Suppr超能文献

石蒜科植物:治疗恰加斯病的潜在天然资源。

Amaryllidaceae plants: a potential natural resource for the treatment of Chagas disease.

机构信息

Barcelona Institute for Global Health (ISGlobal), Hospital Clinic-University of Barcelona, 08036, Barcelona, Spain.

Departament de Biologia, Sanitat i Medi Ambient, Facultat de Farmàcia I Ciències de L´Alimentació, Universitat de Barcelona, 08028, Barcelona, Spain.

出版信息

Parasit Vectors. 2021 Jun 26;14(1):337. doi: 10.1186/s13071-021-04837-9.

Abstract

BACKGROUND

Chagas disease is a neglected zoonosis caused by the parasite Trypanosoma cruzi. It affects over six million people, mostly in Latin America. Drugs available to treat T. cruzi infection have associated toxicity and questionable efficacy at the chronic stage. Hence, the discovery of more effective and safer drugs is an unmet medical need. For this, natural products represent a pool of unique chemical diversity that can serve as excellent templates for the synthesis of active molecules.

METHODS

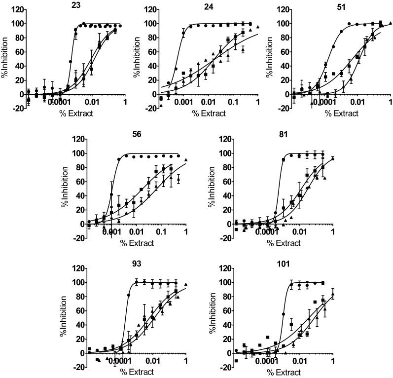
A collection of 79 extracts of Amaryllidaceae plants were screened against T. cruzi. Active extracts against the parasite were progressed through two cell toxicity assays based on Vero and HepG2 cells to determine their selectivity profile and discard those toxic to host cells. Anti-T. cruzi-specific extracts were further qualified by an anti-amastigote stage assay.

RESULTS

Two extracts, respectively from Crinum erubescens and Rhodophiala andicola, were identified as highly active and specific against T. cruzi and its mammalian replicative form.

CONCLUSIONS

The results retrieved in this study encourage further exploration of the chemical content of these extracts in search of new anti-T. cruzi drug development starting points.

摘要

背景

恰加斯病是一种由寄生虫克氏锥虫引起的被忽视的动物源性传染病。它影响了超过 600 万人,主要分布在拉丁美洲。现有的治疗克氏锥虫感染的药物存在相关毒性和在慢性阶段疗效存疑的问题。因此,发现更有效和更安全的药物是未满足的医疗需求。为此,天然产物代表了独特化学多样性的宝库,可作为合成活性分子的极好模板。

方法

对 79 种石蒜科植物提取物进行了抗克氏锥虫筛选。对具有抗寄生虫活性的提取物进行了基于 Vero 和 HepG2 细胞的两种细胞毒性测定,以确定其选择性特征,并排除对宿主细胞有毒的提取物。具有抗克氏锥虫活性的提取物进一步通过抗组织内变形虫阶段测定进行了鉴定。

结果

从 Crinum erubescens 和 Rhodophiala andicola 中分别鉴定出两种提取物对克氏锥虫及其哺乳动物复制形式具有高度的活性和特异性。

结论

本研究中的结果鼓励进一步探索这些提取物的化学内容,以寻找新的抗克氏锥虫药物开发的起点。

https://cdn.ncbi.nlm.nih.gov/pmc/blobs/b882/8235838/e6e95245d52c/13071_2021_4837_Fig1_HTML.jpg

文献AI研究员

20分钟写一篇综述,助力文献阅读效率提升50倍。

立即体验

用中文搜PubMed

大模型驱动的PubMed中文搜索引擎

马上搜索

文档翻译

学术文献翻译模型,支持多种主流文档格式。

立即体验