• 文献检索
  • 文档翻译
  • 深度研究
  • 学术资讯
  • Suppr Zotero 插件Zotero 插件
  • 邀请有礼
  • 套餐&价格
  • 历史记录
应用&插件
Suppr Zotero 插件Zotero 插件浏览器插件Mac 客户端Windows 客户端微信小程序
定价
高级版会员购买积分包购买API积分包
服务
文献检索文档翻译深度研究API 文档MCP 服务
关于我们
关于 Suppr公司介绍联系我们用户协议隐私条款
关注我们

Suppr 超能文献

核心技术专利:CN118964589B侵权必究
粤ICP备2023148730 号-1Suppr @ 2026

文献检索

告别复杂PubMed语法,用中文像聊天一样搜索,搜遍4000万医学文献。AI智能推荐,让科研检索更轻松。

立即免费搜索

文件翻译

保留排版,准确专业,支持PDF/Word/PPT等文件格式,支持 12+语言互译。

免费翻译文档

深度研究

AI帮你快速写综述,25分钟生成高质量综述,智能提取关键信息,辅助科研写作。

立即免费体验

儿童和青少年甲状腺乳头状癌颈转移淋巴结射频消融治疗的初步研究。

Radiofrequency Ablation for Cervical Metastatic Lymph Nodes in Children and Adolescents With Papillary Thyroid Carcinoma: A Preliminary Study.

机构信息

Department of Ultrasound, First Medical Center, Chinese People's Liberation Army (PLA) General Hospital, Beijing, China.

出版信息

Front Endocrinol (Lausanne). 2021 May 18;12:624054. doi: 10.3389/fendo.2021.624054. eCollection 2021.

DOI:10.3389/fendo.2021.624054
PMID:34084150
原文链接:https://pmc.ncbi.nlm.nih.gov/articles/PMC8167037/
Abstract

OBJECTIVE

To evaluate the safety and efficacy of radiofrequency ablation (RFA) for metastatic lymph nodes (LNs) in children and adolescents with papillary Thyroid Carcinoma (PTC).

MATERIALS AND METHODS

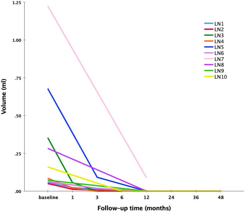
From December 2014 to March 2018, 10 metastatic LNs(mean volume 0.30 ± 0.38 ml, range 0.06-1.23ml) in 5 children and adolescents (3 females, 2 males; mean age 15.60 ± 2.97 years, range 12-19 years) with PTC treated by RFA were evaluated in this study. The mean number of surgical procedures performed before RFA was 1.2 (range 1-2) and the mean number of treated metastatic LNs per patient was 2 (rang 1-3). RFA was performed with an 18-gauge bipolar RF applicator under local anesthesia. Follow-up consisted of US and serum thyroglobulin (Tg) level at 1, 3, 6, 12 months and every 12 months thereafter.

RESULTS

All the patients were well tolerant to RFA procedure and no procedure-related complications occurred. During a mean follow-up time of 52.00 ± 21.44 months, the initial volume of LNs was 0.30 ± 0.38 ml, which significantly decreased to 0.01 ± 0.03 ml ( = 0.005) with a mean VRR of 99.28 ± 2.27%. A total of 9 metastatic LNs (90.00%) completely disappeared. After RFA, 2 patients developed newly metastases. One patient had additional RFA. The other one with multiple LN metastases underwent total thyroidectomy with central neck dissection.

CONCLUSION

As a less invasive and effective technique, RFA may provide another alternative to the existing therapeutic modalities for cervical metastatic LNs in children and adolescents with PTC.

摘要

目的

评估射频消融(RFA)治疗儿童和青少年甲状腺乳头状癌(PTC)转移性淋巴结(LNs)的安全性和疗效。

材料和方法

从 2014 年 12 月至 2018 年 3 月,对 5 例(3 例女性,2 例男性;平均年龄 15.60 ± 2.97 岁,范围 12-19 岁)患有 PTC 的儿童和青少年的 10 个转移性 LNs(平均体积 0.30 ± 0.38ml,范围 0.06-1.23ml)进行了 RFA 治疗。在 RFA 之前,平均进行了 1.2 次(范围 1-2 次)手术,每位患者的平均治疗转移性 LNs 数量为 2 个(范围 1-3 个)。RFA 在局部麻醉下使用 18G 双极 RF 应用器进行。随访包括超声和血清甲状腺球蛋白(Tg)水平在 1、3、6、12 个月以及此后每 12 个月。

结果

所有患者均能耐受 RFA 手术,无手术相关并发症发生。在平均 52.00 ± 21.44 个月的随访期间,LNs 的初始体积为 0.30 ± 0.38ml,明显减少至 0.01 ± 0.03ml( = 0.005),平均 VR 为 99.28 ± 2.27%。共有 9 个(90.00%)转移性 LNs 完全消失。RFA 后,2 例患者出现新的转移。1 例患者进行了额外的 RFA。另一位患有多个 LNs 转移的患者接受了全甲状腺切除术和中央颈部淋巴结清扫术。

