Suppr超能文献

功能化二乙基(吡咯烷-2-基)膦酸酯和二乙基(5-氧代吡咯烷-2-基)膦酸酯的合成。

Synthesis of Functionalized Diethyl(pyrrolidin-2-yl)phosphonate and Diethyl(5-oxopyrrolidin-2-yl)phosphonate.

机构信息

Bioorganic Chemistry Laboratory, Faculty of Pharmacy, Medical University of Lodz, 90-151 Lodz, Poland.

出版信息

Molecules. 2021 May 25;26(11):3160. doi: 10.3390/molecules26113160.

Abstract

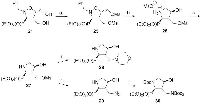
Short and efficient syntheses of functionalized (pyrrolidin-2-yl)phosphonate and (5-oxopyrrolidin-2-yl)phosphonate have been developed. The synthetic strategy involved the diastereospecific 1,3-dipolar cycloaddition of -benzyl--(diethoxyphosphoryl)nitrone to -1,4-dihydroxybut-2-ene and dimethyl maleate, respectively. ,-Diethyl 3-carbamoyl-4-hydroxy(5-oxopyrrolidin-2-yl)phosphonate was obtained from ,-diethyl 2-benzyl-4,5-dimethoxycarbonyl(isoxazolidin-3-yl)phosphonate by hydrogenation and subsequent treatment with ammonia, whereas transformation of ,-diethyl 2-benzyl-4,5-dihydroxymethyl(isoxazolidin-3-yl)phosphonate into ,-diethyl 3-aminomethyl-4-hydroxy(pyrrolidin-2-yl)phosphonate was accomplished by mesylation followed by hydrogenolysis to undergo intramolecular cyclization and the introduction of amino group via ammonolysis. Stereochemistry of the isoxazolidine cycloadducts, as well as the final functionalized (pyrrolidin-2-yl)- and (5-oxopyrrolidin-2-yl)phosphonates were established based on conformational analyses using vicinal H-H, H-P, and C-P couplings and supported by the observed diagnostic NOESY correlation signals.

摘要

已开发出一种(吡咯烷-2-基)膦酸酯和(5-氧代吡咯烷-2-基)膦酸酯的短捷高效合成方法。该合成策略涉及到 -苯甲基--(二乙氧基膦酰基)氮氧化物与 -1,4-二羟基丁-2-烯和马来酸二甲酯的非对映选择性 1,3-偶极环加成反应。通过氢化和随后用氨处理,从 -二乙基 2-苄基-4,5-二甲氧羰基(异恶唑烷-3-基)膦酸酯获得 -二乙基 3-氨基甲酰基-4-羟基(5-氧代吡咯烷-2-基)膦酸酯,而 -二乙基 2-苄基-4,5-二羟甲基(异恶唑烷-3-基)膦酸酯通过甲磺酸化随后进行氢解进行分子内环化和通过氨解引入氨基,转化为 -二乙基 3-氨甲基-4-羟基(吡咯烷-2-基)膦酸酯。异恶唑烷环加成产物的立体化学以及最终的功能化(吡咯烷-2-基)-和(5-氧代吡咯烷-2-基)膦酸酯的立体化学是基于使用相邻 H-H、H-P 和 C-P 偶合的构象分析确定的,并得到了观察到的诊断性 NOESY 相关信号的支持。

https://cdn.ncbi.nlm.nih.gov/pmc/blobs/c277/8197975/7f79a1f64e65/molecules-26-03160-g001.jpg

文献AI研究员

20分钟写一篇综述,助力文献阅读效率提升50倍。

立即体验

用中文搜PubMed

大模型驱动的PubMed中文搜索引擎

马上搜索

文档翻译

学术文献翻译模型,支持多种主流文档格式。

立即体验