Nuffield Department of Primary Care Health Sciences, University of Oxford, Oxford, UK.
Intensive Care National Audit & Research Centre, London, UK.
Lancet Infect Dis. 2021 Nov;21(11):1518-1528. doi: 10.1016/S1473-3099(21)00318-2. Epub 2021 Jun 23.
A more transmissible variant of SARS-CoV-2, the variant of concern 202012/01 or lineage B.1.1.7, has emerged in the UK. We aimed to estimate the risk of critical care admission, mortality in patients who are critically ill, and overall mortality associated with lineage B.1.1.7 compared with non-B.1.1.7. We also compared clinical outcomes between these two groups.
For this observational cohort study, we linked large primary care (QResearch), national critical care (Intensive Care National Audit & Research Centre Case Mix Programme), and national COVID-19 testing (Public Health England) databases. We used SARS-CoV-2 positive samples with S-gene molecular diagnostic assay failure (SGTF) as a proxy for the presence of lineage B.1.1.7. We extracted two cohorts from the data: the primary care cohort, comprising patients in primary care with a positive community COVID-19 test reported between Nov 1, 2020, and Jan 26, 2021, and known SGTF status; and the critical care cohort, comprising patients admitted for critical care with a positive community COVID-19 test reported between Nov 1, 2020, and Jan 27, 2021, and known SGTF status. We explored the associations between SARS-CoV-2 infection with and without lineage B.1.1.7 and admission to a critical care unit (CCU), 28-day mortality, and 28-day mortality following CCU admission. We used Royston-Parmar models adjusted for age, sex, geographical region, other sociodemographic factors (deprivation index, ethnicity, household housing category, and smoking status for the primary care cohort; and ethnicity, body-mass index, deprivation index, and dependency before admission to acute hospital for the CCU cohort), and comorbidities (asthma, chronic obstructive pulmonary disease, type 1 and 2 diabetes, and hypertension for the primary care cohort; and cardiovascular disease, respiratory disease, metastatic disease, and immunocompromised conditions for the CCU cohort). We reported information on types and duration of organ support for the B.1.1.7 and non-B.1.1.7 groups.
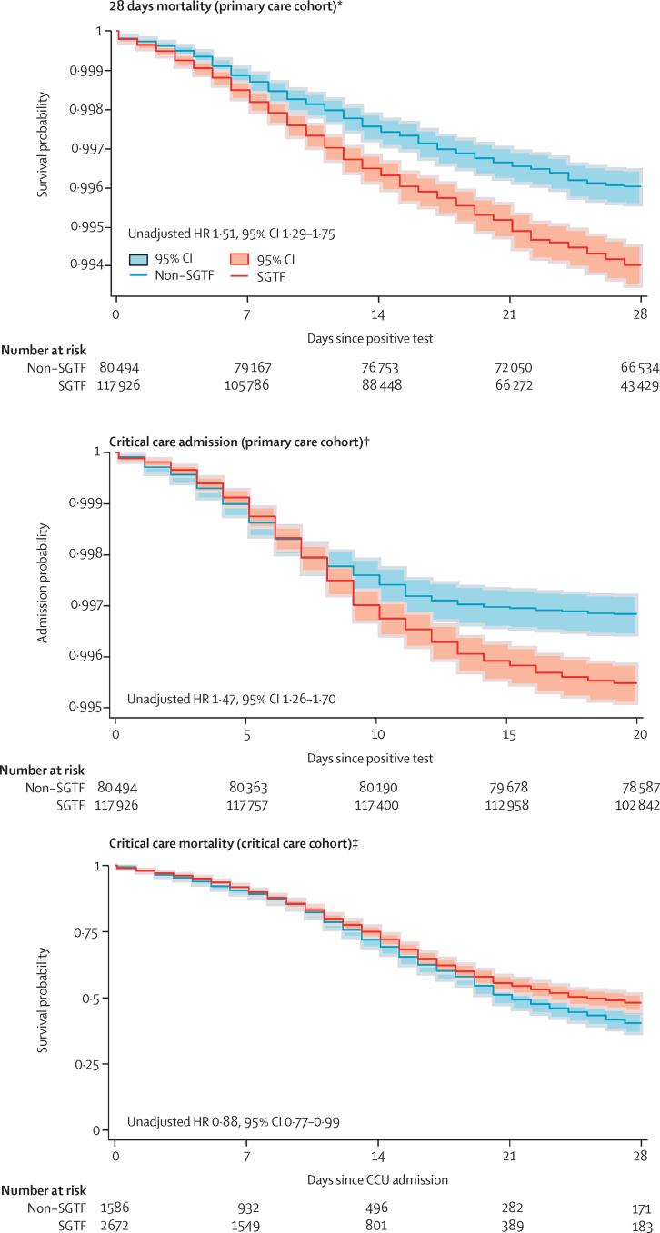
The primary care cohort included 198 420 patients with SARS-CoV-2 infection. Of these, 117 926 (59·4%) had lineage B.1.1.7, 836 (0·4%) were admitted to CCU, and 899 (0·4%) died within 28 days. The critical care cohort included 4272 patients admitted to CCU. Of these, 2685 (62·8%) had lineage B.1.1.7 and 662 (15·5%) died at the end of critical care. In the primary care cohort, we estimated adjusted hazard ratios (HRs) of 2·15 (95% CI 1·75-2·65) for CCU admission and 1·65 (1·36-2·01) for 28-day mortality for patients with lineage B.1.1.7 compared with the non-B.1.1.7 group. The adjusted HR for mortality in critical care, estimated with the critical care cohort, was 0·91 (0·76-1·09) for patients with lineage B.1.1.7 compared with those with non-B.1.1.7 infection.
