• 文献检索
  • 文档翻译
  • 深度研究
  • 学术资讯
  • Suppr Zotero 插件Zotero 插件
  • 邀请有礼
  • 套餐&价格
  • 历史记录
应用&插件
Suppr Zotero 插件Zotero 插件浏览器插件Mac 客户端Windows 客户端微信小程序
定价
高级版会员购买积分包购买API积分包
服务
文献检索文档翻译深度研究API 文档MCP 服务
关于我们
关于 Suppr公司介绍联系我们用户协议隐私条款
关注我们

Suppr 超能文献

核心技术专利:CN118964589B侵权必究
粤ICP备2023148730 号-1Suppr @ 2026

文献检索

告别复杂PubMed语法,用中文像聊天一样搜索,搜遍4000万医学文献。AI智能推荐,让科研检索更轻松。

立即免费搜索

文件翻译

保留排版,准确专业,支持PDF/Word/PPT等文件格式,支持 12+语言互译。

免费翻译文档

深度研究

AI帮你快速写综述,25分钟生成高质量综述,智能提取关键信息,辅助科研写作。

立即免费体验

鉴定几种黄酮类化合物对 CYP3A4 酶的抑制潜力。

Characterization of the CYP3A4 Enzyme Inhibition Potential of Selected Flavonoids.

机构信息

Faculty of Pharmacy, University of Mostar, Matice Hrvatske bb, 88000 Mostar, Bosnia and Herzegovina.

University of Zagreb Faculty of Pharmacy and Biochemistry, Ante Kovačića 1, 10000 Zagreb, Croatia.

出版信息

Molecules. 2021 May 19;26(10):3018. doi: 10.3390/molecules26103018.

DOI:10.3390/molecules26103018
PMID:34069400
原文链接:https://pmc.ncbi.nlm.nih.gov/articles/PMC8158701/
Abstract

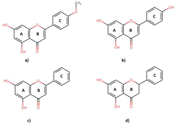
Acacetin, apigenin, chrysin, and pinocembrin are flavonoid aglycones found in foods such as parsley, honey, celery, and chamomile tea. Flavonoids can act as substrates and inhibitors of the CYP3A4 enzyme, a heme containing enzyme responsible for the metabolism of one third of drugs on the market. The aim of this study was to investigate the inhibitory effect of selected flavonoids on the CYP3A4 enzyme, the kinetics of inhibition, the possible covalent binding of the inhibitor to the enzyme, and whether flavonoids can act as pseudo-irreversible inhibitors. For the determination of inhibition kinetics, nifedipine oxidation was used as a marker reaction. A hemochromopyridine test was used to assess the possible covalent binding to the heme, and incubation with dialysis was used in order to assess the reversibility of the inhibition. All the tested flavonoids inhibited the CYP3A4 enzyme activity. Chrysin was the most potent inhibitor: = 2.5 ± 0.6 µM, = 2.4 ± 1.0 µM, = 0.07 ± 0.01 min, / = 0.03 min µM. Chrysin caused the highest reduction of heme (94.5 ± 0.5% residual concentration). None of the tested flavonoids showed pseudo-irreversible inhibition. Although the inactivation of the CYP3A4 enzyme is caused by interaction with heme, inhibitor-heme adducts could not be trapped. These results indicate that flavonoids have the potential to inhibit the CYP3A4 enzyme and interact with other drugs and medications. However, possible food-drug interactions have to be assessed clinically.

