Suppr超能文献

数字末梢动脉血压测量与心血管疾病事件:弗雷明汉心脏研究。

Digital Peripheral Arterial Tonometry and Cardiovascular Disease Events: The Framingham Heart Study.

机构信息

Biology Department, Vassar College, Poughkeepsie, NY (L.L.C.).

Biostatistics and Epidemiology Data Analytics Center (N.W.), Boston University School of Public Health, MA.

出版信息

Stroke. 2021 Aug;52(9):2866-2873. doi: 10.1161/STROKEAHA.120.031102. Epub 2021 Jul 1.

Abstract

BACKGROUND AND PURPOSE

Novel noninvasive measures of vascular function are emerging as subclinical markers for cardiovascular disease (CVD) and may be useful to predict CVD events. The purpose of our prospective study was to assess associations between digital peripheral arterial tonometry (PAT) measures and first-onset major CVD events in a sample of FHS (Framingham Heart Study) participants.

METHODS

Using a fingertip PAT device, we assessed pulse amplitude in Framingham Offspring and Third Generation participants (n=3865; mean age, 55±14 years; 52% women) at baseline and in 30-second intervals for 4 minutes during reactive hyperemia. The PAT ratio (relative hyperemia index) was calculated as the post-to-pre occlusion pulse signal ratio in the occluded arm, relative to the same ratio in the control (nonoccluded) arm, and corrected for baseline vascular tone. Baseline pulse amplitude and PAT ratio during hyperemia are measures of pressure pulsatility and microvascular function in the finger, respectively. We used Cox proportional hazards regression to relate PAT measures in the fingertip to incident CVD events.

RESULTS

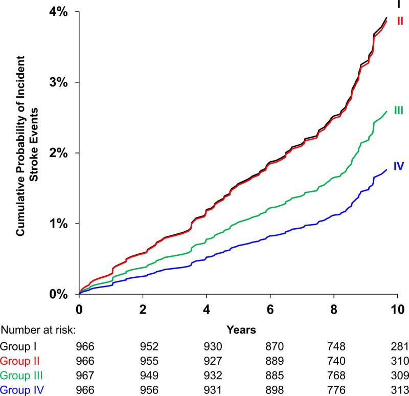
During follow-up (median, 9.2 years; range, 0.04–10.0 years), 270 participants (7%) experienced new-onset CVD events (n=270). In multivariable models adjusted for cardiovascular risk factors, baseline pulse amplitude (hazard ratio [HR] per 1 SD, 1.04 [95% CI, 0.90–1.21]; P=0.57) and PAT ratio (HR, 0.95 [95% CI, 0.84–1.08]; P=0.43) were not significantly related to incident composite CVD events, including myocardial infarction or heart failure. However, higher PAT ratio (HR, 0.76 [95% CI, 0.61–0.94]; P=0.013), but not baseline pulse amplitude (HR, 1.15 [95% CI, 0.89–1.49]; P=0.29), was related to lower risk for incident stroke. In a sensitivity analysis by stroke subtype, higher PAT ratio was related to lower risk of incident ischemic stroke events (HR, 0.68 [95% CI, 0.53–0.86]; P=0.001).

CONCLUSIONS

Novel digital PAT measures may represent a marker of stroke risk in the community.

摘要

背景与目的

新兴的血管功能无创测量方法作为心血管疾病(CVD)的亚临床标志物出现,可能有助于预测 CVD 事件。我们前瞻性研究的目的是评估弗雷明汉心脏研究(Framingham Heart Study,FHS)参与者样本中指尖式外周动脉张力测定(PAT)测量值与首发主要 CVD 事件之间的关联。

方法

使用指尖 PAT 设备,我们在基线时评估了弗雷明汉后代和第三代参与者(n=3865;平均年龄 55±14 岁;52%为女性)的脉搏幅度,并在反应性充血期间的 4 分钟内每隔 30 秒测量 4 分钟。PAT 比值(相对充血指数)是通过在闭塞臂中计算闭塞后与闭塞前的脉搏信号比值来计算的,相对于对照(未闭塞)臂中的同一比值,并对基线血管张力进行校正。基线时的脉搏幅度和充血期间的 PAT 比值分别是手指的压力脉动性和微血管功能的指标。我们使用 Cox 比例风险回归将指尖 PAT 测量值与新发 CVD 事件相关联。

结果

在随访期间(中位数 9.2 年;范围 0.04-10.0 年),270 名参与者(7%)发生了新的 CVD 事件(n=270)。在调整心血管危险因素的多变量模型中,基线脉搏幅度(每 1 SD 的危险比 [HR],1.04[95%CI,0.90-1.21];P=0.57)和 PAT 比值(HR,0.95[95%CI,0.84-1.08];P=0.43)与包括心肌梗死或心力衰竭在内的新发复合 CVD 事件无显著相关性。然而,较高的 PAT 比值(HR,0.76[95%CI,0.61-0.94];P=0.013),而不是基线脉搏幅度(HR,1.15[95%CI,0.89-1.49];P=0.29),与较低的卒中风险相关。在按卒中亚型进行的敏感性分析中,较高的 PAT 比值与较低的缺血性卒中事件风险相关(HR,0.68[95%CI,0.53-0.86];P=0.001)。

结论

新型数字 PAT 测量值可能是社区中风风险的标志物。

https://cdn.ncbi.nlm.nih.gov/pmc/blobs/deb1/8378441/d446ae130c8d/str-52-2866-g004.jpg

文献AI研究员

20分钟写一篇综述,助力文献阅读效率提升50倍。

立即体验

用中文搜PubMed

大模型驱动的PubMed中文搜索引擎

马上搜索

文档翻译

学术文献翻译模型,支持多种主流文档格式。

立即体验