• 文献检索
  • 文档翻译
  • 深度研究
  • 学术资讯
  • Suppr Zotero 插件Zotero 插件
  • 邀请有礼
  • 套餐&价格
  • 历史记录
应用&插件
Suppr Zotero 插件Zotero 插件浏览器插件Mac 客户端Windows 客户端微信小程序
定价
高级版会员购买积分包购买API积分包
服务
文献检索文档翻译深度研究API 文档MCP 服务
关于我们
关于 Suppr公司介绍联系我们用户协议隐私条款
关注我们

Suppr 超能文献

核心技术专利:CN118964589B侵权必究
粤ICP备2023148730 号-1Suppr @ 2026

文献检索

告别复杂PubMed语法,用中文像聊天一样搜索,搜遍4000万医学文献。AI智能推荐,让科研检索更轻松。

立即免费搜索

文件翻译

保留排版,准确专业,支持PDF/Word/PPT等文件格式,支持 12+语言互译。

免费翻译文档

深度研究

AI帮你快速写综述,25分钟生成高质量综述,智能提取关键信息,辅助科研写作。

立即免费体验

根据个人教育程度、职业和工资描述英格兰和威尔士预期寿命的社会经济差异:对英国国家统计局纵向研究的分析

Describing socio-economic variation in life expectancy according to an individual's education, occupation and wage in England and Wales: An analysis of the ONS Longitudinal Study.

作者信息

Ingleby Fiona C, Woods Laura M, Atherton Iain M, Baker Matthew, Elliss-Brookes Lucy, Belot Aurélien

机构信息

Department of Non-Communicable Disease Epidemiology, Faculty of Epidemiology and Population Health, London School of Hygiene and Tropical Medicine, London, UK.

School of Health & Social Care, Edinburgh Napier University, Edinburgh, UK.

出版信息

SSM Popul Health. 2021 May 8;14:100815. doi: 10.1016/j.ssmph.2021.100815. eCollection 2021 Jun.

DOI:10.1016/j.ssmph.2021.100815
PMID:34027013
原文链接:https://pmc.ncbi.nlm.nih.gov/articles/PMC8131985/
Abstract

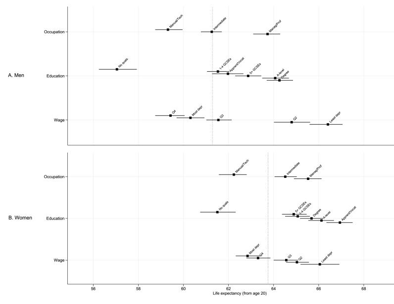
People who live in more deprived areas have poorer health outcomes, and this inequality is a major driver of health and social policy. Many interventions targeting these disparities implicitly assume that poorer health is predominantly associated with area-level factors, and that these inequalities are the same for men and women. However, health differentials due to individual socio-economic status (SES) of men and women are less well documented. We used census data linked to the ONS Longitudinal Study to derive individual-level SES in terms of occupation, education and estimated wage, and examined differences in adult mortality and life expectancy. We modelled age-, sex- and SES-specific mortality using Poisson regression, and summarised mortality differences using life expectancy at age 20. We compared the results to those calculated using area-level deprivation metrics. Wide inequalities in life expectancy between SES groups were observed, although differences across SES groups were smaller for women than for men. The widest inequalities were found across men's education (7.2-year (95% CI: 3.0-10.1) difference in life expectancy between groups) and wage (7.0-year (95% CI: 3.5-9.8) difference), and women's education (5.4-year (95% CI: 2.2-8.1) difference). Men with no qualifications had the lowest life expectancy of all groups. In terms of the number of years' difference in life expectancy, the inequalities measured here with individual-level data were of a similar magnitude to inequalities identified previously using area-level deprivation metrics. These data show that health inequalities are as strongly related to individual SES as to area-level deprivation, highlighting the complementary usefulness of these different metrics. Indeed, poor outcomes are likely to be a product of both community and individual influences. Current policy which bases health spending decisions on evidence of inequalities between geographical areas may overlook individual-level SES inequalities for those living in affluent areas, as well as missing important sex differences.