摘要

芹菜素、芹菜素、白杨素和松属素是存在于欧芹、蜂蜜、芹菜和甘菊茶等食物中的黄酮类糖苷配基。黄酮类化合物可以作为细胞色素 P4503A4(CYP3A4)酶的底物和抑制剂,CYP3A4 酶是一种含有血红素的酶,负责代谢市场上三分之一的药物。本研究旨在研究选定的黄酮类化合物对 CYP3A4 酶的抑制作用、抑制动力学、抑制剂与酶的可能共价结合以及黄酮类化合物是否可以作为伪不可逆抑制剂。为了确定抑制动力学,使用硝苯地平氧化作为标记反应。使用亚铁血红素吡咯试验来评估与血红素的可能共价结合,并用透析孵育来评估抑制的可逆性。所有测试的黄酮类化合物均抑制 CYP3A4 酶的活性。白杨素是最有效的抑制剂:Ki = 2.5 ± 0.6 µM,Ki = 2.4 ± 1.0 µM,Ki = 0.07 ± 0.01 min,Ki = 0.03 min µM。白杨素导致血红素的还原最高(94.5 ± 0.5%残留浓度)。没有一种黄酮类化合物表现出伪不可逆抑制。尽管 CYP3A4 酶的失活是由于与血红素的相互作用引起的,但抑制剂-血红素加合物不能被捕获。这些结果表明,黄酮类化合物具有抑制 CYP3A4 酶并与其他药物相互作用的潜力。然而,必须在临床上评估可能的食物-药物相互作用。

https://cdn.ncbi.nlm.nih.gov/pmc/blobs/a302/8158701/f4086a41aec5/molecules-26-03018-g005.jpg
https://cdn.ncbi.nlm.nih.gov/pmc/blobs/a302/8158701/e3853e7cda32/molecules-26-03018-g001.jpg
https://cdn.ncbi.nlm.nih.gov/pmc/blobs/a302/8158701/8ae86fed4e98/molecules-26-03018-g002.jpg
https://cdn.ncbi.nlm.nih.gov/pmc/blobs/a302/8158701/510e85a9a32e/molecules-26-03018-g003.jpg
https://cdn.ncbi.nlm.nih.gov/pmc/blobs/a302/8158701/b54e9322bcf3/molecules-26-03018-g004.jpg
https://cdn.ncbi.nlm.nih.gov/pmc/blobs/a302/8158701/f4086a41aec5/molecules-26-03018-g005.jpg
https://cdn.ncbi.nlm.nih.gov/pmc/blobs/a302/8158701/e3853e7cda32/molecules-26-03018-g001.jpg
https://cdn.ncbi.nlm.nih.gov/pmc/blobs/a302/8158701/8ae86fed4e98/molecules-26-03018-g002.jpg
https://cdn.ncbi.nlm.nih.gov/pmc/blobs/a302/8158701/510e85a9a32e/molecules-26-03018-g003.jpg
https://cdn.ncbi.nlm.nih.gov/pmc/blobs/a302/8158701/b54e9322bcf3/molecules-26-03018-g004.jpg
https://cdn.ncbi.nlm.nih.gov/pmc/blobs/a302/8158701/f4086a41aec5/molecules-26-03018-g005.jpg

