Suppr超能文献

足臂血压指数不仅仅是 2 型糖尿病患者的外周问题。

Toe-brachial index is beyond a peripheral issue in patients with type 2 diabetes.

机构信息

Research Center for Prevention of Cardiovascular Disease, Institute of Endocrinology and Metabolism, Iran University of Medical Sciences (IUMS), Tehran, Iran.

Department of Interventional Radiology, Firouzgar Hospital, Iran University of Medical Science (IUMS), Tehran, Iran.

出版信息

PLoS One. 2021 Jun 15;16(6):e0253138. doi: 10.1371/journal.pone.0253138. eCollection 2021.

Abstract

BACKGROUND

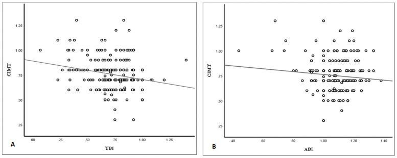
Atherosclerosis is the leading cause of death in patients with diabetes. We aimed to evaluate the association between ankle-brachial index (ABI) and toe-brachial index (TBI) with carotid intima-media thickness (CIMT) in patients with type 2 diabetes (T2DM).

METHODS

This cross sectional study included 296 patients with T2DM who met the American Diabetes Association criteria for the assessment of peripheral arterial atherosclerosis. The ABI ≤ 0.9 and TBI ≤ 0.7 were considered as abnormal values. Linear and logistic regression analyses were performed to evaluate the association between TBI/ABI and CIMT.

RESULTS

Right CIMT was significantly greater in the low TBI group (p = 0.03) while, left CIMT did not show a significant difference. Each 0.1-unit decrease in TBI value was independently associated with 0.017 mm increase in the right CIMT (β ± SE; -0.017 ± 0.005, p = 0.002) and with odds of the presence of increased CIMT [odds ratio and 95% confidence interval: 1.21 (1.02, 1.44)] after adjustment with all traditional risk factors. There was not any significant association between ABI and increased CIMT.

CONCLUSIONS

Beyond a suitable tool for the diagnosis of peripheral artery disease in patients with T2DM, TBI can be applied for prediction of subclinical carotid atherosclerosis.

摘要

背景

动脉粥样硬化是糖尿病患者死亡的主要原因。我们旨在评估踝臂指数(ABI)和趾臂指数(TBI)与 2 型糖尿病(T2DM)患者颈动脉内膜中层厚度(CIMT)之间的关系。

方法

本横断面研究纳入了 296 名符合美国糖尿病协会评估外周动脉粥样硬化标准的 T2DM 患者。ABI≤0.9 和 TBI≤0.7 被认为是异常值。进行线性和逻辑回归分析以评估 TBI/ABI 与 CIMT 之间的关系。

结果

低 TBI 组的右侧 CIMT 明显较高(p=0.03),而左侧 CIMT 无显著差异。TBI 值每降低 0.1 个单位,右侧 CIMT 增加 0.017 毫米(β±SE;-0.017±0.005,p=0.002),并且在调整所有传统危险因素后,CIMT 增加的可能性增加[比值比和 95%置信区间:1.21(1.02,1.44)]。ABI 与 CIMT 增加之间没有任何显著关联。

结论

除了适用于 T2DM 患者外周动脉疾病诊断的工具外,TBI 还可用于预测亚临床颈动脉粥样硬化。

https://cdn.ncbi.nlm.nih.gov/pmc/blobs/c993/8205164/11db0cf5de6d/pone.0253138.g001.jpg

文献AI研究员

20分钟写一篇综述,助力文献阅读效率提升50倍。

立即体验

用中文搜PubMed

大模型驱动的PubMed中文搜索引擎

马上搜索

文档翻译

学术文献翻译模型,支持多种主流文档格式。

立即体验