Suppr超能文献

阿尔茨海默病三联转基因小鼠(3xTg-AD)在时差反应方案中自发运动活动的24小时节律变化:与视网膜敏感性的相关性

Changes in 24 h Rhythmicity of Spontaneous Locomotor Activity in the Triple Transgenic Mouse for Alzheimer's Disease (3xTg-AD) in a Jet Lag Protocol: Correlations with Retinal Sensitivity.

作者信息

González-Luna Irma Angélica, Juárez-Tapia Cinthia, Aguilar-Vázquez Azucena, Arnold Edith, Díaz-Cintra Sofia, Miranda-Anaya Manuel, Díaz-Muñoz Mauricio

机构信息

Departamento de Neurobiología Celular y Molecular, Instituto de Neurobiología, Universidad Nacional Autónoma de México, Querétaro, México.

Unidad Multidisciplinaria de Docencia e Investigación (UMDI), Facultad de Ciencias, Universidad Nacional Autónoma de México, Querétaro, México.

出版信息

J Circadian Rhythms. 2021 May 27;19:7. doi: 10.5334/jcr.214.

Abstract

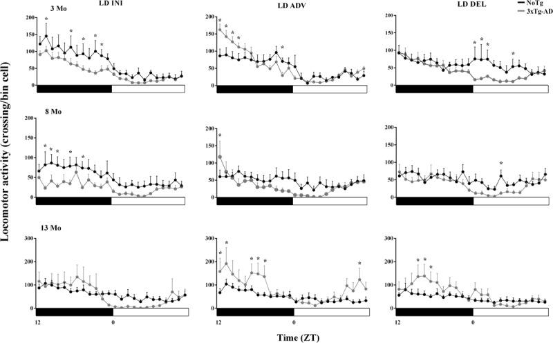
The progression of amyloid plaques and neurofibrillary tangles in different brain areas is associated with the effects of Alzheimer's disease (AD). In addition to cognitive impairment, circadian alterations in locomotor activity have also been detected, but they have not been characterized in a jet lag protocol. Therefore, the present study aimed to compare 3xTg-AD and non-transgenic mice in changes of 24 h cycles of spontaneous locomotor activity in a jet lag protocol, in an environment without a running wheel, at 3 different states of neuronal damage: early, intermediate and advanced (3, 8 and 13 months, respectively). The 3xTg-AD mice at 3 months presented differences in phase angle and acrophase, and differentially increased activity after advances more than after delays. At 13 months, a shortening of the free-running period in constant darkness was also noted. 3xTg-AD mice showed a significant increase (123%) in global activity at 8 to 13 months and in nighttime activity (153%) at 13 months. In the advance protocol (ADV), 3xTg-AD mice displayed a significant increase in global activity (171%) at 8 and 13 months. The differences in masking effect were evident at 8 months. To assess a possible retinal dysfunction that could interfere with photic entrainment as part of the neurodegenerative process, we compared electroretinogram recordings. The results showed early deterioration in the retinal response to light flashes in mesopic conditions, observed in the B-wave latency and amplitude. Thus, our study presents new behavioral and pathological characteristics of 3xTg-AD mice and reveals the usefulness of non-invasive tools in early diagnosis.

摘要

不同脑区淀粉样斑块和神经原纤维缠结的进展与阿尔茨海默病(AD)的影响相关。除了认知障碍外,还检测到运动活动的昼夜节律改变,但尚未在时差反应实验方案中对其进行特征描述。因此,本研究旨在比较3xTg-AD小鼠和非转基因小鼠在无跑轮环境下,于时差反应实验方案中,在3种不同神经元损伤状态(早期、中期和晚期,分别为3个月、8个月和13个月)下自发运动活动24小时周期的变化。3个月大的3xTg-AD小鼠在相位角和峰值相位上存在差异,且提前后的活动增加幅度大于延迟后的活动增加幅度。在13个月时,还注意到在持续黑暗中自由运行周期缩短。3xTg-AD小鼠在8至13个月时整体活动显著增加(123%),在13个月时夜间活动显著增加(153%)。在提前方案(ADV)中,3xTg-AD小鼠在8个月和13个月时整体活动显著增加(171%)。在8个月时,掩盖效应的差异明显。为了评估可能干扰光诱导同步化的视网膜功能障碍是否作为神经退行性过程的一部分,我们比较了视网膜电图记录。结果显示,在中亮度条件下,视网膜对闪光的反应在B波潜伏期和振幅方面出现早期恶化。因此,我们的研究呈现了3xTg-AD小鼠新的行为和病理特征,并揭示了非侵入性工具在早期诊断中的有用性。

https://cdn.ncbi.nlm.nih.gov/pmc/blobs/2226/8194968/f4f2944e3261/jcr-19-214-g1.jpg

文献AI研究员

20分钟写一篇综述,助力文献阅读效率提升50倍。

立即体验

用中文搜PubMed

大模型驱动的PubMed中文搜索引擎

马上搜索

文档翻译

学术文献翻译模型,支持多种主流文档格式。

立即体验