相似文献

1
Characterization of the CYP3A4 Enzyme Inhibition Potential of Selected Flavonoids.鉴定几种黄酮类化合物对 CYP3A4 酶的抑制潜力。
Molecules. 2021 May 19;26(10):3018. doi: 10.3390/molecules26103018.
2
The Inhibitory Effect of Flavonoid Aglycones on the Metabolic Activity of CYP3A4 Enzyme.黄酮苷元对 CYP3A4 酶代谢活性的抑制作用。
Molecules. 2018 Oct 7;23(10):2553. doi: 10.3390/molecules23102553.
3
On the inhibition of cytochrome P450 3A4 by structurally diversified flavonoids.结构多样的黄酮类化合物对细胞色素P450 3A4的抑制作用
J Biomol Struct Dyn. 2022;40(20):9713-9723. doi: 10.1080/07391102.2021.1932603. Epub 2021 Jun 1.
4
Drug interaction study of flavonoids toward CYP3A4 and their quantitative structure activity relationship (QSAR) analysis for predicting potential effects.黄酮类化合物对 CYP3A4 的药物相互作用研究及其定量构效关系(QSAR)分析用于预测潜在影响。
Toxicol Lett. 2018 Sep 15;294:27-36. doi: 10.1016/j.toxlet.2018.05.008. Epub 2018 May 9.
5
The Effect of Flavonoid Aglycones on the CYP1A2, CYP2A6, CYP2C8 and CYP2D6 Enzymes Activity.黄酮苷元对 CYP1A2、CYP2A6、CYP2C8 和 CYP2D6 酶活性的影响。
Molecules. 2019 Sep 1;24(17):3174. doi: 10.3390/molecules24173174.
6
CYP1A1 and CYP3A4 modulation by dietary flavonoids in human intestinal Caco-2 cells.膳食类黄酮对人肠道Caco-2细胞中CYP1A1和CYP3A4的调节作用
Toxicol Lett. 2009 Dec 15;191(2-3):216-22. doi: 10.1016/j.toxlet.2009.09.002. Epub 2009 Sep 17.
7
In Vitro Screening of Six Protein Kinase Inhibitors for Time-Dependent Inhibition of CYP2C8 and CYP3A4: Possible Implications with regard to Drug-Drug Interactions.六种蛋白激酶抑制剂对 CYP2C8 和 CYP3A4 的时间依赖性抑制的体外筛选:可能与药物相互作用有关。
Basic Clin Pharmacol Toxicol. 2018 Dec;123(6):739-748. doi: 10.1111/bcpt.13088. Epub 2018 Aug 9.
8
In Vitro Inhibition of Human CYP450s 1A2, 2C9, 3A4/5, 2D6 and 2E1 by Grandisin.大豆苷元对人细胞色素P450 1A2、2C9、3A4/5、2D6和2E1的体外抑制作用
Planta Med. 2017 May;83(8):727-736. doi: 10.1055/s-0042-124615. Epub 2017 Jan 10.
9
Inhibitory Effect of Root on the Cytochrome P450 3A Enzyme in vitro and in vivo.根对细胞色素 P450 3A 酶的体外和体内抑制作用。
Drug Des Devel Ther. 2020 May 19;14:1909-1919. doi: 10.2147/DDDT.S249308. eCollection 2020.
10
Therapeutic drugs that behave as mechanism-based inhibitors of cytochrome P450 3A4.作为细胞色素P450 3A4基于机制的抑制剂的治疗药物。
Curr Drug Metab. 2004 Oct;5(5):415-42. doi: 10.2174/1389200043335450.

引用本文的文献

1
How Plant Polyhydroxy Flavonoids Can Hinder the Metabolism of Cytochrome 3A4.植物多羟基黄酮如何阻碍细胞色素3A4的代谢。
Biomedicines. 2025 Mar 7;13(3):655. doi: 10.3390/biomedicines13030655.
2
Potential Interaction of Pinocembrin with Drug Transporters and Hepatic Drug-Metabolizing Enzymes.白杨素与药物转运体及肝脏药物代谢酶的潜在相互作用。
Pharmaceuticals (Basel). 2025 Jan 1;18(1):42. doi: 10.3390/ph18010042.
3
Andrews (Haw.) Improves Losartan's Antihypertensive Activity.安德鲁司(山楂)增强氯沙坦的抗高血压活性。

