Department of Structural Biology Division, ICMR-NIRRH, Mumbai, India.
Department of Molecular Immunology & Microbiology, Indian Council of Medical Research-National Institute for Research in Reproductive Health (ICMR-NIRRH), Mumbai, India.
Front Immunol. 2021 Jun 14;12:619906. doi: 10.3389/fimmu.2021.619906. eCollection 2021.
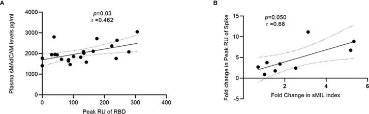
The role of sMAdCAM, an important gut immune migratory marker, remains unexplored in COVID-19 pathogenesis considering recent studies positing the gut as a sanctuary site for SARS-CoV-2 persistence. Thus, assimilating profiles of systemic inflammatory mediators with sMAdCAM levels may provide insights into the progression of COVID-19 disease. Also, the role of these markers in governing virus specific immunity following infection remains largely unexplored. A cohort (n = 84) of SARS-C0V-2 infected individuals included a group of in-patients (n = 60) at various stages of disease progression together with convalescent individuals (n = 24) recruited between April and June 2020 from Mumbai, India. Follow-up of 35 in-patients at day 7 post diagnosis was carried out. Th1/Th2/Th17 cytokines along with soluble MAdCAM (sMAdCAM) levels in plasma were measured. Also, anti-viral humoral response as measured by rapid antibody test (IgG, IgM), Chemiluminescent Immunoassay (IgG), and antibodies binding to SARS-CoV-2 proteins were measured by Surface Plasmon Resonance (SPR) from plasma. IL-6 and sMAdCAM levels among in-patients inversely correlated with one another. When expressed as a novel integrated marker-sMIL index (sMAdCAM/IL-6 ratio)-these levels were incrementally and significantly higher in various disease states with convalescents exhibiting the highest values. Importantly, sMAdCAM levels as well as sMIL index (fold change) correlated with peak association response units of receptor binding domain and fold change in binding to spike respectively as measured by SPR. Our results highlight key systemic and gut homing parameters that need to be monitored and investigated further to optimally guide therapeutic and prophylactic interventions for COVID-19.
重要的肠道免疫趋化因子 sMAdCAM 在 COVID-19 发病机制中的作用仍不清楚,因为最近的研究提出肠道是 SARS-CoV-2 持续存在的避难所。因此,将系统炎症介质的特征与 sMAdCAM 水平相结合,可能有助于深入了解 COVID-19 疾病的进展。此外,这些标志物在感染后控制病毒特异性免疫的作用在很大程度上仍未得到探索。我们纳入了 84 名 SARS-CoV-2 感染个体的队列(n=84),其中包括一组处于疾病进展不同阶段的住院患者(n=60),以及 2020 年 4 月至 6 月间在印度孟买招募的康复个体(n=24)。对 35 名在诊断后第 7 天的住院患者进行了随访。测量了血浆中 Th1/Th2/Th17 细胞因子和可溶性 MAdCAM(sMAdCAM)水平。同时,通过表面等离子体共振(SPR)从血浆中测量了快速抗体试验(IgG、IgM)、化学发光免疫分析(IgG)和针对 SARS-CoV-2 蛋白的抗体来衡量抗病毒体液反应。住院患者的 IL-6 和 sMAdCAM 水平呈负相关。当以新型整合标志物 sMIL 指数(sMAdCAM/IL-6 比值)表示时,在不同疾病状态下,这些水平逐渐升高,且具有统计学意义,其中康复者的水平最高。重要的是,sMAdCAM 水平和 sMIL 指数(倍数变化)与 SPR 测量的受体结合域的峰值结合反应单位和与刺突蛋白结合的倍数变化呈正相关。我们的研究结果突出了需要监测和进一步研究的关键系统和肠道归巢参数,以优化 COVID-19 的治疗和预防干预。