TNF-α, IL-1β, IL-2, IL-4, IL-6, IL-8, IL-10 and INF- γ. A comprehensive intake including general medical conditions, use of anti-inflammatory treatments, motor and cognitive assessments and additional laboratory measures were recorded, enabling the construction of the MDS probable prodromal score.

RESULTS

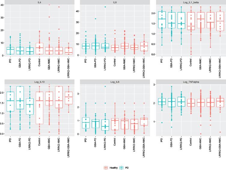
Data from 362 participants was collected: 31 idiopathic PD (iPD), 30 LRRK2-PD, 77 GBA-PD, 3 homozygote GBA-PD, 3 GBA-LRRK2-PD, 67 LRRK2-NMC, 105 GBA-NMC, 14 LRRK2-GBA-NMC, and 32 healthy controls. No between-group differences in peripheral or CSF cytokines were detected. No correlation between disease characteristics or risk for prodromal PD could be associated with any inflammatory measure.

CONCLUSION

In this study, we could not detect any evidence on dysregulated immune response among GBA and LRRK2 PD patients and non-manifesting mutation carriers.

摘要

背景

炎症是神经退行性变的一个组成部分,包括帕金森病(PD)。阿什肯纳兹犹太人的 PD 遗传率很高,GBA-PD 和 LRRK2-PD 的表型存在差异。炎症在 PD 的前驱期的作用及其与疾病表型的关联尚不清楚。

目的

评估 LRRK2 和 GBA 基因突变的 PD 患者以及这些突变的非表现型携带者(NMC)的中枢和外周细胞因子,以确定炎症在遗传 PD 中的作用。

方法

从外周血和脑脊液(CSF)中评估以下细胞因子:TNF-α、IL-1β、IL-2、IL-4、IL-6、IL-8、IL-10 和 INF-γ。记录了全面的摄入情况,包括一般医疗状况、抗炎治疗的使用、运动和认知评估以及其他实验室措施,从而构建了 MDS 可能的前驱评分。

结果

共收集了 362 名参与者的数据:31 名特发性 PD(iPD)、30 名 LRRK2-PD、77 名 GBA-PD、3 名纯合 GBA-PD、3 名 GBA-LRRK2-PD、67 名 LRRK2-NMC、105 名 GBA-NMC、14 名 LRRK2-GBA-NMC 和 32 名健康对照。外周或 CSF 细胞因子在各组之间无差异。未发现疾病特征或前驱 PD 风险与任何炎症指标之间存在相关性。

结论

在这项研究中,我们无法在 GBA 和 LRRK2 PD 患者和非表现型突变携带者中检测到任何失调的免疫反应证据。

https://cdn.ncbi.nlm.nih.gov/pmc/blobs/e39a/8461659/e580b3421708/jpd-11-jpd212624-g002.jpg
https://cdn.ncbi.nlm.nih.gov/pmc/blobs/e39a/8461659/f3c59816a6e3/jpd-11-jpd212624-g001.jpg
https://cdn.ncbi.nlm.nih.gov/pmc/blobs/e39a/8461659/e580b3421708/jpd-11-jpd212624-g002.jpg
https://cdn.ncbi.nlm.nih.gov/pmc/blobs/e39a/8461659/f3c59816a6e3/jpd-11-jpd212624-g001.jpg
https://cdn.ncbi.nlm.nih.gov/pmc/blobs/e39a/8461659/e580b3421708/jpd-11-jpd212624-g002.jpg

