• 文献检索
  • 文档翻译
  • 深度研究
  • 学术资讯
  • Suppr Zotero 插件Zotero 插件
  • 邀请有礼
  • 套餐&价格
  • 历史记录
应用&插件
Suppr Zotero 插件Zotero 插件浏览器插件Mac 客户端Windows 客户端微信小程序
定价
高级版会员购买积分包购买API积分包
服务
文献检索文档翻译深度研究API 文档MCP 服务
关于我们
关于 Suppr公司介绍联系我们用户协议隐私条款
关注我们

Suppr 超能文献

核心技术专利:CN118964589B侵权必究
粤ICP备2023148730 号-1Suppr @ 2026

文献检索

告别复杂PubMed语法,用中文像聊天一样搜索,搜遍4000万医学文献。AI智能推荐,让科研检索更轻松。

立即免费搜索

文件翻译

保留排版,准确专业,支持PDF/Word/PPT等文件格式,支持 12+语言互译。

免费翻译文档

深度研究

AI帮你快速写综述,25分钟生成高质量综述,智能提取关键信息,辅助科研写作。

立即免费体验

使用不同传感器位置和时间尺度测量多发性硬化症患者的步态稳定性。

Measuring Gait Stability in People with Multiple Sclerosis Using Different Sensor Locations and Time Scales.

机构信息

Department of Orthopedic Surgery, Klinikum Bayreuth GmbH, 95445 Bayreuth, Germany.

Department of Neurology, Klinikum Bayreuth GmbH, 95445 Bayreuth, Germany.

出版信息

Sensors (Basel). 2021 Jun 10;21(12):4001. doi: 10.3390/s21124001.

DOI:10.3390/s21124001
PMID:34200530
原文链接:https://pmc.ncbi.nlm.nih.gov/articles/PMC8228118/
Abstract

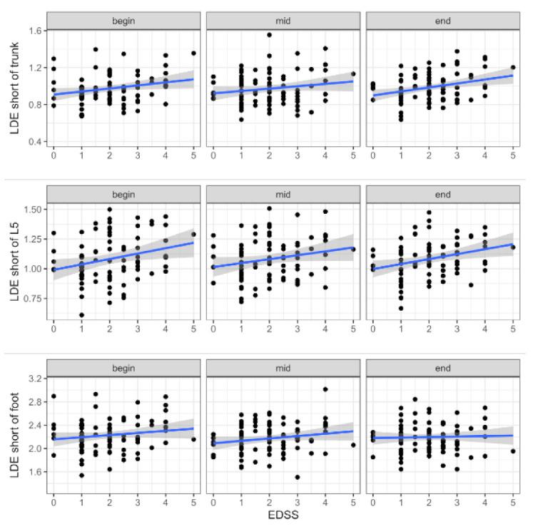
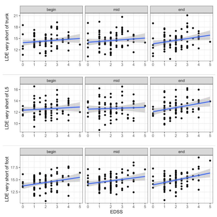
The evaluation of local divergence exponent (LDE) has been proposed as a common gait stability measure in people with multiple sclerosis (PwMS). However, differences in methods of determining LDE may lead to different results. Therefore, the purpose of the current study was to determine the effect of different sensor locations and LDE measures on the sensitivity to discriminate PwMS. To accomplish this, 86 PwMS and 30 healthy participants were instructed to complete a six-minute walk wearing inertial sensors attached to the foot, trunk and lumbar spine. Due to possible fatigue effects, the LDE short (50% of stride) and very short (5% of stride) were calculated for the remaining first, middle and last 30 strides. The effect of group (PwMS vs. healthy participants) and time (begin, mid, end) and the effect of Expanded Disability Status Scale (EDSS) and time were assessed with linear random intercepts models. We found that perturbations seem to be better compensated in healthy participants on a longer time scale based on trunk movements and on a shorter time scale (almost instantaneously) according to the foot kinematics. Therefore, we suggest to consider both sensor location and time scale of LDE when calculating local gait stability in PwMS.

摘要

局部离散步数指数(LDE)的评估已被提议作为多发性硬化症患者(PwMS)的一种常用步态稳定性测量方法。然而,确定 LDE 的方法的差异可能导致不同的结果。因此,本研究的目的是确定不同传感器位置和 LDE 测量方法对区分 PwMS 的敏感性的影响。为了实现这一目标,86 名 PwMS 和 30 名健康参与者被要求穿着附着在脚、躯干和腰椎上的惯性传感器完成六分钟步行。由于可能存在疲劳效应,因此对于剩余的前、中、后 30 步,计算了 LDE 短(50%步长)和极短(5%步长)。使用线性随机截距模型评估了组(PwMS 与健康参与者)和时间(开始、中间、结束)以及扩展残疾状况量表(EDSS)和时间的影响。我们发现,根据躯干运动,健康参与者在较长的时间尺度上似乎更好地补偿了扰动,而根据脚部运动学,在较短的时间尺度上(几乎瞬间)更好地补偿了扰动。因此,我们建议在计算 PwMS 的局部步态稳定性时,同时考虑传感器位置和 LDE 的时间尺度。

