Suppr超能文献

喂食时间对马在运动及恢复过程中血浆氨基酸的影响。

The effect of time of feeding on plasma amino acids during exercise and recovery in horses.

作者信息

Graham-Thiers Patty M, Bowen LaAnn K

机构信息

Equine Studies Department, Emory & Henry College, Emory, VA 24327, USA.

出版信息

Transl Anim Sci. 2021 Mar 23;5(2):txab045. doi: 10.1093/tas/txab045. eCollection 2021 Apr.

Abstract

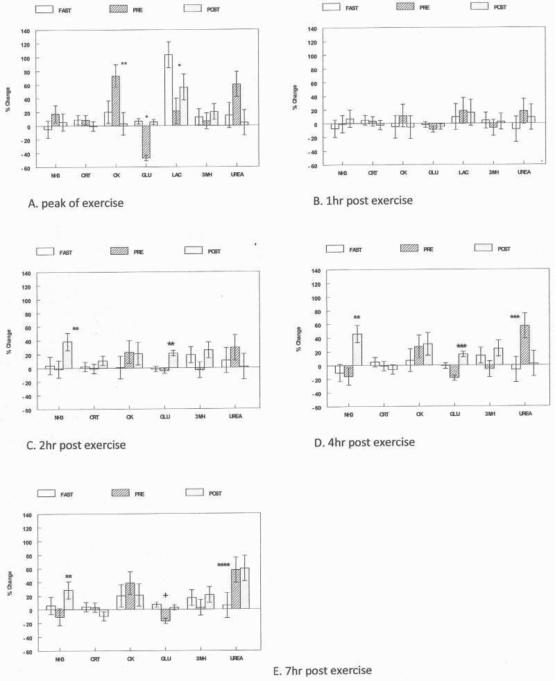
Feeding management in horses suggests feeding horses in advance of exercise, particularly the grain portion of the diet. Plasma amino acids () peak at 3 to 6 h postfeeding depending on the AA. The timeframe between feeding and exercise may affect the availability of AA during and after exercise. The purpose of this study was to observe the differences in plasma AA in horses fed prior to exercise or after exercise. Eight light type horses were fed a diet with adequate protein and AA for horses in light to moderate exercise. After an adjustment period, horses completed a standardized exercise test (). Relative to the SET, horses were fed either 2 h prior ( horses) to the SET, 1 h after completing the SET ( horses), or horses remained fasted throughout the sampling period ( horses). Plasma was drawn prior to exercise, at the peak of exercise as well as at 1, 2, 4, and 7 h postexercise. Plasma was analyzed for AA, glucose, lactate, creatinine, creatine kinase, ammonia, urea-N, and 3-methylhistdine. After completion of the SET and sampling period, horses entered a 1-wk recovery period, which was followed by another SET. The protocol repeated until horses rotated through all feeding protocols in the study (three SETs). The majority of the plasma AA were elevated in PRE horses compared with POST horses prior to the SET until 2 h postexercise where POST horses' plasma AA concentrations became elevated and remained elevated until the end of the sampling period. In that same time frame, plasma AA for the PRE group decreased out to the end of the sampling period. The elevation of plasma AA in POST horses would be expected as they were fed at 1 h postexercise, whereas PRE horses were reaching a 4 h postfeeding time frame at this point. This elevation was not observed for plasma concentrations of isoleucine, leucine, methionine, and histidine. Concentrations of these AA initially were greater for POST horses in the postexercise period; however, they declined more rapidly than the other AA. The rapid decrease of some of the plasma AA concentrations may suggest uptake by muscle for recovery. This in conjunction with a decrease in plasma creatine kinase concentrations for POST horses suggests that feeding postexercise may facilitate better muscle protein balance (synthesis vs. breakdown) in the recovery period following exercise.