结论

作为一种微创且有效的技术,RFA 可能为儿童和青少年 PTC 颈转移性 LNs 的现有治疗方法提供另一种选择。

https://cdn.ncbi.nlm.nih.gov/pmc/blobs/ebdc/8167037/4a7a97a6ff0e/fendo-12-624054-g002.jpg
https://cdn.ncbi.nlm.nih.gov/pmc/blobs/ebdc/8167037/785b6b254ef3/fendo-12-624054-g001.jpg
https://cdn.ncbi.nlm.nih.gov/pmc/blobs/ebdc/8167037/4a7a97a6ff0e/fendo-12-624054-g002.jpg
https://cdn.ncbi.nlm.nih.gov/pmc/blobs/ebdc/8167037/785b6b254ef3/fendo-12-624054-g001.jpg
https://cdn.ncbi.nlm.nih.gov/pmc/blobs/ebdc/8167037/4a7a97a6ff0e/fendo-12-624054-g002.jpg

相似文献

1
Radiofrequency Ablation for Cervical Metastatic Lymph Nodes in Children and Adolescents With Papillary Thyroid Carcinoma: A Preliminary Study.儿童和青少年甲状腺乳头状癌颈转移淋巴结射频消融治疗的初步研究。
Front Endocrinol (Lausanne). 2021 May 18;12:624054. doi: 10.3389/fendo.2021.624054. eCollection 2021.
2
Ultrasound-guided Radiofrequency Ablation for Cervical Lymph Nodes Metastasis from Papillary Thyroid Carcinoma.超声引导下射频消融治疗甲状腺乳头状癌颈部淋巴结转移
Zhongguo Yi Xue Ke Xue Yuan Xue Bao. 2018 Feb 28;40(1):67-71. doi: 10.3881/j.issn.1000-503X.2018.01.010.
3
Efficacy and safety of percutaneous ultrasound guided radiofrequency ablation for treating cervical metastatic lymph nodes from papillary thyroid carcinoma.经皮超声引导下射频消融治疗甲状腺乳头状癌颈部转移淋巴结的疗效与安全性
J Cancer Res Clin Oncol. 2017 Aug;143(8):1555-1562. doi: 10.1007/s00432-017-2386-6. Epub 2017 Mar 24.
4
Efficacy and safety of percutaneous ultrasound-guided thermal ablation in the treatment of cervical metastatic lymph nodes from papillary thyroid carcinoma.经皮超声引导热消融治疗甲状腺乳头状癌颈淋巴结转移的疗效及安全性。
Clin Hemorheol Microcirc. 2024;87(1):77-87. doi: 10.3233/CH-231998.
5
Efficacy and safety of microwave ablation for cervical metastatic lymph nodes arising post resection of papillary thyroid carcinoma: a retrospective study.微波消融治疗甲状腺癌术后颈淋巴结转移的疗效和安全性:一项回顾性研究。
Int J Hyperthermia. 2020;37(1):450-455. doi: 10.1080/02656736.2020.1759829.
6
Ultrasonography-guided percutaneous radiofrequency ablation for cervical lymph node metastasis from thyroid carcinoma.超声引导下经皮射频消融治疗甲状腺癌颈部淋巴结转移
J Cancer Res Ther. 2014 Nov;10 Suppl:C144-9. doi: 10.4103/0973-1482.145844.
7
Longer-term outcomes of radiofrequency ablation for locally recurrent papillary thyroid cancer.射频消融治疗局部复发性甲状腺乳头状癌的长期疗效。
Eur Radiol. 2019 Sep;29(9):4897-4903. doi: 10.1007/s00330-019-06063-5. Epub 2019 Feb 25.
8
Safety and efficacy of thermal ablation for cervical metastatic lymph nodes in papillary thyroid carcinoma: A systematic review and meta-analysis.热消融治疗甲状腺乳头状癌颈转移淋巴结的安全性和有效性:系统评价和荟萃分析。
Front Endocrinol (Lausanne). 2022 Aug 22;13:967044. doi: 10.3389/fendo.2022.967044. eCollection 2022.
9
Risk factors for level V metastasis in patients with N1b papillary thyroid cancer.N1b 期甲状腺乳头状癌患者发生 V 区转移的危险因素。
World J Surg Oncol. 2022 Sep 30;20(1):327. doi: 10.1186/s12957-022-02782-0.
10
Radiofrequency ablation for treatment of locally recurrent thyroid cancer presenting as a metastatic lymph node with dense macrocalcification: A case report and literature review.射频消融治疗表现为伴有致密粗大钙化的转移性淋巴结的局部复发性甲状腺癌:病例报告及文献综述
Medicine (Baltimore). 2018 Mar;97(9):e0003. doi: 10.1097/MD.0000000000010003.

