• 文献检索
  • 文档翻译
  • 深度研究
  • 学术资讯
  • Suppr Zotero 插件Zotero 插件
  • 邀请有礼
  • 套餐&价格
  • 历史记录
应用&插件
Suppr Zotero 插件Zotero 插件浏览器插件Mac 客户端Windows 客户端微信小程序
定价
高级版会员购买积分包购买API积分包
服务
文献检索文档翻译深度研究API 文档MCP 服务
关于我们
关于 Suppr公司介绍联系我们用户协议隐私条款
关注我们

Suppr 超能文献

核心技术专利:CN118964589B侵权必究
粤ICP备2023148730 号-1Suppr @ 2026

文献检索

告别复杂PubMed语法,用中文像聊天一样搜索,搜遍4000万医学文献。AI智能推荐,让科研检索更轻松。

立即免费搜索

文件翻译

保留排版,准确专业,支持PDF/Word/PPT等文件格式,支持 12+语言互译。

免费翻译文档

深度研究

AI帮你快速写综述,25分钟生成高质量综述,智能提取关键信息,辅助科研写作。

立即免费体验

炎症细胞因子在预测射血分数保留的心力衰竭患者再次入院中的预后价值

Prognostic Value of Inflammatory Cytokines in Predicting Hospital Readmissions in Heart Failure with Preserved Ejection Fraction.

作者信息

Zhao Zhihao, Qi Diya, Zhang Zeqing, Du Xin, Zhang Fengyun, Ma Ruicong, Liang Yi, Zhao Yuewu, Gao Ying, Yang Yu

机构信息

Department of Cardiology, the Affiliated Xuzhou Municipal Hospital of Xuzhou Medical University, Xuzhou First People's Hospital, Xuzhou, People's Republic of China.

Department of Cardiology, the Affiliated Hospital of Xuzhou Medical University, Xuzhou, People's Republic of China.

出版信息

J Inflamm Res. 2024 May 14;17:3003-3012. doi: 10.2147/JIR.S459989. eCollection 2024.

DOI:10.2147/JIR.S459989
PMID:38764501
原文链接:https://pmc.ncbi.nlm.nih.gov/articles/PMC11102073/
Abstract

PURPOSE

The aim of this study was to explore the relationship between inflammatory cytokines and the risk of heart failure (HF) readmission in patients with heart failure with preserved ejection fraction (HFpEF).

PATIENTS AND METHODS

We enrolled 429 patients with HFpEF admitted to the cardiology department in our hospital from January 2020 to July 2022. The patients were divided into the readmission or non-readmission groups according to whether they were readmitted for heart failure within 1 year of discharge. The clinical features and laboratory date of the subjects were collected and analyzed. Multivariate cox regression analysis was used to identify predictors of HF readmission. In addition, receiver operating characteristic (ROC) curves were used to determine the prognostic value of each factor.

RESULTS

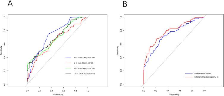
The levels of IL-1β, IL-6, IL-10, IL-17, TNF-α, NT-proBNP, heart rate, total cholesterol and NYHA class were significantly higher in the readmission group than in the non-readmission group ( < 0.05). IL-1β, IL-6, IL-17, TNF-α, NT-proBNP, heart rate and NYHA class were identified as independent predictors of HF readmission.

CONCLUSION

Inflammatory markers, including IL-1β, IL-6, IL-17 and TNF-α were related to the HF readmission in patients with HFpEF.

摘要

目的

本研究旨在探讨炎症细胞因子与射血分数保留的心力衰竭(HFpEF)患者心力衰竭再入院风险之间的关系。

患者与方法

我们纳入了2020年1月至2022年7月期间在我院心内科住院的429例HFpEF患者。根据患者出院后1年内是否因心力衰竭再次入院,将其分为再入院组和非再入院组。收集并分析了受试者的临床特征和实验室数据。采用多因素cox回归分析确定HF再入院的预测因素。此外,使用受试者工作特征(ROC)曲线来确定各因素的预后价值。

结果

再入院组的IL-1β、IL-6、IL-10、IL-17、TNF-α、NT-proBNP、心率、总胆固醇和NYHA分级水平显著高于非再入院组(<0.05)。IL-1β、IL-6、IL-17、TNF-α、NT-proBNP、心率和NYHA分级被确定为HF再入院的独立预测因素。

