Suppr超能文献

一种用于城市内停车分配的平衡算法:以麦地那市为例

A Balanced Algorithm for In-City Parking Allocation: A Case Study of Al Madinah City.

作者信息

Abdeen Mohammad A R, Nemer Ibrahim A, Sheltami Tarek R

机构信息

The Faculty of Computers and Information Systems, The Islamic University of Madinah, Al-Madinah 42351, Saudi Arabia.

Computer Engineering Department, King Fahd University of Petroleum and Minerals, Dhahran 31261, Saudi Arabia.

出版信息

Sensors (Basel). 2021 May 1;21(9):3148. doi: 10.3390/s21093148.

Abstract

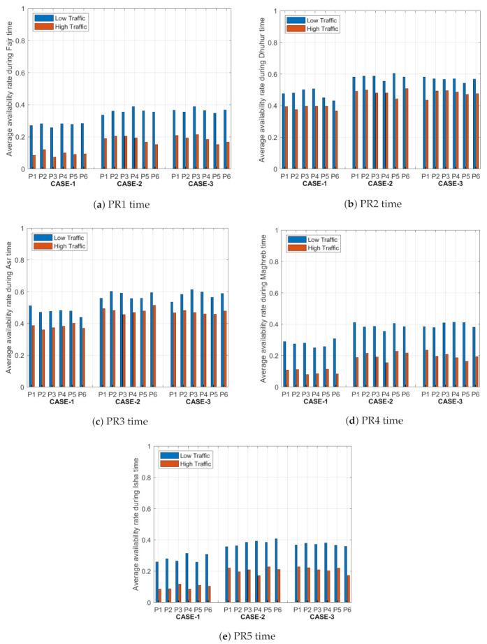
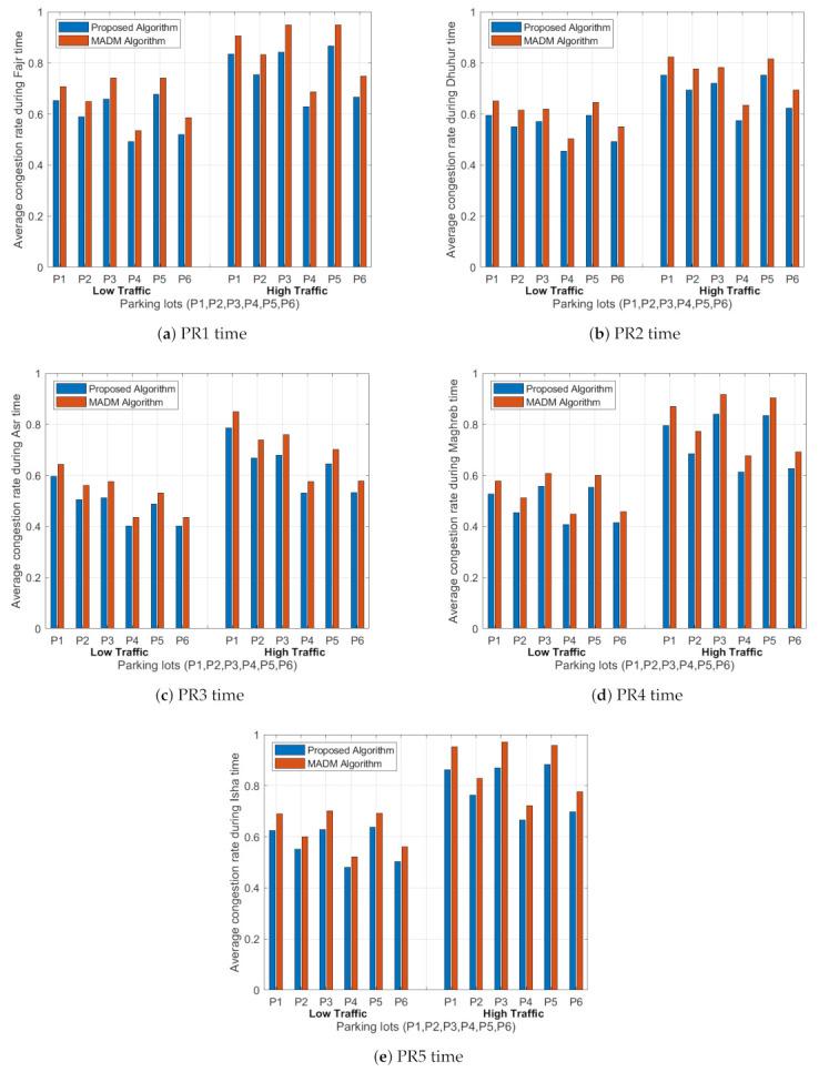
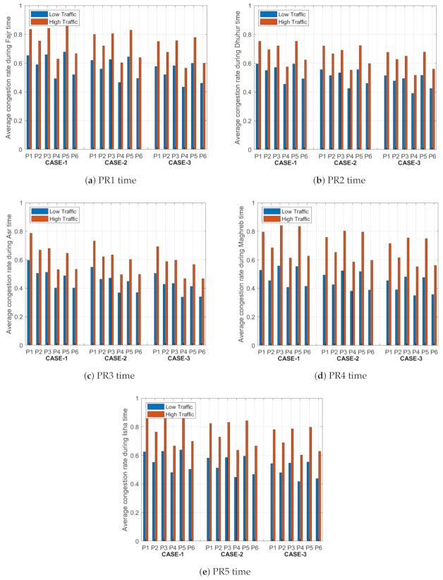
Parking in heavily populated areas has been considered one of the main challenges in the transportation systems for the past two decades given the limited parking resources, especially in city centres. Drivers often waste long periods of time hunting for an empty parking spot, which causes congestion and consumes energy during the process. Thus, finding an optimal parking spot depends on several factors such as street traffic congestion, trip distance/time, the availability of a parking spot, the waiting time on the lot gate, and the parking fees. Designing a parking spot allocation algorithm that takes those factors into account is crucial for an efficient and high-availability parking service. We propose a smart routing and parking algorithm to allocate an optimal parking space given the aforementioned limiting factors. This algorithm supports choosing the appropriate travel route and parking lot while considering the real-time street traffic and candidate parking lots. A multi-objective function is introduced, with varying weights of the five factors to produce the optimal parking spot with the least congested route while achieving a balanced utilization for candidate parking lots and a balanced traffic distribution. A queueing model is also developed to investigate the availability rate in candidate parking lots while considering the arrival rate, departure rate, and the lot capacity. To evaluate the performance of the proposed algorithm, simulation scenarios have been performed for different cases of high and low traffic intensity rates. We have tested the algorithm on in-city parking facility in the city of Al Madinah as a case study. The results show that the proposed algorithm is effective in achieving a balanced utilization of the parking lots, reducing traffic congestion rates on all routes to candidate parking lots, and minimizing the driving time to the assigned parking spot. Additionally, the proposed algorithm outperforms the MADM algorithm in terms of the selected three metrics for the five periods.