摘要

生活在贫困地区的人群健康状况较差,这种不平等是健康和社会政策的主要推动因素。许多针对这些差异的干预措施隐含地假定,较差的健康状况主要与地区层面的因素相关,并且这些不平等在男性和女性中是相同的。然而,关于男性和女性个体社会经济地位(SES)导致的健康差异,相关记录较少。我们使用与英国国家统计局纵向研究相关联的人口普查数据,从职业、教育和估计工资方面得出个体层面的SES,并研究了成人死亡率和预期寿命的差异。我们使用泊松回归对年龄、性别和SES特定的死亡率进行建模,并使用20岁时的预期寿命总结死亡率差异。我们将结果与使用地区层面贫困指标计算的结果进行了比较。SES组之间的预期寿命存在很大差异,尽管女性SES组之间的差异小于男性。最大的差异出现在男性的教育程度(组间预期寿命相差7.2年(95%置信区间:3.0 - ))和工资(相差7.0年(95%置信区间:3.5 - 9.8))以及女性的教育程度(相差5.4年(95%置信区间:2.2 - 8.1))方面。没有学历的男性预期寿命在所有组中最低。就预期寿命的年数差异而言,这里用个体层面数据衡量的不平等程度与先前使用地区层面贫困指标确定的不平等程度相似。这些数据表明,健康不平等与个体SES的关联程度与地区层面贫困相同,凸显了这些不同指标的互补有用性。事实上,不良结果可能是社区和个体影响共同作用的产物。当前基于地理区域间不平等证据做出健康支出决策的政策,可能会忽视富裕地区居民的个体层面SES不平等,以及重要的性别差异。 10.1))

https://cdn.ncbi.nlm.nih.gov/pmc/blobs/ec1d/8131985/d49e49072d11/gr4.jpg
https://cdn.ncbi.nlm.nih.gov/pmc/blobs/ec1d/8131985/ca226e60f233/gr1.jpg
https://cdn.ncbi.nlm.nih.gov/pmc/blobs/ec1d/8131985/7deb01007238/gr2.jpg
https://cdn.ncbi.nlm.nih.gov/pmc/blobs/ec1d/8131985/a6cd7122eb3d/gr3.jpg
https://cdn.ncbi.nlm.nih.gov/pmc/blobs/ec1d/8131985/d49e49072d11/gr4.jpg
https://cdn.ncbi.nlm.nih.gov/pmc/blobs/ec1d/8131985/ca226e60f233/gr1.jpg
https://cdn.ncbi.nlm.nih.gov/pmc/blobs/ec1d/8131985/7deb01007238/gr2.jpg
https://cdn.ncbi.nlm.nih.gov/pmc/blobs/ec1d/8131985/a6cd7122eb3d/gr3.jpg
https://cdn.ncbi.nlm.nih.gov/pmc/blobs/ec1d/8131985/d49e49072d11/gr4.jpg

