Suppr超能文献

在接受两个月治疗前后,药物敏感或耐药结核病患者痰液中可检测到的结核分枝杆菌的特征。

Characterization of Differentially Detectable Mycobacterium tuberculosis in the Sputum of Subjects with Drug-Sensitive or Drug-Resistant Tuberculosis before and after Two Months of Therapy.

机构信息

Center for Global Health, Weill Cornell Medicine, New York, New York, USA.

Department of Microbiology & Immunology, Weill Cornell Medicine, New York, New York, USA.

出版信息

Antimicrob Agents Chemother. 2021 Jul 16;65(8):e0060821. doi: 10.1128/AAC.00608-21.

Abstract

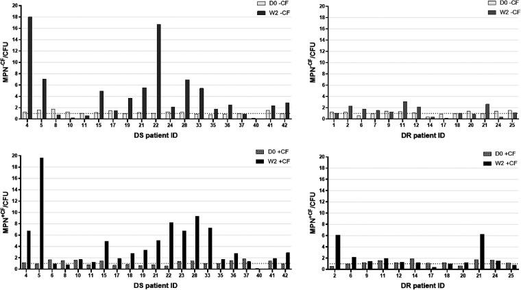
Standard methods for enumerating Mycobacterium tuberculosis in patient sputum can miss large populations of viable M. tuberculosis cells that are unable to grow either on solid medium or in liquid medium unless the medium has been extensively diluted. Because these bacteria can be detected in liquid medium after limiting dilution, they have been termed differentially culturable or differentially detectable M. tuberculosis (DD-). Treatment with isoniazid (H), rifampin (R), pyrazinamide (Z), and ethambutol (E) (HRZE) for 1 to 2 weeks has been shown to increase the representation of DD- in the sputum of drug-sensitive (DS) tuberculosis (TB) patients. However, little is known about DD- after longer periods of treatment with HRZE or in patients with drug-resistant (DR) TB who receive second-line therapies. Here, we measured the proportion of DD- cells in the sputum of 47 subjects, 29 with DS TB and 18 with DR TB, before initiation of treatment and at 2 weeks and 2 months thereafter. Prior to treatment, DD- cells represented the majority of M. tuberculosis cells in the sputum of 21% of subjects with DS TB, and this proportion rose to 65% after 2 weeks of treatment with first-line drugs. In subjects with DR TB, DD- cells were found in the sputum of 29% of subjects prior to treatment initiation, and this proportion remained steady at 31% after 2 weeks of treatment with second-line drugs. By 2 months, DD- cells were detected in the sputum of only 2/15 (13.3%) subjects with DS TB and in 0/15 of subjects with DR TB. One of the DS subjects whose sputum was positive for DD- at month 2 later experienced treatment failure.

摘要

标准方法可用于计数患者痰液中的结核分枝杆菌,但大量活的结核分枝杆菌细胞可能无法在固体培养基或液体培养基中生长,除非培养基经过广泛稀释。由于这些细菌在经过限制稀释后可以在液体培养基中被检测到,因此它们被称为差异可培养或差异可检测的结核分枝杆菌(DD-)。在药物敏感(DS)结核病(TB)患者中,用异烟肼(H)、利福平(R)、吡嗪酰胺(Z)和乙胺丁醇(E)(HRZE)治疗 1 至 2 周已被证明可增加 DD-在痰液中的代表。然而,对于接受 HRZE 治疗更长时间的患者或接受二线治疗的耐药(DR)TB 患者,关于 DD-的了解甚少。在这里,我们测量了 47 名受试者(29 名 DS-TB 和 18 名 DR-TB)在开始治疗前以及之后 2 周和 2 个月时痰液中 DD-细胞的比例。在开始治疗之前,DD-细胞代表 21%的 DS-TB 患者痰液中结核分枝杆菌细胞的主要部分,而在用一线药物治疗 2 周后,这一比例上升至 65%。在 DR-TB 患者中,在开始治疗前,29%的患者痰液中存在 DD-细胞,在用二线药物治疗 2 周后,这一比例保持在 31%。2 个月后,在 15 名 DS-TB 患者中,仅检测到 2/15(13.3%)痰液中存在 DD-细胞,在 15 名 DR-TB 患者中,没有患者痰液中存在 DD-细胞。在第 2 个月痰液中检测到 DD-的一名 DS 患者后来出现治疗失败。

https://cdn.ncbi.nlm.nih.gov/pmc/blobs/fa20/8284451/fdcecc59c162/aac.00608-21-f0001.jpg

文献检索

告别复杂PubMed语法,用中文像聊天一样搜索,搜遍4000万医学文献。AI智能推荐,让科研检索更轻松。

立即免费搜索

文件翻译

保留排版,准确专业,支持PDF/Word/PPT等文件格式,支持 12+语言互译。

免费翻译文档

深度研究

AI帮你快速写综述,25分钟生成高质量综述,智能提取关键信息,辅助科研写作。

立即免费体验