Huang Jen-Pan, Morgan Brett
Biodiversity Research Center Academia Sinica Taipei Taiwan.
Ecol Evol. 2021 Mar 25;11(10):5503-5510. doi: 10.1002/ece3.7448. eCollection 2021 May.
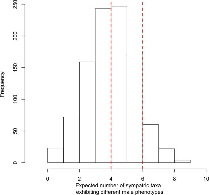
Character displacement that leads to divergent phenotypes between sympatric species has been hypothesized to facilitate coexistence and promote the accumulation of biodiversity. However, there are alternative evolutionary mechanisms that may also lead to the evolution of phenotypic divergence between sympatric species; one of the mechanisms is evolutionary contingency. We studied the evolution of the presence and absence of a major male horn phenotype, which may have ecological implications for promoting coexistence between sympatric beetles, across geographic populations from different beetles. By using a previously published phylogeny with 80 taxa, we estimated the transition rates between the two phenotypic states (i.e., presence vs. absence of a major male phenotype). Based on the estimated transition rates, we then simulated possible phenotypic outcomes between sympatric species. We found that sympatric species were equally likely to evolve the same versus distinct phenotypic states based on the estimated transition rates given the phylogeny. The empirically observed number of sympatric species showing different phenotypic states can be explained by evolutionary contingency alone. We discussed the importance of applying phylogenetic comparative methods when studying phenotypic evolution and more generally to investigate the effect of stochastic processes before making deterministic inferences.
导致同域物种间出现不同表型的特征取代被认为有助于共存并促进生物多样性的积累。然而,还有其他进化机制也可能导致同域物种间表型差异的进化;其中一种机制是进化偶然性。我们研究了一种主要雄性角表型存在与否的进化情况,这种表型可能对促进同域甲虫之间的共存具有生态意义,研究对象涵盖了来自不同甲虫的地理种群。通过使用先前发表的包含80个分类单元的系统发育树,我们估计了两种表型状态(即主要雄性表型的存在与不存在)之间的转变速率。基于估计的转变速率,我们随后模拟了同域物种间可能的表型结果。我们发现,根据给定系统发育树的估计转变速率,同域物种进化出相同或不同表型状态的可能性是相等的。仅进化偶然性就能解释经验观察到的表现出不同表型状态的同域物种数量。我们讨论了在研究表型进化时应用系统发育比较方法的重要性,更广泛地说,在进行确定性推断之前研究随机过程的影响时应用该方法的重要性。