Suppr超能文献

生物对流薄 Oldroyd-B 纳米流体沉积的计算优化与熵产生。

Computational optimization for the deposition of bioconvection thin Oldroyd-B nanofluid with entropy generation.

机构信息

Department of Mathematics, Faculty of Science, King Mongkut's University of Technology Thonburi (KMUTT), 126 Pracha-Uthit Road, Bang Mod, Thung Khru, Bangkok, 10140, Thailand.

KMUTTFixed Point Research Laboratory, Room SCL 802 Fixed Point Laboratory, Science Laboratory Building, Department of Mathematics, Faculty of Science, King Mongkut's University of Technology Thonburi (KMUTT), 126 Pracha-Uthit Road, Bang Mod, Thung Khru, Bangkok, 10140, Thailand.

出版信息

Sci Rep. 2021 Jun 2;11(1):11641. doi: 10.1038/s41598-021-91041-5.

Abstract

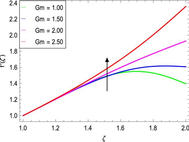
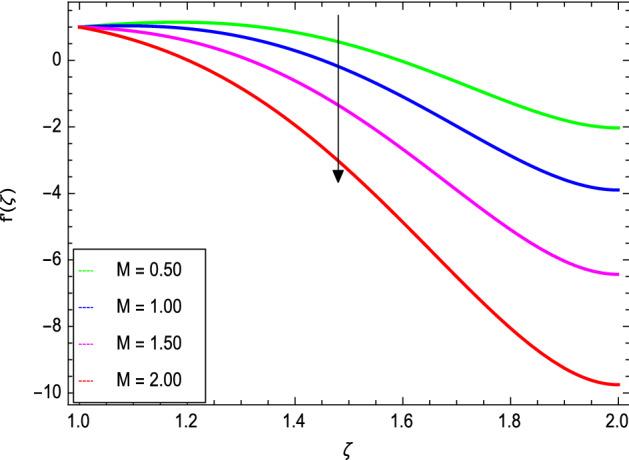
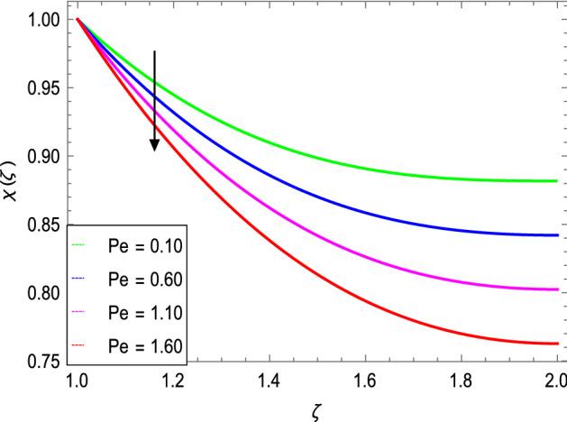
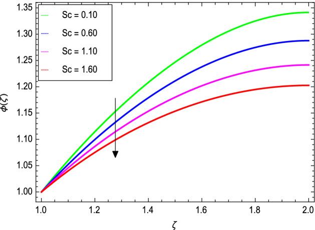
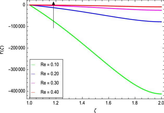
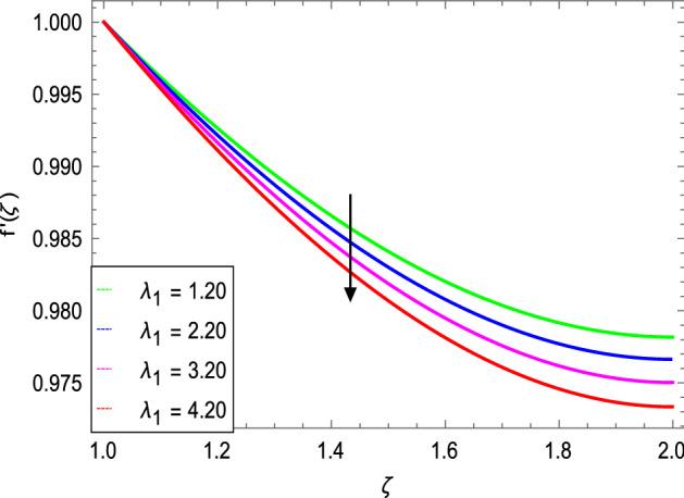
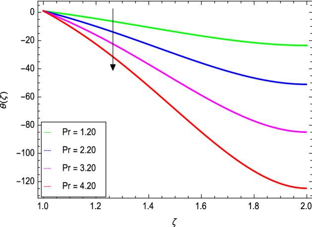
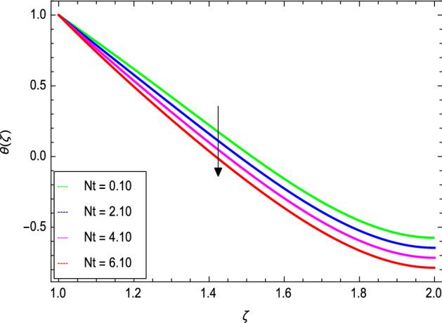
The behavior of an Oldroyd-B nanoliquid film sprayed on a stretching cylinder is investigated. The system also contains gyrotactic microorganisms with heat and mass transfer flow. Similarity transformations are used to make the governing equations non-dimensional ordinary differential equations and subsequently are solved through an efficient and powerful analytic technique namely homotopy analysis method (HAM). The roles of all dimensionless profiles and spray rate have been investigated. Velocity decreases with the magnetic field strength and Oldroyd-B nanofluid parameter. Temperature is increased with increasing the Brownian motion parameter while it is decreased with the increasing values of Prandtl and Reynolds numbers. Nanoparticle's concentration is enhanced with the higher values of Reynolds number and activation energy parameter. Gyrotactic microorganism density increases with bioconvection Rayleigh number while it decreases with Peclet number. The film size naturally increases with the spray rate in a nonlinear way. A close agreement is achieved by comparing the present results with the published results.

摘要

研究了喷射在拉伸圆柱上的 Oldroyd-B 纳米液膜的行为。该系统还包含具有热和传质流的趋磁细菌。相似变换被用来将控制方程转化为无量纲常微分方程,然后通过一种高效强大的分析技术即同伦分析方法(HAM)进行求解。研究了所有无量纲分布和喷射率的作用。速度随磁场强度和 Oldroyd-B 纳米流体参数的增加而减小。温度随布朗运动参数的增加而增加,而随普朗特数和雷诺数的增加而减小。纳米颗粒的浓度随雷诺数和激活能参数的增加而增加。趋磁微生物密度随生物对流瑞利数的增加而增加,随佩克莱数的增加而减小。薄膜尺寸以非线性方式随喷雾速率自然增加。通过将当前结果与已发表的结果进行比较,得到了很好的一致性。

https://cdn.ncbi.nlm.nih.gov/pmc/blobs/9b98/8172934/0fb3fd8f6e73/41598_2021_91041_Fig1_HTML.jpg

文献AI研究员

20分钟写一篇综述,助力文献阅读效率提升50倍。

立即体验

用中文搜PubMed

大模型驱动的PubMed中文搜索引擎

马上搜索

文档翻译

学术文献翻译模型,支持多种主流文档格式。

立即体验