Suppr超能文献

伽玛射线放射外科治疗三叉神经痛:针对背根入髓区近端或远端

Gamma Ray Radiosurgery for Trigeminal Neuralgia: Targeting Proximal or Distal to the Dorsal Root Entry Zone.

作者信息

Lovo Eduardo E, Moreira Alejandra, Barahona Kaory C, Torres Boheris, Blanco Alejandro, Caceros Victor, Campos Fidel, Gorgulho Alessandra

机构信息

Radiosurgery, International Cancer Center, Diagnostic Hospital, San Salvador, SLV.

Neurosurgery, International Cancer Center, Diagnostic Hospital, San Salvador, SLV.

出版信息

Cureus. 2021 May 23;13(5):e15194. doi: 10.7759/cureus.15194.

Abstract

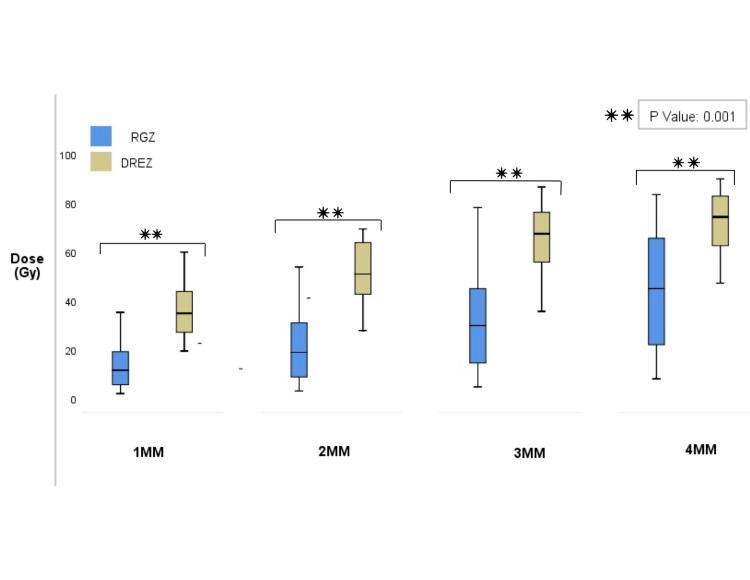
Introduction Stereotactic radiosurgery for trigeminal neuralgia (TN) has gained interest among patients who are not suitable for surgical procedures. Although two target zones are more recognized - dorsal root entry zone (DREZ) and retrogasserian zone (RGZ) - the optimal targeting technique remains controversial in terms of clinical outcomes and rates of complications. Therefore, various modifications to the radiosurgical technique for TN have been made. Objective This study aimed to determine the differences in shoot location (i.e., RGZ vs. DREZ) regarding effectiveness and adverse effects in patients with medically refractory TN. Additionally, we evaluated the effect of the integral dose (ID) on treatment outcomes and complications. Methods We present a retrospective cohort study of 49 patients with primary, drug-resistant TN treated with gamma knife radiosurgery targeting the distal and proximal parts of the nerve regarding the DREZ with a prescription dose of 90 Gy (80 to 96 Gy). A subset of these patients (n=38) where the ID could be measured to the nerve was correlated to treatment outcomes and complications. Results The median follow-up time was 36 months for RGZ and 51 months for DREZ targets. Neurovascular conflict was identified in 87.5% of the RGZ group and 88.2% of the DREZ group. Using the Barrow Neurological Institute (BNI) pain score, 26 (81.3%) RGZ and 12 (70.6%) DREZ patients were successfully treated (BNI I-IIIb; p=0.02). Seven (21.9%) RGZ and eight (47.1%) DREZ patients reported complete pain relief without medication (BNI I). Time response was 22.3 days for RGZ and 34.1 days for DREZ (p=0.277). There were 10 (31.3%) patients in the RGZ group with associated complications versus six (35.3%) patients in the DREZ group (χ=0.0826, degree of freedom=1, p=0.773). Treatment outcomes using higher ID were better in the RGZ than DREZ (81.8% vs. 57.1, respectively), and a significant association was found between a higher ID delivered to the nerve and the development of complications (p=0.02). Conclusion Based on the obtained results, the RGZ was a more effective targeting area with better treatment outcomes without significant differences in complication rates than DREZ. A higher ID at the RGZ than DREZ had a greater therapeutical effect. Further investigation regarding the optimal target area along the ID delivered and clinical outcomes are required.

摘要

引言 立体定向放射外科治疗三叉神经痛(TN)已引起不适用于外科手术患者的关注。尽管两个靶点区域更受认可——背根入髓区(DREZ)和半月神经节后区(RGZ),但在临床疗效和并发症发生率方面,最佳靶向技术仍存在争议。因此,对TN的放射外科技术进行了各种改进。

目的 本研究旨在确定难治性TN患者在靶点位置(即RGZ与DREZ)上的疗效和不良反应差异。此外,我们评估了积分剂量(ID)对治疗效果和并发症的影响。

方法 我们进行了一项回顾性队列研究,纳入49例原发性耐药性TN患者,采用伽玛刀放射外科治疗,针对神经的远端和近端,以DREZ为靶点,处方剂量为90 Gy(80至96 Gy)。其中一部分患者(n = 38),可测量神经的ID,并将其与治疗效果和并发症相关联。

结果 RGZ靶点的中位随访时间为36个月,DREZ靶点为51个月。RGZ组87.5%和DREZ组88.2%发现神经血管冲突。采用巴罗神经学研究所(BNI)疼痛评分,26例(81.3%)RGZ和12例(70.6%)DREZ患者得到成功治疗(BNI I - IIIb;p = 0.02)。7例(21.9%)RGZ和8例(47.1%)DREZ患者报告无需药物即可完全缓解疼痛(BNI I)。RGZ的时间反应为22.3天,DREZ为34.1天(p = 0.277)。RGZ组有10例(31.3%)患者出现相关并发症,DREZ组有6例(35.3%)患者出现并发症(χ = 0.0826,自由度 = 1,p = 0.773)。RGZ使用较高ID的治疗效果优于DREZ(分别为81.8%对57.1%),并且发现给予神经的较高ID与并发症的发生之间存在显著关联(p = 0.02)。

结论 根据获得的结果,RGZ是一个更有效的靶点区域,治疗效果更好,并发症发生率与DREZ无显著差异。RGZ处的ID高于DREZ具有更大的治疗效果。需要进一步研究沿给予的ID的最佳靶点区域和临床结果。

https://cdn.ncbi.nlm.nih.gov/pmc/blobs/98e0/8218962/fa70387f56ca/cureus-0013-00000015194-i01.jpg

文献AI研究员

20分钟写一篇综述,助力文献阅读效率提升50倍。

立即体验

用中文搜PubMed

大模型驱动的PubMed中文搜索引擎

马上搜索

文档翻译

学术文献翻译模型,支持多种主流文档格式。

立即体验