结论

包括IL-1β、IL-6、IL-17和TNF-α在内的炎症标志物与HFpEF患者的HF再入院有关。

https://cdn.ncbi.nlm.nih.gov/pmc/blobs/67a1/11102073/0cdc4f6f0b16/JIR-17-3003-g0004.jpg
https://cdn.ncbi.nlm.nih.gov/pmc/blobs/67a1/11102073/5f830f8a228d/JIR-17-3003-g0001.jpg
https://cdn.ncbi.nlm.nih.gov/pmc/blobs/67a1/11102073/fad91fc27a41/JIR-17-3003-g0002.jpg
https://cdn.ncbi.nlm.nih.gov/pmc/blobs/67a1/11102073/ee027f41b5bb/JIR-17-3003-g0003.jpg
https://cdn.ncbi.nlm.nih.gov/pmc/blobs/67a1/11102073/0cdc4f6f0b16/JIR-17-3003-g0004.jpg
https://cdn.ncbi.nlm.nih.gov/pmc/blobs/67a1/11102073/5f830f8a228d/JIR-17-3003-g0001.jpg
https://cdn.ncbi.nlm.nih.gov/pmc/blobs/67a1/11102073/fad91fc27a41/JIR-17-3003-g0002.jpg
https://cdn.ncbi.nlm.nih.gov/pmc/blobs/67a1/11102073/ee027f41b5bb/JIR-17-3003-g0003.jpg
https://cdn.ncbi.nlm.nih.gov/pmc/blobs/67a1/11102073/0cdc4f6f0b16/JIR-17-3003-g0004.jpg

相似文献

1
Prognostic Value of Inflammatory Cytokines in Predicting Hospital Readmissions in Heart Failure with Preserved Ejection Fraction.炎症细胞因子在预测射血分数保留的心力衰竭患者再次入院中的预后价值
J Inflamm Res. 2024 May 14;17:3003-3012. doi: 10.2147/JIR.S459989. eCollection 2024.
2
Growth differentiation factor 15 in heart failure with preserved vs. reduced ejection fraction.生长分化因子 15 在射血分数保留型与降低型心力衰竭中的作用。
Eur J Heart Fail. 2016 Jan;18(1):81-8. doi: 10.1002/ejhf.431. Epub 2015 Oct 25.
3
[Prognostic value of N-terminal B-type natriuretic peptide on all-cause mortality in heart failure patients with preserved ejection fraction].N末端B型利钠肽对射血分数保留的心力衰竭患者全因死亡率的预后价值
Zhonghua Xin Xue Guan Bing Za Zhi. 2019 Nov 24;47(11):875-881. doi: 10.3760/cma.j.issn.0253-3758.2019.11.005.
4
Thirty-day readmission in patients with heart failure with preserved ejection fraction: Insights from the nationwide readmission database.射血分数保留的心力衰竭患者30天再入院情况:来自全国再入院数据库的见解
World J Cardiol. 2022 Sep 26;14(9):473-482. doi: 10.4330/wjc.v14.i9.473.
5
Application Value of Systemic Inflammatory Indexes in the Clinical Evaluation of Patients with Heart Failure with Preserved Ejection Fraction (HFpEF).系统性炎症指标在射血分数保留型心力衰竭(HFpEF)患者临床评估中的应用价值。
Medicina (Kaunas). 2022 Oct 17;58(10):1473. doi: 10.3390/medicina58101473.
6
Prognostic value of sST2 and NT-proBNP at admission in heart failure with preserved, mid-ranged and reduced ejection fraction.入院时可溶性ST2和N末端脑钠肽前体在射血分数保留、中等范围和降低的心力衰竭中的预后价值。
Acta Cardiol. 2018 Feb;73(1):41-48. doi: 10.1080/00015385.2017.1325617. Epub 2017 Sep 25.
7
Limited value of NT-proBNP as a prognostic marker of all-cause mortality in patients with heart failure with preserved and mid-range ejection fraction in primary care: A report from the swedish heart failure register.在初级保健中心,NT-proBNP 作为射血分数保留和中间范围心力衰竭患者全因死亡率的预后标志物的价值有限:来自瑞典心力衰竭登记处的报告。
Scand J Prim Health Care. 2019 Dec;37(4):434-443. doi: 10.1080/02813432.2019.1684029. Epub 2019 Nov 14.
8
Outcomes of patients with anemia and renal dysfunction in hospitalized heart failure with preserved ejection fraction (from the CN-HF registry).射血分数保留的住院心力衰竭患者中贫血和肾功能不全患者的结局(来自中国心力衰竭注册研究)
Int J Cardiol Heart Vasc. 2019 Aug 31;25:100415. doi: 10.1016/j.ijcha.2019.100415. eCollection 2019 Dec.
9
Prognostic value of RDW alone and in combination with NT-proBNP in patients with heart failure.红细胞分布宽度(RDW)单独及联合 N 末端脑钠肽前体(NT-proBNP)对心力衰竭患者的预后价值。
Clin Cardiol. 2022 Jul;45(7):802-813. doi: 10.1002/clc.23850. Epub 2022 May 27.
10
NT-proBNP and CA 125 levels are associated with increased pro-inflammatory cytokines in coronary sinus serum of patients with chronic heart failure.NT-proBNP 和 CA125 水平与慢性心力衰竭患者冠状窦血清中促炎细胞因子的增加有关。
Cytokine. 2018 Nov;111:13-19. doi: 10.1016/j.cyto.2018.07.037. Epub 2018 Aug 8.