摘要

马匹的饲养管理建议在运动前给马匹喂食,尤其是日粮中的谷物部分。血浆氨基酸()在喂食后3至6小时达到峰值,具体取决于氨基酸种类。喂食与运动之间的时间间隔可能会影响运动期间及运动后的氨基酸可用性。本研究的目的是观察在运动前或运动后喂食的马匹血浆氨基酸的差异。八匹轻型马被喂食一种对轻度至中度运动的马匹来说蛋白质和氨基酸充足的日粮。经过调整期后,马匹完成了一项标准化运动测试()。相对于标准化运动测试,马匹在标准化运动测试前2小时(组)喂食,在完成标准化运动测试后1小时(组)喂食,或者在整个采样期间禁食(组)。在运动前、运动峰值以及运动后1、2、4和7小时采集血浆。分析血浆中的氨基酸、葡萄糖、乳酸、肌酐、肌酸激酶、氨、尿素氮和3 - 甲基组氨酸。在完成标准化运动测试和采样期后,马匹进入为期1周的恢复期,之后进行另一项标准化运动测试。该方案重复进行,直到马匹完成研究中的所有喂食方案(三项标准化运动测试)。在标准化运动测试前,与组马匹相比,组马匹的大多数血浆氨基酸升高,直到运动后2小时,此时组马匹的血浆氨基酸浓度升高并一直保持到采样期结束。在同一时间段内,组血浆氨基酸在采样期结束前持续下降。组马匹血浆氨基酸升高是可以预期的,因为它们在运动后1小时喂食,而此时组马匹正处于喂食后4小时的时间范围。异亮氨酸、亮氨酸、蛋氨酸和组氨酸的血浆浓度未观察到这种升高。在运动后时期,组马匹这些氨基酸的浓度最初较高;然而,它们下降的速度比其他氨基酸更快。一些血浆氨基酸浓度的快速下降可能表明肌肉摄取它们用于恢复。这与组马匹血浆肌酸激酶浓度的下降相结合,表明运动后喂食可能有助于在运动后的恢复期实现更好的肌肉蛋白质平衡(合成与分解)。

https://cdn.ncbi.nlm.nih.gov/pmc/blobs/d638/8221455/f6b9c525b03c/txab045_fig1.jpg

相似文献

1
The effect of time of feeding on plasma amino acids during exercise and recovery in horses.
Transl Anim Sci. 2021 Mar 23;5(2):txab045. doi: 10.1093/tas/txab045. eCollection 2021 Apr.
2
Effect of protein source on nitrogen balance and plasma amino acids in exercising horses.
J Anim Sci. 2011 Mar;89(3):729-35. doi: 10.2527/jas.2010-3081. Epub 2010 Nov 12.
3
Timing of feeding a protein supplement on nitrogen balance and plasma amino acids during exercise recovery in horses.
J Anim Physiol Anim Nutr (Berl). 2024 Nov;108(6):1723-1733. doi: 10.1111/jpn.14012. Epub 2024 Jul 2.
4
Individual differences and repeatability of post-prandial changes of plasma-free amino acids in young horses.
J Vet Med A Physiol Pathol Clin Med. 2006 Nov;53(9):439-44. doi: 10.1111/j.1439-0442.2006.00862.x.
5
Changes in intramuscular amino acid levels in submaximally exercised horses - a pilot study.
J Anim Physiol Anim Nutr (Berl). 2010 Aug 1;94(4):455-64. doi: 10.1111/j.1439-0396.2009.00929.x. Epub 2009 Aug 3.
6
Time of feeding and fat supplementation affect plasma concentrations of insulin and metabolites during exercise.
Equine Vet J Suppl. 1999 Jul(30):479-84. doi: 10.1111/j.2042-3306.1999.tb05269.x.
8
Effect of β-alanine on the athletic performance and blood amino acid metabolism of speed-racing Yili horses.
Front Vet Sci. 2024 Feb 28;11:1339940. doi: 10.3389/fvets.2024.1339940. eCollection 2024.

引用本文的文献

2
Effects of BCAA supplementation on plasma and mare's milk amino acid contents in mares and growth performance of suckling foals.
Front Vet Sci. 2025 May 26;12:1602363. doi: 10.3389/fvets.2025.1602363. eCollection 2025.
3
Serum amino acid profiles in clinically normal Noma horses.
J Equine Sci. 2024;35(2):29-34. doi: 10.1294/jes.35.29. Epub 2024 Jul 3.

本文引用的文献

3
Effect of protein source on nitrogen balance and plasma amino acids in exercising horses.
J Anim Sci. 2011 Mar;89(3):729-35. doi: 10.2527/jas.2010-3081. Epub 2010 Nov 12.
6
Changes in intramuscular amino acid levels in submaximally exercised horses - a pilot study.
J Anim Physiol Anim Nutr (Berl). 2010 Aug 1;94(4):455-64. doi: 10.1111/j.1439-0396.2009.00929.x. Epub 2009 Aug 3.
7
A review of recent research on nutrition and metabolism in the athletic horse.
Nutr Res Rev. 1996 Jan;9(1):149-73. doi: 10.1079/NRR19960010.
8
Amino acid transport across mammalian intestinal and renal epithelia.
Physiol Rev. 2008 Jan;88(1):249-86. doi: 10.1152/physrev.00018.2006.
9
Branched-chain amino acid supplementation and indicators of muscle damage after endurance exercise.
Int J Sport Nutr Exerc Metab. 2007 Dec;17(6):595-607. doi: 10.1123/ijsnem.17.6.595.

文献AI研究员

20分钟写一篇综述,助力文献阅读效率提升50倍。

立即体验

用中文搜PubMed

大模型驱动的PubMed中文搜索引擎

马上搜索

文档翻译

学术文献翻译模型,支持多种主流文档格式。

立即体验