https://cdn.ncbi.nlm.nih.gov/pmc/blobs/6a41/8228118/89c75f17cfe6/sensors-21-04001-g003.jpg
https://cdn.ncbi.nlm.nih.gov/pmc/blobs/6a41/8228118/151d08d669bb/sensors-21-04001-g001.jpg
https://cdn.ncbi.nlm.nih.gov/pmc/blobs/6a41/8228118/00a8f25bdb16/sensors-21-04001-g002.jpg
https://cdn.ncbi.nlm.nih.gov/pmc/blobs/6a41/8228118/89c75f17cfe6/sensors-21-04001-g003.jpg
https://cdn.ncbi.nlm.nih.gov/pmc/blobs/6a41/8228118/151d08d669bb/sensors-21-04001-g001.jpg
https://cdn.ncbi.nlm.nih.gov/pmc/blobs/6a41/8228118/00a8f25bdb16/sensors-21-04001-g002.jpg
https://cdn.ncbi.nlm.nih.gov/pmc/blobs/6a41/8228118/89c75f17cfe6/sensors-21-04001-g003.jpg

相似文献

1
Measuring Gait Stability in People with Multiple Sclerosis Using Different Sensor Locations and Time Scales.使用不同传感器位置和时间尺度测量多发性硬化症患者的步态稳定性。
Sensors (Basel). 2021 Jun 10;21(12):4001. doi: 10.3390/s21124001.
2
Optimal sensor location and direction to accurately classify people with early-stage multiple sclerosis using gait stability.利用步态稳定性准确分类早期多发性硬化症患者的最佳传感器位置和方向。
Gait Posture. 2023 May;102:39-42. doi: 10.1016/j.gaitpost.2023.02.009. Epub 2023 Feb 23.
3
Clinical assessment of gait in individuals with multiple sclerosis using wearable inertial sensors: Comparison with patient-based measure.使用可穿戴惯性传感器对多发性硬化症患者进行步态临床评估:与基于患者的测量方法的比较。
Mult Scler Relat Disord. 2016 Nov;10:187-191. doi: 10.1016/j.msard.2016.10.007. Epub 2016 Oct 27.
4
Local dynamic stability during long-fatiguing walks in people with multiple sclerosis.多发性硬化症患者长时疲劳行走时的局部动态稳定性。
Gait Posture. 2020 Feb;76:122-127. doi: 10.1016/j.gaitpost.2019.10.032. Epub 2019 Nov 8.
5
Instrumentally assessed gait quality is more relevant than gait endurance and velocity to explain patient-reported walking ability in early-stage multiple sclerosis.仪器评估的步态质量比步态耐力和速度更能解释早期多发性硬化症患者的步行能力。
Eur J Neurol. 2021 Jul;28(7):2259-2268. doi: 10.1111/ene.14866. Epub 2021 May 2.
6
Stability of sensor-based gait parameters reassessed after a period of one year in people with multiple sclerosis.基于传感器的步态参数在多发性硬化症患者中经过一年时间后的稳定性重新评估。
BMC Neurol. 2023 Mar 24;23(1):120. doi: 10.1186/s12883-023-03168-9.
7
Local Dynamic Stability of Gait in People With Early Multiple Sclerosis and No-to-Mild Neurological Impairment.早期多发性硬化症且无至轻度神经功能障碍患者的步态局部动态稳定性。
IEEE Trans Neural Syst Rehabil Eng. 2020 Jun;28(6):1389-1396. doi: 10.1109/TNSRE.2020.2991636. Epub 2020 Apr 30.
8
Wearable inertial sensors are highly sensitive in the detection of gait disturbances and fatigue at early stages of multiple sclerosis.可穿戴惯性传感器在检测多发性硬化症早期阶段的步态障碍和疲劳方面高度敏感。
BMC Neurol. 2021 Sep 4;21(1):337. doi: 10.1186/s12883-021-02361-y.
9
Sensor-based gait analyses of the six-minute walk test identify qualitative improvement in gait parameters of people with multiple sclerosis after rehabilitation.基于传感器的六分钟步行试验步态分析可识别出康复后多发性硬化症患者步态参数的定性改善。
J Neurol. 2022 Jul;269(7):3723-3734. doi: 10.1007/s00415-022-10998-z. Epub 2022 Feb 15.
10
Uncovering Subtle Gait Deterioration in People with Early-Stage Multiple Sclerosis Using Inertial Sensors: A 2-Year Multicenter Longitudinal Study.使用惯性传感器揭示早期多发性硬化症患者的微妙步态恶化:一项为期 2 年的多中心纵向研究。
Sensors (Basel). 2023 Nov 17;23(22):9249. doi: 10.3390/s23229249.

引用本文的文献

1
Multiple Sclerosis Classification Using the Local Divergence Exponent: Parameters Selection for State-Space Reconstruction.基于局部散度指数的多发性硬化症分类:状态空间重构的参数选择
Sensors (Basel). 2025 Apr 30;25(9):2819. doi: 10.3390/s25092819.
2
Cognitive-motor interference in multiple sclerosis revisited: a dual-task paradigm using wearable inertial sensors and the Paced Auditory Serial Addition Test.重新审视多发性硬化症中的认知运动干扰:使用可穿戴惯性传感器和听觉节奏连续加法测试的双任务范式
Front Neurol. 2025 Mar 17;16:1546183. doi: 10.3389/fneur.2025.1546183. eCollection 2025.
3
Effects of the kinematic variable, time delay and data length on test-retest reliability of the maximal Lyapunov exponent of human walking.