本文引用的文献

1
Using consumption and reward simulations to increase the appeal of plant-based foods.利用消费和奖励模拟来提高植物性食品的吸引力。
Appetite. 2020 Dec 1;155:104812. doi: 10.1016/j.appet.2020.104812. Epub 2020 Aug 19.
2
Consumption of Korean Foods with High Flavonoid Contents Reduces the Likelihood of Having Elevated C-Reactive Protein Levels: Data from the 2015-2017 Korea National Health and Nutrition Examination Survey.食用富含类黄酮的韩国食品可降低 C-反应蛋白水平升高的可能性:来自 2015-2017 年韩国国家健康和营养检查调查的数据。
Nutrients. 2019 Oct 4;11(10):2370. doi: 10.3390/nu11102370.
3
The Inhibitory Effect of Flavonoid Aglycones on the Metabolic Activity of CYP3A4 Enzyme.
Molecules. 2024 Dec 20;29(24):6010. doi: 10.3390/molecules29246010.
4
Isolation, Characterization, In Vitro and In Silico Assessment of Undescribed Bioactive Constituents from L. Heartwood.来自L. 心材中未描述的生物活性成分的分离、表征、体外和计算机模拟评估。
ACS Omega. 2024 Dec 2;9(50):49013-49022. doi: 10.1021/acsomega.3c10180. eCollection 2024 Dec 17.
5
Cardiovascular Effects of Herbal Products and Their Interaction with Antihypertensive Drugs-Comprehensive Review.草药产品对心血管的影响及其与抗高血压药物的相互作用——综合评价。
Int J Mol Sci. 2024 Jun 9;25(12):6388. doi: 10.3390/ijms25126388.
6
Unveiling potent inhibitors for schistosomiasis through ligand-based drug design, molecular docking, molecular dynamics simulations and pharmacokinetics predictions.通过基于配体的药物设计、分子对接、分子动力学模拟和药代动力学预测揭示血吸虫病的有效抑制剂。
PLoS One. 2024 Jun 26;19(6):e0302390. doi: 10.1371/journal.pone.0302390. eCollection 2024.
7
Pharmacological Mechanism of Herbal Interventions for Bipolar Disorder.草药干预双相障碍的药理机制。
Curr Pharm Des. 2024;30(24):1867-1879. doi: 10.2174/0113816128312442240519184440.
8
Flavonoids as CYP3A4 Inhibitors In Vitro.黄酮类化合物作为CYP3A4体外抑制剂
Biomedicines. 2024 Mar 13;12(3):644. doi: 10.3390/biomedicines12030644.
9
Physcion inhibition of CYP2C9, 2D6 and 3A4 in human liver microsomes.大黄酸抑制人肝微粒体中 CYP2C9、2D6 和 3A4。
Pharm Biol. 2024 Dec;62(1):207-213. doi: 10.1080/13880209.2024.2314089. Epub 2024 Feb 14.
10
Effects of Dietary Flavonoids on the Metabolism of Vortioxetine and its Potential Mechanism.膳食类黄酮对伏硫西汀代谢的影响及其潜在机制
Curr Med Chem. 2024;31(23):3624-3630. doi: 10.2174/0929867330666230607104411.
黄酮苷元对 CYP3A4 酶代谢活性的抑制作用。
Molecules. 2018 Oct 7;23(10):2553. doi: 10.3390/molecules23102553.
4
Apigenin suppresses the apoptosis of H9C2 rat cardiomyocytes subjected to myocardial ischemia‑reperfusion injury via upregulation of the PI3K/Akt pathway.芹菜素通过上调 PI3K/Akt 通路抑制心肌缺血再灌注损伤大鼠心肌细胞凋亡。
Mol Med Rep. 2018 Aug;18(2):1560-1570. doi: 10.3892/mmr.2018.9115. Epub 2018 May 31.
5
Acute metabolic actions of the major polyphenols in chamomile: an in vitro mechanistic study on their potential to attenuate postprandial hyperglycaemia.洋甘菊主要多酚的急性代谢作用:体外研究其减轻餐后高血糖的潜在机制。
Sci Rep. 2018 Apr 3;8(1):5471. doi: 10.1038/s41598-018-23736-1.
6
Plant flavone apigenin: An emerging anticancer agent.植物黄酮芹菜素:一种新兴的抗癌剂。
Curr Pharmacol Rep. 2017 Dec;3(6):423-446. doi: 10.1007/s40495-017-0113-2. Epub 2017 Oct 14.
7
Chrysin: Sources, beneficial pharmacological activities, and molecular mechanism of action.白杨素:来源、有益的药理活性及作用分子机制
Phytochemistry. 2018 Jan;145:187-196. doi: 10.1016/j.phytochem.2017.09.016. Epub 2017 Nov 20.
8
Flavones: Food Sources, Bioavailability, Metabolism, and Bioactivity.类黄酮:食物来源、生物利用度、代谢和生物活性。
Adv Nutr. 2017 May 15;8(3):423-435. doi: 10.3945/an.116.012948. Print 2017 May.
9
Role of Apigenin in Cancer Prevention via the Induction of Apoptosis and Autophagy.芹菜素通过诱导细胞凋亡和自噬在癌症预防中的作用。
J Cancer Prev. 2016 Dec;21(4):216-226. doi: 10.15430/JCP.2016.21.4.216. Epub 2016 Dec 30.
10
Estimation of dietary flavonoid intake and major food sources of Korean adults.韩国成年人膳食类黄酮摄入量及主要食物来源的估计。
Br J Nutr. 2016 Feb 14;115(3):480-9. doi: 10.1017/S0007114515004006. Epub 2015 Oct 22.