相似文献

1
Mutations in GBA and LRRK2 Are Not Associated with Increased Inflammatory Markers.GBA 和 LRRK2 突变与炎症标志物的增加无关。
J Parkinsons Dis. 2021;11(3):1285-1296. doi: 10.3233/JPD-212624.
2
Biochemical markers for severity and risk in GBA and LRRK2 Parkinson's disease.GBA 和 LRRK2 帕金森病严重程度和风险的生化标志物。
J Neurol. 2021 Apr;268(4):1517-1525. doi: 10.1007/s00415-020-10325-4. Epub 2021 Jan 3.
3
Glucocerebrosidase Activity is not Associated with Parkinson's Disease Risk or Severity.葡萄糖脑苷脂酶活性与帕金森病风险或严重程度无关。
Mov Disord. 2022 Jan;37(1):190-195. doi: 10.1002/mds.28792. Epub 2021 Sep 22.
4
Clinical and dopamine transporter imaging characteristics of non-manifest LRRK2 and GBA mutation carriers in the Parkinson's Progression Markers Initiative (PPMI): a cross-sectional study.帕金森进展标志物倡议(PPMI)中无明显 LRRK2 和 GBA 突变携带者的临床和多巴胺转运体成像特征:一项横断面研究。
Lancet Neurol. 2020 Jan;19(1):71-80. doi: 10.1016/S1474-4422(19)30319-9. Epub 2019 Oct 31.
5
Metabolic syndrome does not influence the phenotype of LRRK2 and GBA related Parkinson's disease.代谢综合征并不影响 LRRK2 和 GBA 相关帕金森病的表型。
Sci Rep. 2020 Jun 9;10(1):9329. doi: 10.1038/s41598-020-66319-9.
6
Cerebral Imaging Markers of GBA and LRRK2 Related Parkinson's Disease and Their First-Degree Unaffected Relatives.GBA和LRRK2相关帕金森病及其一级未患病亲属的脑成像标志物
Brain Topogr. 2018 Nov;31(6):1029-1036. doi: 10.1007/s10548-018-0653-8. Epub 2018 May 30.
7
A cognitive fMRI study in non-manifesting LRRK2 and GBA carriers.一项针对未表现出症状的LRRK2和GBA基因携带者的认知功能磁共振成像研究。
Brain Struct Funct. 2017 Apr;222(3):1207-1218. doi: 10.1007/s00429-016-1271-4. Epub 2016 Jul 11.
8
Carriers of both GBA and LRRK2 mutations, compared to carriers of either, in Parkinson's disease: Risk estimates and genotype-phenotype correlations.帕金森病患者同时携带 GBA 和 LRRK2 突变与仅携带其中一种突变相比:风险估计和基因型-表型相关性。
Parkinsonism Relat Disord. 2019 May;62:179-184. doi: 10.1016/j.parkreldis.2018.12.014. Epub 2018 Dec 13.
9
Clinical and Dopamine Transporter Imaging Characteristics of Leucine Rich Repeat Kinase 2 (LRRK2) and Glucosylceramidase Beta (GBA) Parkinson's Disease Participants in the Parkinson's Progression Markers Initiative: A Cross-Sectional Study.LRRK2(富含亮氨酸重复激酶 2)和 GBA(β-葡糖苷脂酶)帕金森病患者的临床和多巴胺转运体成像特征:帕金森进展标志物倡议的横断面研究。
Mov Disord. 2020 May;35(5):833-844. doi: 10.1002/mds.27989. Epub 2020 Feb 19.
10
Survival rates among Parkinson's disease patients who carry mutations in the LRRK2 and GBA genes.LRRK2 和 GBA 基因突变的帕金森病患者的生存率。
Mov Disord. 2018 Oct;33(10):1656-1660. doi: 10.1002/mds.27490. Epub 2018 Oct 4.

引用本文的文献

1
The combined effect of lifestyle factors and polygenic scores on age at onset in Parkinson's disease.生活方式因素和多基因评分对帕金森病发病年龄的综合影响。
Sci Rep. 2024 Jun 25;14(1):14670. doi: 10.1038/s41598-024-65640-x.
2
GPNMB Biomarker Levels in GBA1 Carriers with Lewy Body Disorders.GPNMB 生物标志物水平在携带 GBA1 的路易体障碍患者中。
Mov Disord. 2024 Jun;39(6):1065-1070. doi: 10.1002/mds.29773. Epub 2024 Apr 12.
3
The Molecular Impact of Glucosylceramidase Beta 1 (Gba1) in Parkinson's Disease: a New Genetic State of the Art.