引用本文的文献

1
Underpinnings of heart failure with preserved ejection fraction in women - From prevention to improving function. A co-publication with the American Journal of Preventive Cardiology and the Journal of Cardiac Failure.女性射血分数保留的心力衰竭的基础——从预防到改善功能。与《美国预防心脏病学杂志》和《心力衰竭杂志》合作出版。
Am J Prev Cardiol. 2025 Feb 19;23:100928. doi: 10.1016/j.ajpc.2025.100928. eCollection 2025 Sep.
2
Association between albumin and short-term outcomes of unplanned early readmission emergency department patients: A retrospective cohort study.白蛋白与急诊科计划外早期再入院患者短期结局之间的关联:一项回顾性队列研究。
PLoS One. 2025 Jul 24;20(7):e0327501. doi: 10.1371/journal.pone.0327501. eCollection 2025.
3

本文引用的文献

1
Impact of a heart failure multidisciplinary clinic on the reduction of healthcare-related events and costs: the GEstIC study.心力衰竭多学科诊所对减少医疗相关事件和成本的影响:GEstIC研究
Front Cardiovasc Med. 2023 Sep 29;10:1232291. doi: 10.3389/fcvm.2023.1232291. eCollection 2023.
2
Pathogenic pathways and therapeutic targets of inflammation in heart diseases: A focus on Interleukin-1.心脏疾病中炎症的致病途径和治疗靶点:聚焦于白细胞介素-1。
Eur J Clin Invest. 2024 Feb;54(2):e14110. doi: 10.1111/eci.14110. Epub 2023 Oct 14.
3
Pathophysiological insights into machine learning-based subphenotypes of acute heart failure with preserved ejection fraction.
The Loss of Gonadal Hormones Has a Different Impact on Aging Female and Male Mice Submitted to Heart Failure-Inducing Metabolic Hypertensive Stress.性腺激素的丧失对遭受导致心力衰竭的代谢性高血压应激的衰老雌性和雄性小鼠有不同影响。
Cells. 2025 Jun 9;14(12):870. doi: 10.3390/cells14120870.
4
Heart failure, inflammation and exercise.心力衰竭、炎症与运动
Int J Biol Sci. 2025 Apr 28;21(8):3324-3350. doi: 10.7150/ijbs.109917. eCollection 2025.
5
Mechanistic Relevance of Ventricular Arrhythmias in Heart Failure with Preserved Ejection Fraction.射血分数保留的心力衰竭中心律失常的机制相关性
Int J Mol Sci. 2024 Dec 14;25(24):13423. doi: 10.3390/ijms252413423.
射血分数保留的急性心力衰竭基于机器学习的亚表型的病理生理学见解。
Heart. 2024 Feb 23;110(6):441-447. doi: 10.1136/heartjnl-2023-323059.
4
High triglyceride-glucose (TyG) index is associated with poor prognosis of heart failure with preserved ejection fraction.高甘油三酯-葡萄糖(TyG)指数与射血分数保留的心力衰竭不良预后相关。
Cardiovasc Diabetol. 2023 Sep 29;22(1):263. doi: 10.1186/s12933-023-02001-4.
5
Clinical characteristics and prognosis of patients with heart failure and high concentrations of interleukin-17D.心力衰竭患者中白细胞介素-17D 浓度高的临床特征和预后。
Int J Cardiol. 2024 Feb 1;396:131384. doi: 10.1016/j.ijcard.2023.131384. Epub 2023 Sep 21.
6
Heart Failure Management in 2023: A Pharmacotherapy- and Lifestyle-Focused Comparison of Current International Guidelines.2023年心力衰竭管理:当前国际指南以药物治疗和生活方式为重点的比较
CJC Open. 2023 May 26;5(8):629-640. doi: 10.1016/j.cjco.2023.05.008. eCollection 2023 Aug.
7
Risks and Burdens of Unplanned Heart Failure Readmissions: How to Cut a Gordian Knot?非计划性心力衰竭再入院的风险与负担:如何快刀斩乱麻?
Heart Lung Circ. 2023 Aug;32(8):891-893. doi: 10.1016/j.hlc.2023.08.002.
8
Association of serum cytokines with coronary chronic total occlusion and their role in predicting procedural outcomes.血清细胞因子与冠状动脉慢性完全闭塞的相关性及其在预测手术结局中的作用。
Hellenic J Cardiol. 2024 Jul-Aug;78:25-35. doi: 10.1016/j.hjc.2023.08.013. Epub 2023 Aug 29.
9
2023 Focused Update of the 2021 ESC Guidelines for the diagnosis and treatment of acute and chronic heart failure.《2021年欧洲心脏病学会急性和慢性心力衰竭诊断与治疗指南》2023年聚焦更新
Eur Heart J. 2023 Oct 1;44(37):3627-3639. doi: 10.1093/eurheartj/ehad195.
10
Left Ventricular Gene Expression in Heart Failure With Preserved Ejection Fraction-Profibrotic and Proinflammatory Pathways and Genes.左心室射血分数保留心力衰竭的基因表达——成纤维细胞增生和炎症途径及基因。
Circ Heart Fail. 2023 Aug;16(8):e010395. doi: 10.1161/CIRCHEARTFAILURE.123.010395. Epub 2023 Jul 27.