Suppr超能文献

新发结直肠癌合并既往癌症患者的生存情况。

Survival of patients newly diagnosed with colorectal cancer and with a history of previous cancer.

机构信息

Department of Population & Data Sciences, University of Texas Southwestern Medical Center, Dallas, TX, USA.

Harold C. Simmons Comprehensive Cancer Center, Dallas, TX, USA.

出版信息

Cancer Med. 2021 Jul;10(14):4752-4767. doi: 10.1002/cam4.4036. Epub 2021 Jun 30.

Abstract

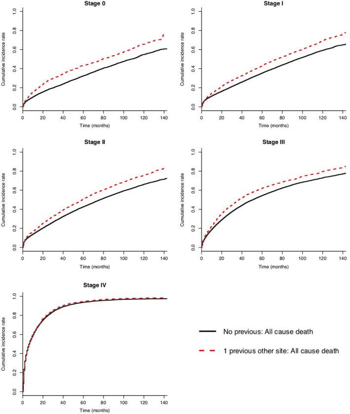
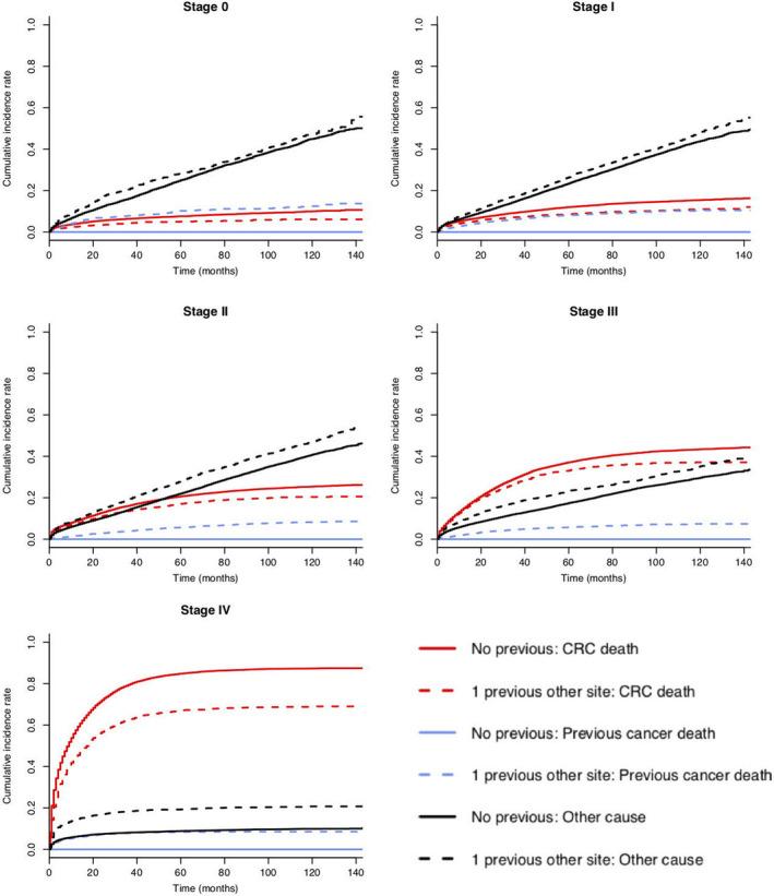
Patients with previous cancer are often excluded from clinical trials despite limited evidence about their prognosis. We examined the effect of previous cancer on overall and colorectal cancer (CRC)-specific survival of patients newly diagnosed with CRC. This population-based cohort study from the U.S.A. included patients aged ≥66 years and diagnosed with CRC between 2005 and 2015 in linked Surveillance, Epidemiology, and End Results-Medicare data. We estimated the stage-specific effects of a previous cancer on overall survival using Cox regression and on CRC-specific survival using competing risk regression. We also examined the effect of previous cancer type, timing, and stage on overall survival. Of 112,769 patients, 14.1% were previously diagnosed with another cancer--commonly prostate (32.9%) or breast (19.4%) cancer, with many (47.1%) diagnosed <5 years of CRC. For all CRC stages except IV, in which there was no difference, patients with previous cancer (vs. without) had worse overall survival. However, patients with previous cancer had improved CRC-specific survival. Overall survival for those with stage 0-III CRC varied by previous cancer type, timing, and stage; for example, patients with previous melanoma had overall survival equivalent to those with no previous cancer. Our results indicate that, in general, CRC patients with previous cancer have worse overall survival but superior CRC-specific survival. Given their equivalent survival to those without previous cancer, patients with previous melanoma and those with stage IV CRC with any type of previous cancer should be eligible to participate in clinical trials.

摘要

患有既往癌症的患者通常被排除在临床试验之外,尽管关于其预后的证据有限。我们研究了既往癌症对新诊断为结直肠癌 (CRC) 的患者总体生存率和 CRC 特异性生存率的影响。这项来自美国的基于人群的队列研究纳入了 2005 年至 2015 年在链接的监测、流行病学和最终结果-医疗保险数据中诊断为 CRC 且年龄≥66 岁的患者。我们使用 Cox 回归估计了既往癌症对总体生存率的分期特异性影响,使用竞争风险回归估计了对 CRC 特异性生存率的影响。我们还检查了既往癌症类型、时间和分期对总体生存率的影响。在 112769 名患者中,14.1%的患者既往被诊断出患有另一种癌症,常见的是前列腺癌(32.9%)或乳腺癌(19.4%),其中许多患者(47.1%)在诊断出 CRC 前<5 年。对于所有 CRC 分期(IV 期除外,IV 期无差异),患有既往癌症的患者(与无既往癌症的患者相比)总体生存率更差。然而,患有既往癌症的患者 CRC 特异性生存率得到了改善。患有 0-III 期 CRC 的患者的总体生存率因既往癌症类型、时间和分期而异;例如,患有既往黑色素瘤的患者总体生存率与无既往癌症的患者相当。我们的研究结果表明,一般来说,患有既往癌症的 CRC 患者总体生存率较差,但 CRC 特异性生存率较高。鉴于他们与无既往癌症的患者的生存相当,患有既往黑色素瘤的患者和患有任何类型既往癌症的 IV 期 CRC 患者应符合参加临床试验的条件。

https://cdn.ncbi.nlm.nih.gov/pmc/blobs/0b99/8290226/087db0d181a7/CAM4-10-4752-g005.jpg

文献AI研究员

20分钟写一篇综述,助力文献阅读效率提升50倍。

立即体验

用中文搜PubMed

大模型驱动的PubMed中文搜索引擎

马上搜索

文档翻译

学术文献翻译模型,支持多种主流文档格式。

立即体验