Suppr超能文献

MMMELD-XI评分与射血分数保留的心力衰竭患者的短期不良事件相关。

MMMELD-XI Score Is Associated With Short-Term Adverse Events in Patients With Heart Failure With Preserved Ejection Fraction.

作者信息

Wang Sunying, Wang Yuwei, Luo Manqing, Lin Kaiyang, Xie Xiaoxu, Lin Na, Yang Qingyong, Zou Tian, Chen Xinan, Xie Xianwei, Guo Yansong

机构信息

Department of Cardiology, Shengli Clinical Medical College, Fujian Medical University, Fuzhou, China.

出版信息

Front Cardiovasc Med. 2021 May 25;8:650191. doi: 10.3389/fcvm.2021.650191. eCollection 2021.

Abstract

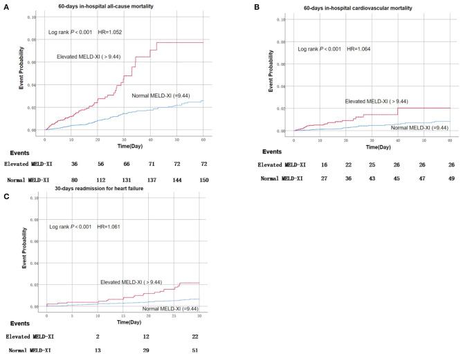
Accumulating evidence suggests that MELD-XI score holds the ability to predict the prognosis of congestive heart failure. However, most of the evidence is based on the end-stage heart failure population; thus, we aim to explore the association between the MELD-XI score and the prognosis in heart failure with preserved ejection fraction (HFpEF). A total of 30,096 patients hospitalized for HFpEF in Fujian Provincial Hospital between January 1, 2014 and July 17, 2020 with available measures of creatinine and liver function were enrolled. The primary endpoint was 60-day in-hospital all-cause mortality. Secondary endpoints were 60-day in-hospital cardiovascular mortality and 30-day rehospitalization for heart failure. A total of 222 patients died within 60 days after admission, among which 75 deaths were considered cardiogenic. And 73 patients were readmitted for heart failure within 30 days after discharge. Generally, patients with an elevated MELD-XI score tended to have more comorbidities, higher NYHA class, and higher inflammatory biomarkers levels. Meanwhile, the MELD-XI score was positively correlated with NT-pro BNP, left atrial diameter, E/e' and negatively correlated with LVEF. After adjusting for conventional risk factors, the MELD-XI score was independently associated with 60-day in-hospital all-cause mortality [hazard ratio(HR) = 1.052, 95% confidential interval (CI) 1.022-1.083, = 0.001], 60-day in-hospital cardiovascular mortality (HR = 1.064, 95% CI 1.013-1.118, = 0.014), and 30-day readmission for heart failure (HR = 1.061, 95% CI 1.015-1.108, = 0.009). Furthermore, the MELD-XI score added an incremental discriminatory capacity to risk stratification models developed based on this cohort. The MELD-XI score was associated with short-term adverse events and provided additional discriminatory capacity to risk stratification models in patients hospitalized for HFpEF.

摘要

越来越多的证据表明,MELD-XI评分能够预测充血性心力衰竭的预后。然而,大多数证据是基于终末期心力衰竭人群;因此,我们旨在探讨MELD-XI评分与射血分数保留的心力衰竭(HFpEF)患者预后之间的关联。纳入了2014年1月1日至2020年7月17日期间在福建省立医院因HFpEF住院且有肌酐和肝功能可用测量值的30096例患者。主要终点是60天内住院全因死亡率。次要终点是60天内住院心血管死亡率和30天内心力衰竭再住院率。共有222例患者在入院后60天内死亡,其中75例死亡被认为是心源性的。73例患者在出院后30天内因心力衰竭再次入院。总体而言,MELD-XI评分升高的患者往往合并症更多、纽约心脏协会(NYHA)分级更高且炎症生物标志物水平更高。同时MELD-XI评分与N末端脑钠肽前体(NT-pro BNP)、左心房直径、E/A比值正相关,与左心室射血分数(LVEF)负相关。在调整传统危险因素后,MELD-XI评分与60天内住院全因死亡率独立相关[风险比(HR)=1.052,95%置信区间(CI)1.022 - 1.083,P = 0.001]、60天内住院心血管死亡率(HR = 1.064,95%CI 1.013 - 1.118,P = 0.014)以及30天内心力衰竭再住院率(HR = 1.061,95%CI 1.015 - 1.108,P = 0.009)。此外,MELD-XI评分增强了基于该队列开发的风险分层模型的鉴别能力。MELD-XI评分与短期不良事件相关,并为因HFpEF住院患者的风险分层模型提供了额外的鉴别能力。

https://cdn.ncbi.nlm.nih.gov/pmc/blobs/24a2/8186531/0fcc7451d688/fcvm-08-650191-g0001.jpg

文献AI研究员

20分钟写一篇综述,助力文献阅读效率提升50倍。

立即体验

用中文搜PubMed

大模型驱动的PubMed中文搜索引擎

马上搜索

文档翻译

学术文献翻译模型,支持多种主流文档格式。

立即体验