引用本文的文献

1
Treatment outcomes in patients with papillary thyroid cancer undergoing radiofrequency ablation of metastatic lymph nodes.接受转移性淋巴结射频消融治疗的甲状腺乳头状癌患者的治疗结果
Gland Surg. 2024 Oct 31;13(10):1752-1758. doi: 10.21037/gs-24-285. Epub 2024 Oct 26.
2
Long-term Effectiveness of Ethanol Ablation in Controlling Neck Nodal Metastases in Childhood Papillary Thyroid Cancer.乙醇消融术对儿童乳头状甲状腺癌颈部淋巴结转移的长期控制效果
J Endocr Soc. 2023 May 17;7(7):bvad065. doi: 10.1210/jendso/bvad065. eCollection 2023 Jun 5.
3
Safety and efficacy of thermal ablation for cervical metastatic lymph nodes in papillary thyroid carcinoma: A systematic review and meta-analysis.

本文引用的文献

1
Safety and Efficacy of Radiofrequency Ablation for Nonfunctioning Benign Thyroid Nodules in Children and Adolescents in 14 Patients over a 10-Year Period.射频消融治疗儿童和青少年 14 例非功能性良性甲状腺结节 10 年随访结果:安全性和有效性评估。
J Vasc Interv Radiol. 2019 Jun;30(6):900-906. doi: 10.1016/j.jvir.2018.10.034. Epub 2019 Apr 5.
2
Longer-term outcomes of radiofrequency ablation for locally recurrent papillary thyroid cancer.射频消融治疗局部复发性甲状腺乳头状癌的长期疗效。
Eur Radiol. 2019 Sep;29(9):4897-4903. doi: 10.1007/s00330-019-06063-5. Epub 2019 Feb 25.
3
Reiterative Radiofrequency Ablation in the Management of Pediatric Patients with Hepatoblastoma Metastases to the Lung, Liver, or Bone.
热消融治疗甲状腺乳头状癌颈转移淋巴结的安全性和有效性:系统评价和荟萃分析。
Front Endocrinol (Lausanne). 2022 Aug 22;13:967044. doi: 10.3389/fendo.2022.967044. eCollection 2022.
反复射频消融术治疗小儿肝母细胞瘤肺、肝或骨转移
Cardiovasc Intervent Radiol. 2019 Jan;42(1):41-47. doi: 10.1007/s00270-018-2097-7. Epub 2018 Oct 22.
4
2017 Thyroid Radiofrequency Ablation Guideline: Korean Society of Thyroid Radiology.2017 年甲状腺射频消融治疗指南:韩国甲状腺放射学会。
Korean J Radiol. 2018 Jul-Aug;19(4):632-655. doi: 10.3348/kjr.2018.19.4.632. Epub 2018 Jun 14.
5
Disease Burden and Outcome in Children and Young Adults With Concurrent Graves Disease and Differentiated Thyroid Carcinoma.儿童和青少年 Graves 病与分化型甲状腺癌并存的疾病负担和结局。
J Clin Endocrinol Metab. 2018 Aug 1;103(8):2918-2925. doi: 10.1210/jc.2018-00026.
6
Cervical Lymph Node Metastases of Papillary Thyroid Carcinoma, in the Central and Lateral Compartments, in Children and Adolescents: Predictive Factors.儿童和青少年甲状腺乳头状癌中央区和侧方区颈部淋巴结转移的预测因素
World J Surg. 2018 Aug;42(8):2444-2453. doi: 10.1007/s00268-018-4487-z.
7
Surgery for Neck Recurrence of Differentiated Thyroid Cancer: Outcomes and Risk Factors.分化型甲状腺癌颈部复发的手术治疗:结果与风险因素
J Clin Endocrinol Metab. 2017 Mar 1;102(3):1020-1031. doi: 10.1210/jc.2016-3284.
8
Efficacy and safety of percutaneous ultrasound guided radiofrequency ablation for treating cervical metastatic lymph nodes from papillary thyroid carcinoma.经皮超声引导下射频消融治疗甲状腺乳头状癌颈部转移淋巴结的疗效与安全性
J Cancer Res Clin Oncol. 2017 Aug;143(8):1555-1562. doi: 10.1007/s00432-017-2386-6. Epub 2017 Mar 24.
9
AASLD guidelines for the treatment of hepatocellular carcinoma.美国肝病研究学会肝细胞癌治疗指南。
Hepatology. 2018 Jan;67(1):358-380. doi: 10.1002/hep.29086.
10
Management of Small Renal Masses: American Society of Clinical Oncology Clinical Practice Guideline.小肾肿瘤的治疗管理:美国临床肿瘤学会临床实践指南。
J Clin Oncol. 2017 Feb 20;35(6):668-680. doi: 10.1200/JCO.2016.69.9645. Epub 2017 Jan 17.