Suppr超能文献

在WCFS1中高效分泌和重组生产乳酸杆菌α-淀粉酶:使用不同信号肽进行分泌的分析与比较

Efficient Secretion and Recombinant Production of a Lactobacillal α-amylase in WCFS1: Analysis and Comparison of the Secretion Using Different Signal Peptides.

作者信息

Tran Anh-Minh, Unban Kridsada, Kanpiengjai Apinun, Khanongnuch Chartchai, Mathiesen Geir, Haltrich Dietmar, Nguyen Thu-Ha

机构信息

Food Biotechnology Laboratory, Department of Food Science and Technology, BOKU-University of Natural Resources and Life Sciences, Vienna, Austria.

Department of Biology, Faculty of Basic Sciences, University of Medicine and Pharmacy at Ho Chi Minh City, Ho Chi Minh City, Vietnam.

出版信息

Front Microbiol. 2021 Jun 14;12:689413. doi: 10.3389/fmicb.2021.689413. eCollection 2021.

Abstract

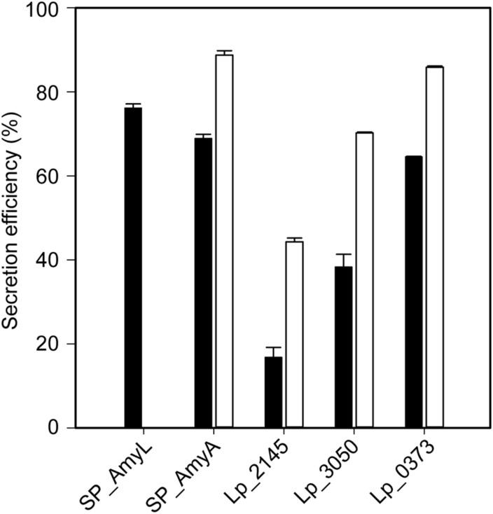
Lactic acid bacteria (LAB) have been used as starter cultures and producers of enzymes, antimicrobial peptides or metabolites that contribute to the flavor, texture and safety of food products. , one of the best-studied LAB, is considered as safe and effective cell factory for food applications. In this study, our aim was to use as the producer for high levels of a food-grade lactobacillal α-amylase, which has potential applications in food, fermentation and feed industries. The native form of an α-amylase (AmyL) from S21, an amylolytic LAB isolated from Thai fermented rice noodles, was expressed in WCFS1 using the pSIP expression system. The secretion of the α-amylase was driven by the native signal peptides of the α-amylases from S21 (SP_AmyL) and NRRL B-4549 (SP_AmyA), as well as by three Sec-type signal peptides derived from WCFS1; Lp_2145, Lp_3050, and Lp_0373. Among the tested signal peptides, Lp_2145 appears to be the best signal peptide giving the highest total and extracellular enzymatic activities of α-amylase AmyL from S21, which were 13.1 and 8.1 kU/L of fermentation, respectively. These yields were significantly higher than the expression and secretion in WCFS1 using the native signal peptide SP_AmyL, resulting in 6.2- and 5.4-fold increase in total and extracellular activities of AmyL, respectively. In terms of secretion efficiency, Lp_0373 was observed as the most efficient signal peptide among non-cognate signal peptides for the secretion of AmyL. Real-time reverse-transcriptase quantitative PCR (RT-qPCR) was used to estimate the mRNA levels of α-amylase transcript in each recombinant strain. Relative quantification by RT-qPCR indicated that the strain with the Lp_2145 signal peptide-containing construct had the highest mRNA levels and that the exchange of the signal peptide led to a change in the transcript level of the target gene.

摘要

乳酸菌(LAB)已被用作发酵剂以及酶、抗菌肽或代谢物的生产者,这些物质有助于食品的风味、质地和安全性。作为研究最深入的乳酸菌之一,被认为是食品应用中安全有效的细胞工厂。在本研究中,我们的目标是利用作为高产食品级乳酸杆菌α-淀粉酶的生产者,该淀粉酶在食品、发酵和饲料工业中具有潜在应用。从泰国发酵米粉中分离出的解淀粉乳酸菌S21的α-淀粉酶(AmyL)的天然形式,使用pSIP表达系统在WCFS1中表达。α-淀粉酶的分泌由来自S21的α-淀粉酶的天然信号肽(SP_AmyL)和NRRL B-4549的α-淀粉酶的天然信号肽(SP_AmyA)驱动,以及由来自WCFS1的三个Sec型信号肽驱动;Lp_2145、Lp_3050和Lp_0373。在测试的信号肽中,Lp_2145似乎是最佳信号肽,它使来自S21的α-淀粉酶AmyL的总酶活性和细胞外酶活性最高,发酵时分别为13.1和8.1 kU/L。这些产量显著高于使用天然信号肽SP_AmyL在WCFS1中的表达和分泌,导致AmyL的总活性和细胞外活性分别增加6.2倍和5.4倍。就分泌效率而言,可以观察到Lp_0373是用于AmyL分泌的非同源信号肽中最有效的信号肽。实时逆转录酶定量PCR(RT-qPCR)用于估计每个重组菌株中α-淀粉酶转录本的mRNA水平。通过RT-qPCR进行的相对定量表明,含有Lp_2145信号肽构建体的菌株具有最高的mRNA水平,并且信号肽的交换导致靶基因转录水平的变化。

https://cdn.ncbi.nlm.nih.gov/pmc/blobs/73f1/8236982/2807bc49ad6a/fmicb-12-689413-g001.jpg

文献AI研究员

20分钟写一篇综述,助力文献阅读效率提升50倍。

立即体验

用中文搜PubMed

大模型驱动的PubMed中文搜索引擎

马上搜索

文档翻译

学术文献翻译模型,支持多种主流文档格式。

立即体验