相似文献

1
Describing socio-economic variation in life expectancy according to an individual's education, occupation and wage in England and Wales: An analysis of the ONS Longitudinal Study.根据个人教育程度、职业和工资描述英格兰和威尔士预期寿命的社会经济差异:对英国国家统计局纵向研究的分析
SSM Popul Health. 2021 May 8;14:100815. doi: 10.1016/j.ssmph.2021.100815. eCollection 2021 Jun.
2
An investigation of cancer survival inequalities associated with individual-level socio-economic status, area-level deprivation, and contextual effects, in a cancer patient cohort in England and Wales.一项针对英格兰和威尔士癌症患者队列中与个体社会经济地位、地区贫困程度和背景效应相关的癌症生存不平等的调查。
BMC Public Health. 2022 Jan 13;22(1):90. doi: 10.1186/s12889-022-12525-1.
3
Assessing the contribution of alcohol-specific causes to socio-economic inequalities in mortality in England and Wales 2001-16.评估 2001-2016 年英格兰和威尔士因酒精导致的特定原因对死亡率的社会经济不平等状况的影响。
Addiction. 2020 Dec;115(12):2268-2279. doi: 10.1111/add.15037. Epub 2020 Mar 31.
4
Deriving trends in life expectancy by the National Statistics Socioeconomic Classification using the ONS Longitudinal Study.利用英国国家统计局纵向研究,通过国家统计局社会经济分类得出预期寿命趋势。
Health Stat Q. 2011 Spring(49):9-51. doi: 10.1057/hsq.2011.2.
5
Inequalities in disability-free life expectancy by area deprivation: England, 2001-04 and 2005-08.按地区贫困程度划分的无残疾预期寿命不平等状况:英格兰,2001 - 2004年及2005 - 2008年
Health Stat Q. 2010 Winter(48):36-57. doi: 10.1057/hsq.2010.20.
6
Frailty-free life expectancy and its association with socio-economic characteristics: an analysis of the English Longitudinal Study of Ageing cohort study.无衰弱预期寿命及其与社会经济特征的关联:对英国老年纵向研究队列研究的分析
BMC Med. 2025 May 9;23(1):276. doi: 10.1186/s12916-025-04112-z.
7
Variations in life expectancy between rural and urban areas of England, 2001-07.2001 - 2007年英格兰城乡地区预期寿命的差异。
Health Stat Q. 2010 Summer(46):25-50. doi: 10.1057/hsq.2010.10.
8
Area-level socioeconomic inequalities in activities of daily living disability-free life expectancy in England: a modelling study.英格兰日常生活无残疾预期寿命的地区层面社会经济不平等:一项建模研究。
Lancet Healthy Longev. 2025 Apr;6(4):100700. doi: 10.1016/j.lanhl.2025.100700. Epub 2025 Mar 19.
9
Inequalities in life expectancy in Australia according to education level: a whole-of-population record linkage study.澳大利亚按教育程度划分的预期寿命不平等:全人群记录链接研究。
Int J Equity Health. 2021 Aug 3;20(1):178. doi: 10.1186/s12939-021-01513-3.
10
Inequalities in healthy life expectancy by social class and area type: England, 2001-03.2001 - 2003年英国按社会阶层和地区类型划分的健康预期寿命不平等情况
Health Stat Q. 2010 Spring(45):28-56. doi: 10.1057/hsq.2010.3.

引用本文的文献

1
Association between income, employment status, and asthma outcomes: a systematic review and meta-analysis.收入、就业状况与哮喘结局之间的关联:一项系统综述和荟萃分析。
Lancet Reg Health Eur. 2025 Jun 26;56:101367. doi: 10.1016/j.lanepe.2025.101367. eCollection 2025 Sep.
2
The impact of ageing, socio-economic differences and the evolution of morbidity on future health expenditure - a dynamic microsimulation.老龄化、社会经济差异及发病率演变对未来卫生支出的影响——动态微观模拟
BMC Health Serv Res. 2025 Jul 12;25(1):952. doi: 10.1186/s12913-025-13072-2.
3
Is the Social Gradient in Net Survival Observed in France the Result of Inequalities in Cancer-Specific Mortality or Inequalities in General Mortality?