Patients with lineage B.1.1.7 were at increased risk of CCU admission and 28-day mortality compared with patients with non-B.1.1.7 SARS-CoV-2. For patients receiving critical care, mortality appeared to be independent of virus strain. Our findings emphasise the importance of measures to control exposure to and infection with COVID-19.
Wellcome Trust, National Institute for Health Research Oxford Biomedical Research Centre, and the Medical Sciences Division of the University of Oxford.
一种更具传染性的 SARS-CoV-2 变体,即 202012/01 年关注变体或谱系 B.1.1.7,已经在英国出现。我们旨在评估谱系 B.1.1.7 与非 B.1.1.7 相比,与入住重症监护病房、危重症患者死亡率以及总体死亡率相关的风险。我们还比较了这两组之间的临床结果。
在这项观察性队列研究中,我们将大型初级保健(QResearch)、国家重症监护(重症监护国家审计和研究中心病例组合计划)和国家 COVID-19 检测(英国公共卫生)数据库联系起来。我们使用 S 基因分子诊断检测失败(SGTF)作为谱系 B.1.1.7 存在的替代指标。我们从数据中提取了两个队列:初级保健队列,包括 2020 年 11 月 1 日至 2021 年 1 月 26 日期间社区 COVID-19 检测呈阳性并报告已知 SGTF 状态的患者;和重症监护队列,包括 2020 年 11 月 1 日至 2021 年 1 月 27 日期间社区 COVID-19 检测呈阳性并报告已知 SGTF 状态的患者。我们探讨了感染谱系 B.1.1.7 与未感染谱系 B.1.1.7 的 SARS-CoV-2 与入住重症监护病房(CCU)、28 天死亡率和 CCU 入住后 28 天死亡率之间的关联。我们使用 Royston-Parmar 模型进行调整,考虑了年龄、性别、地理区域、其他社会人口因素(初级保健队列的贫困指数、种族、家庭住房类别和吸烟状况;CCU 队列的种族、体重指数、贫困指数和入院前的依赖程度)和合并症(初级保健队列的哮喘、慢性阻塞性肺疾病、1 型和 2 型糖尿病和高血压;CCU 队列的心血管疾病、呼吸道疾病、转移性疾病和免疫功能低下状况)。我们报告了 B.1.1.7 和非 B.1.1.7 组的器官支持类型和持续时间的信息。
初级保健队列包括 198420 例 SARS-CoV-2 感染患者。其中,117926 例(59.4%)有谱系 B.1.1.7,836 例(0.4%)入住 CCU,899 例(0.4%)在 28 天内死亡。重症监护队列包括 4272 例入住 CCU 的患者。其中,2685 例(62.8%)有谱系 B.1.1.7,662 例(15.5%)在重症监护结束时死亡。在初级保健队列中,我们估计谱系 B.1.1.7 患者的校正危险比(HR)为入住 CCU 的 2.15(95%CI 1.75-2.65)和 28 天死亡率的 1.65(1.36-2.01)与非 B.1.1.7 组相比。使用重症监护队列估计的重症监护死亡率的校正 HR 为谱系 B.1.1.7 患者与非 B.1.1.7 感染患者相比为 0.91(0.76-1.09)。
与非 B.1.1.7 SARS-CoV-2 相比,谱系 B.1.1.7 患者入住 CCU 和 28 天死亡率的风险增加。对于接受重症监护的患者,死亡率似乎与病毒株无关。我们的研究结果强调了控制 COVID-19 暴露和感染的重要性。
惠康信托基金、国家卫生研究院牛津生物医学研究中心和牛津大学医学科学系。