本文引用的文献

1
Effects of barefoot vs. shod walking during indoor and outdoor conditions in younger and older adults.年轻人和老年人在室内和室外环境中赤脚行走与穿鞋行走的效果。
Gait Posture. 2022 Jun;95:284-291. doi: 10.1016/j.gaitpost.2021.04.024. Epub 2021 Apr 15.
2
Trait mindfulness is primarily associated with depression and not with fatigue in multiple sclerosis (MS): implications for mindfulness-based interventions.特质正念主要与多发性硬化症(MS)中的抑郁有关,而与疲劳无关:对正念干预的影响。
BMC Neurol. 2021 Mar 16;21(1):115. doi: 10.1186/s12883-021-02120-z.
3
Balance, gait, and navigation performance are related to physical exercise in blind and visually impaired children and adolescents.
运动学变量、时间延迟和数据长度对人体行走最大Lyapunov指数重测信度的影响。
R Soc Open Sci. 2024 Oct 9;11(10):240333. doi: 10.1098/rsos.240333. eCollection 2024 Oct.
4
Validity of an inertial sensor-based system for the assessment of spatio-temporal parameters in people with multiple sclerosis.一种基于惯性传感器的系统用于评估多发性硬化症患者时空参数的有效性。
Front Neurol. 2023 Apr 20;14:1164001. doi: 10.3389/fneur.2023.1164001. eCollection 2023.
5
Stability of sensor-based gait parameters reassessed after a period of one year in people with multiple sclerosis.基于传感器的步态参数在多发性硬化症患者中经过一年时间后的稳定性重新评估。
BMC Neurol. 2023 Mar 24;23(1):120. doi: 10.1186/s12883-023-03168-9.
6
A topological data analysis-based method for gait signals with an application to the study of multiple sclerosis.一种基于拓扑数据分析的步态信号分析方法及其在多发性硬化研究中的应用。
PLoS One. 2022 May 13;17(5):e0268475. doi: 10.1371/journal.pone.0268475. eCollection 2022.
7
Wearable inertial sensors are highly sensitive in the detection of gait disturbances and fatigue at early stages of multiple sclerosis.可穿戴惯性传感器在检测多发性硬化症早期阶段的步态障碍和疲劳方面高度敏感。
BMC Neurol. 2021 Sep 4;21(1):337. doi: 10.1186/s12883-021-02361-y.
平衡、步态和导航能力与盲童及视力受损儿童和青少年的体育锻炼有关。
Exp Brain Res. 2021 Apr;239(4):1111-1123. doi: 10.1007/s00221-021-06038-3. Epub 2021 Feb 7.
4
Negotiating ground level perturbations in walking: Visual perception and expectation of curb height modulate muscle activity.协商步行时的地面水平扰动:视觉感知和路缘高度预期调节肌肉活动。
J Biomech. 2020 Dec 2;113:110121. doi: 10.1016/j.jbiomech.2020.110121. Epub 2020 Nov 8.
5
Walking barefoot vs. with minimalist footwear - influence on gait in younger and older adults.光脚走与穿极简鞋走路——对年轻和老年成年人步态的影响。
BMC Geriatr. 2020 Mar 4;20(1):88. doi: 10.1186/s12877-020-1486-3.
6
Gait stability at early stages of multiple sclerosis using different data sources.多发性硬化症早期使用不同数据源的步态稳定性。
Gait Posture. 2020 Mar;77:214-217. doi: 10.1016/j.gaitpost.2020.02.006. Epub 2020 Feb 5.
7
Local dynamic stability during long-fatiguing walks in people with multiple sclerosis.多发性硬化症患者长时疲劳行走时的局部动态稳定性。
Gait Posture. 2020 Feb;76:122-127. doi: 10.1016/j.gaitpost.2019.10.032. Epub 2019 Nov 8.
8
Ground reaction forces intersect above the center of mass even when walking down visible and camouflaged curbs.即使在走下可见且伪装的路缘时,地面反作用力也会相交于质心上方。
J Exp Biol. 2019 Jul 19;222(Pt 14):jeb204305. doi: 10.1242/jeb.204305.
9
Impaired local dynamic stability during treadmill walking predicts future falls in patients with multiple sclerosis: A prospective cohort study.跑步机行走时局部动态稳定性受损可预测多发性硬化症患者未来的跌倒:一项前瞻性队列研究。
Clin Biomech (Bristol). 2019 Jul;67:197-201. doi: 10.1016/j.clinbiomech.2019.05.013. Epub 2019 May 9.
10
Gait Stability and Its Influencing Factors in Older Adults.老年人的步态稳定性及其影响因素
Front Physiol. 2019 Jan 24;9:1955. doi: 10.3389/fphys.2018.01955. eCollection 2018.