Suppr超能文献

基于英国生物银行数据的英国健康居民六种可溶性和不溶性纤维摄入量的参考值。

Reference values for intake of six types of soluble and insoluble fibre in healthy UK inhabitants based on the UK Biobank data.

作者信息

Shevlyakov Artem, Nikogosov Dimitri, Stewart Leigh-Ann, Toribio-Mateas Miguel

机构信息

Atlas Biomed Group Limited, Tower Bridge House, St. Katharines Way, LondonE1W 1DD, UK.

School of Health and Education, Middlesex University, The Burroughs, London, UK.

出版信息

Public Health Nutr. 2021 Jun 9;25(5):1-15. doi: 10.1017/S1368980021002524.

Abstract

OBJECTIVE

To obtain a set of reference values for the intake of different types of dietary fibre in a healthy UK population.

DESIGN

This descriptive cross-sectional study used the UK Biobank data to estimate the dietary patterns of healthy individuals. Data on fibre content in different foods were used to calculate the reference values which were then calibrated using real-world data on total fibre intake.

SETTING

UK Biobank is a prospective cohort study of over 500 000 individuals from across the United Kingdom with the participants aged between 40 and 69 years.

PARTICIPANTS

UK Biobank contains information on over 500 000 participants. This study was performed using the data on 19 990 individuals (6941 men, 13 049 women) who passed stringent quality control and filtering procedures and had reported above-zero intake of the analysed foods.

RESULTS

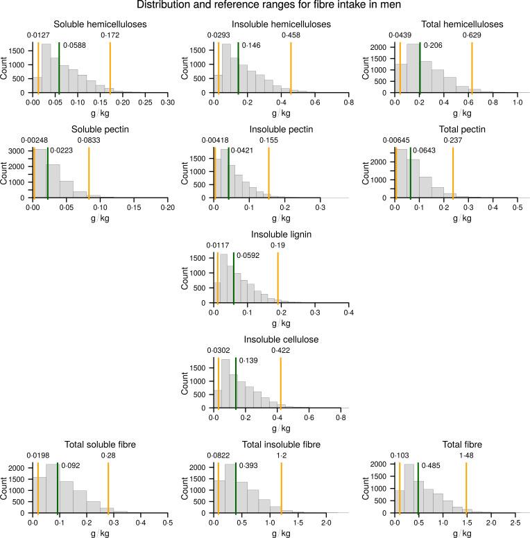
A set of reference values for the intake of six different types of soluble and insoluble fibres (cellulose, hemicelluloses, pectin and lignin), including the corresponding totals, was developed and calibrated using real-world data.

CONCLUSIONS

To our knowledge, this is the first study to establish specific reference values for the intake of different types of dietary fibre. It is well known that effects exerted by different types of fibre both directly and through modulation of microbiota are numerous. Conceivably, a deficit or excess intake of specific types of dietary fibre may detrimentally affect human health. Filling this knowledge gap opens new avenues for research in discussion in studies of nutrition and microbiota and offers valuable tools for practitioners worldwide.

摘要

目的

获取英国健康人群不同类型膳食纤维摄入量的一组参考值。

设计

这项描述性横断面研究利用英国生物银行的数据来估计健康个体的饮食模式。不同食物中纤维含量的数据用于计算参考值,然后使用总纤维摄入量的实际数据进行校准。

背景

英国生物银行是一项针对英国50多万名年龄在40至69岁之间个体的前瞻性队列研究。

参与者

英国生物银行包含超过50万名参与者的信息。本研究使用了19990名个体(6941名男性,13049名女性)的数据,这些个体通过了严格的质量控制和筛选程序,并且报告了所分析食物的摄入量高于零。

结果

开发并使用实际数据校准了六种不同类型的可溶性和不可溶性纤维(纤维素、半纤维素、果胶和木质素)摄入量的一组参考值,包括相应的总量。

结论

据我们所知,这是第一项为不同类型膳食纤维摄入量建立特定参考值的研究。众所周知,不同类型的纤维直接以及通过调节微生物群所产生的影响众多。可以想象,特定类型膳食纤维的摄入不足或过量可能会对人类健康产生不利影响。填补这一知识空白为营养与微生物群研究的讨论开辟了新的研究途径,并为全球从业者提供了有价值的工具。

https://cdn.ncbi.nlm.nih.gov/pmc/blobs/f998/10448385/177d6e83e2ca/S1368980021002524_fig1.jpg

文献AI研究员

20分钟写一篇综述,助力文献阅读效率提升50倍。

立即体验

用中文搜PubMed

大模型驱动的PubMed中文搜索引擎

马上搜索

文档翻译

学术文献翻译模型,支持多种主流文档格式。

立即体验