摘要

在过去二十年里,鉴于停车资源有限,尤其是在市中心,在人口密集地区停车一直被视为交通系统中的主要挑战之一。司机常常要花费很长时间寻找空停车位,这在此过程中会造成拥堵并消耗能源。因此,找到最佳停车位取决于几个因素,如街道交通拥堵情况、行程距离/时间、停车位的可用性、停车场入口处的等待时间以及停车费用。设计一种考虑这些因素的停车位分配算法对于高效且高可用性的停车服务至关重要。我们提出一种智能路由和停车算法,以在考虑上述限制因素的情况下分配最佳停车位。该算法支持在考虑实时街道交通和候选停车场的同时选择合适的行驶路线和停车场。引入了一个多目标函数,通过对五个因素赋予不同权重,以产生路线拥堵最少的最佳停车位,同时实现候选停车场的均衡利用和交通流量的均衡分布。还开发了一个排队模型,以在考虑到达率、离开率和停车场容量的情况下研究候选停车场的可用率。为了评估所提算法的性能,针对不同高低交通强度率的情况进行了模拟场景测试。我们以麦地那市的市内停车设施为例对该算法进行了测试。结果表明,所提算法在实现停车场的均衡利用、降低通往候选停车场的所有路线上的交通拥堵率以及最小化前往指定停车位的驾驶时间方面是有效的。此外,在所选的五个时期的三个指标方面,所提算法优于多属性决策算法。

https://cdn.ncbi.nlm.nih.gov/pmc/blobs/5483/8125470/2e303fd68b88/sensors-21-03148-g001.jpg

文献检索

告别复杂PubMed语法,用中文像聊天一样搜索,搜遍4000万医学文献。AI智能推荐,让科研检索更轻松。

立即免费搜索

文件翻译

保留排版,准确专业,支持PDF/Word/PPT等文件格式,支持 12+语言互译。

免费翻译文档

深度研究

AI帮你快速写综述,25分钟生成高质量综述,智能提取关键信息,辅助科研写作。

立即免费体验