本文引用的文献

1
Cytokines and Gaucher Biomarkers in Glucocerebrosidase Carriers with and Without Parkinson Disease.葡萄糖脑苷脂酶携带者伴或不伴帕金森病的细胞因子和 Gaucher 生物标志物。
Mov Disord. 2021 Jun;36(6):1451-1455. doi: 10.1002/mds.28525. Epub 2021 Feb 11.
2
Soluble CD163 Changes Indicate Monocyte Association With Cognitive Deficits in Parkinson's Disease.可溶性 CD163 变化表明单核细胞与帕金森病认知障碍有关。
Mov Disord. 2021 Apr;36(4):963-976. doi: 10.1002/mds.28424. Epub 2020 Dec 17.
3
Serum urate is related to subclinical inflammation in asymptomatic hyperuricaemia.
β-葡糖苷酶(Gba1)在帕金森病中的分子影响:一个新的遗传学研究现状。
Mol Neurobiol. 2024 Sep;61(9):6754-6770. doi: 10.1007/s12035-024-04008-8. Epub 2024 Feb 13.
4
The combined effect of lifestyle factors and polygenic scores on age at onset in Parkinson's disease.生活方式因素和多基因评分对帕金森病发病年龄的综合影响。
medRxiv. 2023 Aug 25:2023.08.25.23294466. doi: 10.1101/2023.08.25.23294466.
5
Modeling Parkinson's disease in LRRK2 rodents.在携带亮氨酸重复激酶2(LRRK2)突变的啮齿动物中模拟帕金森病
Neuronal Signal. 2023 Aug 16;7(3):NS20220040. doi: 10.1042/NS20220040. eCollection 2023 Sep.
6
Inflammatory CSF profiles and longitudinal development of cognitive decline in sporadic and GBA-associated PD.散发性和GBA相关帕金森病中炎症性脑脊液特征与认知功能下降的纵向发展
NPJ Parkinsons Dis. 2023 Mar 11;9(1):38. doi: 10.1038/s41531-023-00476-2.
7
Who is at Risk of Parkinson Disease? Refining the Preclinical Phase of GBA1 and LRRK2 Variant Carriers: a Clinical, Biochemical, and Imaging Approach.谁有患帕金森病的风险?GBAl 和 LRRK2 变异携带者临床前阶段的精细化:临床、生化和影像学方法。
Curr Neurol Neurosci Rep. 2023 Apr;23(4):121-130. doi: 10.1007/s11910-023-01259-1. Epub 2023 Mar 7.
8
Mechanisms of Glucocerebrosidase Dysfunction in Parkinson's Disease.帕金森病中葡萄糖脑苷脂酶功能障碍的机制。
J Mol Biol. 2023 Jun 15;435(12):168023. doi: 10.1016/j.jmb.2023.168023. Epub 2023 Feb 23.
9
Peripheral inflammatory immune response differs among sporadic and familial Parkinson's disease.散发性和家族性帕金森病的外周炎症免疫反应有所不同。
NPJ Parkinsons Dis. 2023 Jan 31;9(1):12. doi: 10.1038/s41531-023-00457-5.
10
GBA1 and The Immune System: A Potential Role in Parkinson's Disease?GBA1 与免疫系统:在帕金森病中的潜在作用?
J Parkinsons Dis. 2022;12(s1):S53-S64. doi: 10.3233/JPD-223423.
血清尿酸与无症状高尿酸血症中的亚临床炎症有关。
Rheumatology (Oxford). 2021 Jan 5;60(1):371-379. doi: 10.1093/rheumatology/keaa425.
4
Low cerebrospinal fluid volume and the risk for post-lumbar puncture headaches.脑脊液低容量与腰椎穿刺后头痛的风险
J Neurol Sci. 2020 Oct 15;417:117059. doi: 10.1016/j.jns.2020.117059. Epub 2020 Jul 27.
5
Cerebrospinal Fluid Cytokines and Neurodegeneration-Associated Proteins in Parkinson's Disease.帕金森病中的脑脊液细胞因子和神经退行性相关蛋白。
Mov Disord. 2020 Jun;35(6):1062-1066. doi: 10.1002/mds.28015. Epub 2020 Mar 4.
6
CSF total and oligomeric α-Synuclein along with TNF-α as risk biomarkers for Parkinson's disease: a study in LRRK2 mutation carriers.脑脊液总α-突触核蛋白和寡聚体α-突触核蛋白以及 TNF-α 作为帕金森病的风险生物标志物:LRRK2 突变携带者的研究。
Transl Neurodegener. 2020 May 6;9(1):15. doi: 10.1186/s40035-020-00192-4.
7
Gut-seeded α-synuclein fibrils promote gut dysfunction and brain pathology specifically in aged mice.肠道定植的α-突触核蛋白纤维特异性促进老年小鼠的肠道功能障碍和脑部病变。
Nat Neurosci. 2020 Mar;23(3):327-336. doi: 10.1038/s41593-020-0589-7. Epub 2020 Feb 17.
8
Update of the MDS research criteria for prodromal Parkinson's disease.前驱帕金森病 MDS 研究标准的更新。
Mov Disord. 2019 Oct;34(10):1464-1470. doi: 10.1002/mds.27802. Epub 2019 Aug 14.
9
Parkinson's progression prediction using machine learning and serum cytokines.利用机器学习和血清细胞因子预测帕金森病的进展
NPJ Parkinsons Dis. 2019 Jul 25;5:14. doi: 10.1038/s41531-019-0086-4. eCollection 2019.
10
Hierarchical Data-Driven Analysis of Clinical Symptoms Among Patients With Parkinson's Disease.帕金森病患者临床症状的分层数据驱动分析
Front Neurol. 2019 May 21;10:531. doi: 10.3389/fneur.2019.00531. eCollection 2019.