Suppr超能文献

全髋关节置换术后患者进行体操和有氧运动时髋关节的体内负荷。

In vivo loading on the hip joint in patients with total hip replacement performing gymnastics and aerobics exercises.

机构信息

Center for Musculoskeletal Surgery, Charité - Universitätsmedizin Berlin, Freie Universität Berlin, Humboldt-Universität Zu Berlin, and Berlin Institute of Health, Berlin, Germany.

Berlin Institute of Health at Charité - Universitätsmedizin Berlin, Julius Wolff Institute, Berlin, Germany.

出版信息

Sci Rep. 2021 Jun 28;11(1):13395. doi: 10.1038/s41598-021-92788-7.

Abstract

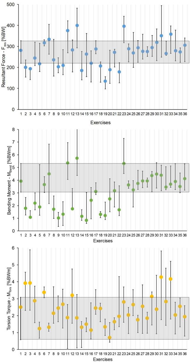
A further increase in the number of total hip arthroplasty (THA) is predicted, in particular the number of young THA patients has raised and with it their demands. There is no standardized evidence-based rehabilitation program and no reliable guidelines for sports activities after THA. Stretching and strengthening gymnastics are routinely performed in rehabilitation and aerobics as a sport after THA. The aim of the investigation was to determine the in vivo force and moments acting on the hip prosthesis during gymnastics and aerobic exercises to provide a source for evidence-based recommendations. Hip joint loads were measured in six patients with instrumented hip implants. The resulting force F, bending moment M at the neck and torsional moment M at the stem were examined during seven strengthening (with two different resistance bands) and four stretching gymnastic exercises and seven aerobic exercises with and without an aerobic step board compared to the loads during the reference activity walking. The stretching and strengthening gymnastics exercises and the aerobic exercises with and without a board demonstrated in their median peak force and moments mostly lower or similar values compared to walking. Significantly increased loads were recorded for the flexor stretching exercise in monopod stand (F and M), the strengthening abduction exercise on the chair (M) and the strengthening flexion exercise with the stronger resistance band (M). We also found a significant increase in median peak values in aerobic exercises with a board for the "Basic Step" (ipsilateral started F and M; contralateral started M), "Kickstep ipsilateral started" (F and M) and "Over the Top contralateral started" (F). The in vivo loads in THA patients during frequently performed stretching, strengthening and aerobic exercises were demonstrated for the first time. It was proved that stretching gymnastic exercises are safe in terms of resulting force, bending and torque moments for THA patients, although an external assistance for stabilization may be considered. Strengthening gymnastics exercises are reliable in terms of F, M and M, but, based on our data, we recommend to adhere to the communicated specific postoperative restrictions and select the resistance bands with lower tension. Aerobic exercises without an aerobic board can be considered as reliable activity in terms of force and moments for THA patients. Aerobic exercises with a board are not recommended for the early postoperative period and in our opinion need to be adapted to the individual muscular and coordinative resources.

摘要

预计全髋关节置换术(THA)的数量将进一步增加,特别是年轻的 THA 患者数量增加,他们的需求也随之增加。目前还没有标准化的循证康复计划,也没有关于 THA 后体育活动的可靠指南。在康复和有氧运动中,伸展和强化体操通常作为 THA 后的一项运动进行。本研究的目的是确定在体操和有氧运动中髋关节假体所承受的体内力和力矩,为循证建议提供依据。通过对 6 名植入仪器髋关节的患者进行髋关节负荷测量。在与参考活动行走相比,比较了七种强化(两种不同的阻力带)和四种伸展体操运动以及七种有氧运动(有氧步板)中,测量颈弯矩 M 和干弯矩 M 的作用力 F 和扭转力矩 M。伸展和强化体操运动以及有氧运动(有或没有有氧步板)在其峰值力和力矩的中位数中,与行走相比,大多表现出较低或相似的值。在单足站立的屈肌伸展运动(F 和 M)、椅子上的强化外展运动(M)以及使用较强阻力带的强化屈曲运动(M)中,记录到的负荷明显增加。在有氧步板上进行的“基本步”(同侧开始 F 和 M;对侧开始 M)、“同侧开始踢步”(F 和 M)和“对侧开始越过顶部”(F)的有氧运动中,我们还发现了中位数峰值的显著增加。首次在 THA 患者中展示了经常进行的伸展、强化和有氧练习的体内负荷。证明伸展体操运动在 THA 患者的力、弯曲和扭矩方面是安全的,尽管可能需要外部辅助来稳定。强化体操运动在 F、M 和 M 方面是可靠的,但根据我们的数据,我们建议坚持特定的术后限制,并选择张力较低的阻力带。没有有氧步板的有氧运动可被认为是 THA 患者可靠的活动。有氧步板不建议在术后早期进行,我们认为需要根据个体的肌肉和协调资源进行调整。

https://cdn.ncbi.nlm.nih.gov/pmc/blobs/bcbd/8239021/90b5ea4ca849/41598_2021_92788_Fig1_HTML.jpg

文献AI研究员

20分钟写一篇综述,助力文献阅读效率提升50倍。

立即体验

用中文搜PubMed

大模型驱动的PubMed中文搜索引擎

马上搜索

文档翻译

学术文献翻译模型,支持多种主流文档格式。

立即体验