本文引用的文献

1
Assessment of the concordance between individual-level and area-level measures of socio-economic deprivation in a cancer patient cohort in England and Wales.评估英格兰和威尔士癌症患者队列中个体层面和区域层面社会经济剥夺指标的一致性。
BMJ Open. 2020 Nov 26;10(11):e041714. doi: 10.1136/bmjopen-2020-041714.
2
If social determinants of health are so important, shouldn't we ask patients about them?如果健康的社会决定因素如此重要,我们难道不应该询问患者这些因素吗?
BMJ. 2020 Nov 24;371:m4150. doi: 10.1136/bmj.m4150.
3
Population-based estimates of healthy working life expectancy in England at age 50 years: analysis of data from the English Longitudinal Study of Ageing.
在法国观察到的净生存率的社会梯度是癌症特异性死亡率不平等还是总体死亡率不平等的结果?
Cancers (Basel). 2023 Jan 20;15(3):659. doi: 10.3390/cancers15030659.
4
Methods of assessing value for money of UK-based early childhood public health interventions: a systematic literature review.评估英国基于儿童早期公共卫生干预措施的性价比的方法:系统文献回顾。
Br Med Bull. 2023 Apr 5;145(1):88-109. doi: 10.1093/bmb/ldac035.
5
Are deprivation-specific cancer survival patterns similar according to individual-based and area-based measures? A cohort study of patients diagnosed with five malignancies in England and Wales, 2008-2016.根据个体和地区测量,剥夺特异性癌症生存模式是否相似?2008-2016 年英格兰和威尔士诊断出五种恶性肿瘤的患者的队列研究。
BMJ Open. 2022 Jun 10;12(6):e058411. doi: 10.1136/bmjopen-2021-058411.
6
How aging of the global population is changing oncology.全球人口老龄化如何改变肿瘤学。
Ecancermedicalscience. 2021 Dec 13;15:ed119. doi: 10.3332/ecancer.2021.ed119. eCollection 2021.
7
An investigation of cancer survival inequalities associated with individual-level socio-economic status, area-level deprivation, and contextual effects, in a cancer patient cohort in England and Wales.一项针对英格兰和威尔士癌症患者队列中与个体社会经济地位、地区贫困程度和背景效应相关的癌症生存不平等的调查。
BMC Public Health. 2022 Jan 13;22(1):90. doi: 10.1186/s12889-022-12525-1.
基于人群的英格兰 50 岁人群健康期望工作年限的估算:来自英国老龄化纵向研究的数据分析。
Lancet Public Health. 2020 Jul;5(7):e395-e403. doi: 10.1016/S2468-2667(20)30114-6.
4
Education inequalities in adult all-cause mortality: first national data for Australia using linked census and mortality data.教育不平等与成年人全因死亡率:澳大利亚首次利用全国人口普查和死亡率数据进行的全国性研究。
Int J Epidemiol. 2020 Apr 1;49(2):511-518. doi: 10.1093/ije/dyz191.
5
Cohort Profile: the Office for National Statistics Longitudinal Study (The LS).队列简介:英国国家统计局纵向研究(LS)办公室
Int J Epidemiol. 2019 Apr 1;48(2):383-384g. doi: 10.1093/ije/dyy243.
6
Contributions of diseases and injuries to widening life expectancy inequalities in England from 2001 to 2016: a population-based analysis of vital registration data.2001 年至 2016 年期间,英格兰因疾病和伤害导致的预期寿命不平等差距扩大的贡献:基于人口的生命登记数据分析。
Lancet Public Health. 2018 Dec;3(12):e586-e597. doi: 10.1016/S2468-2667(18)30214-7. Epub 2018 Nov 23.
7
Multivariable flexible modelling for estimating complete, smoothed life tables for sub-national populations.用于估计次国家级人群完整、平滑生命表的多变量灵活建模。
BMC Public Health. 2015 Dec 16;15:1240. doi: 10.1186/s12889-015-2534-3.
8
The Association Between Income and Life Expectancy in the United States, 2001-2014.2001 - 2014年美国收入与预期寿命之间的关联
JAMA. 2016 Apr 26;315(16):1750-66. doi: 10.1001/jama.2016.4226.
9
A multilevel excess hazard model to estimate net survival on hierarchical data allowing for non-linear and non-proportional effects of covariates.一种用于估计分层数据净生存的多水平超额风险模型,该模型允许协变量具有非线性和非比例效应。
Stat Med. 2016 Aug 15;35(18):3066-84. doi: 10.1002/sim.6881. Epub 2016 Feb 28.
10
What is the effect of unemployment on all-cause mortality? A cohort study using propensity score matching.失业对全因死亡率有何影响?一项使用倾向得分匹配法的队列研究。
Eur J Public Health. 2015 Feb;25(1):115-21. doi: 10.1093/eurpub/cku136. Epub 2014 Aug 26.