Suppr超能文献

神经视网膜生物标志物在精神分裂症谱系障碍中的研究进展

Neuroretinal Biomarkers for Schizophrenia Spectrum Disorders.

机构信息

Department of Ophthalmology and Visual Sciences, University of Maryland School of Medicine, Baltimore, MD, USA.

Maryland Psychiatric Research Center, Department of Psychiatry, University of Maryland School of Medicine, Baltimore, MD, USA.

出版信息

Transl Vis Sci Technol. 2021 Apr 1;10(4):29. doi: 10.1167/tvst.10.4.29.

Abstract

PURPOSE

We evaluated the patient-control differences and predictive value of the retina as potential biomarkers for schizophrenia.

METHODS

The institutional study included both eyes of 58 schizophrenia spectrum disorder (SSD) patients (age 37.2 ± 12.3 years) and 35 controls (age 41.1 ± 15.2 years). Retinal nerve fiber layer (RNFL), ganglion cell-inner plexiform layer, outer retinal photoreceptor complex, and total macula thicknesses were measured by optical coherence tomography (OCT). Anterior segment parameters including central corneal thickness, anterior chamber depth, and axial length were measured to rule out confounds on the retinal measures.

RESULTS

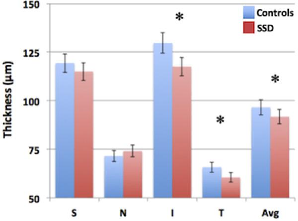
The peripapillary RNFL was overall significantly thinner in SSD relative to controls (F = 3.97, P = 0.049), most pronounced in the temporal (5.2 µm difference, F = 6.95, P = 0.010) and inferior quadrants (12.1 µm difference, F = 7.32, P = 0.009). There were no significant group differences in thickness for the macular RNFL, ganglion, or photoreceptor cell related measures (P > 0.05). Peripapillary RNFL, central macula, and outer photoreceptor complex thicknesses were together able to classify SSD patients with 80% sensitivity and 71% specificity; area under the curve = 0.82 (95% confidence interval, 0.75-0.88).

CONCLUSIONS

SSD patients exhibited significant RNFL thinning relative to controls. Notably, retinal thickness measures including both peripapillary and macular data exhibited improved diagnostic accuracy for SSD as compared to these regions alone.

TRANSLATIONAL RELEVANCE

This is the first study to evaluate the predictive value of both the inner and outer retina in SSD. OCT retinal thickness measures including peripapillary data in conjunction with macular data may provide an informative, noninvasive in vivo ocular biomarker for schizophrenia.

摘要

目的

我们评估了视网膜作为精神分裂症潜在生物标志物的患者-对照差异和预测价值。

方法

该机构研究包括 58 例精神分裂症谱系障碍(SSD)患者(年龄 37.2±12.3 岁)和 35 名对照者(年龄 41.1±15.2 岁)的双眼。通过光学相干断层扫描(OCT)测量视网膜神经纤维层(RNFL)、神经节细胞-内丛状层、外视网膜光感受器复合体和全黄斑厚度。测量眼前节参数,包括中央角膜厚度、前房深度和眼轴,以排除对视网膜测量的混杂因素。

结果

SSD 组相对于对照组,视盘周围 RNFL 整体明显变薄(F=3.97,P=0.049),在颞侧(5.2 µm 差异,F=6.95,P=0.010)和下侧(12.1 µm 差异,F=7.32,P=0.009)最为明显。黄斑 RNFL、神经节和光感受器细胞相关测量值在两组间无显著差异(P>0.05)。视盘周围 RNFL、中央黄斑和外光感受器复合体厚度联合能够以 80%的敏感性和 71%的特异性对 SSD 患者进行分类;曲线下面积=0.82(95%置信区间,0.75-0.88)。

结论

SSD 患者的 RNFL 明显变薄。值得注意的是,与这些区域单独相比,包括视盘周围和黄斑数据在内的视网膜厚度测量值对 SSD 的诊断准确性更高。

翻译

杨阳

https://cdn.ncbi.nlm.nih.gov/pmc/blobs/c7fd/8083086/ab895df6998b/tvst-10-4-29-f001.jpg

文献AI研究员

20分钟写一篇综述,助力文献阅读效率提升50倍。

立即体验

用中文搜PubMed

大模型驱动的PubMed中文搜索引擎

马上搜索

文档翻译

学术文献翻译模型,支持多种主流文档格式。

立即体验