Suppr超能文献

将旋喷注浆废料用作基层道路沥青混合料的填料。

Reusing Jet Grouting Waste as Filler for Road Asphalt Mixtures of Base Layers.

作者信息

Russo Francesca, Veropalumbo Rosa, Biancardo Salvatore Antonio, Oreto Cristina, Scherillo Fabio, Viscione Nunzio

机构信息

Department of Civil, Construction and Environmental Engineering, University of Naples Federico II, Via Claudio 21, 80125 Naples, Italy.

Department of Chemical, Materials and Industrial Production Engineering, University of Naples Federico II, Piazzale Tecchio 80, 80125 Naples, Italy.

出版信息

Materials (Basel). 2021 Jun 10;14(12):3200. doi: 10.3390/ma14123200.

Abstract

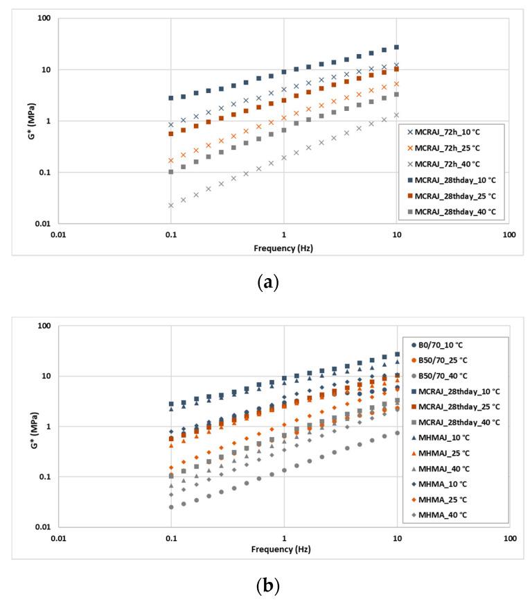
Secondary raw materials consist of production waste or material resulting from recycling processes, currently in large quantities, which can be injected back into the economic system as new raw materials. This study proposes jet grouting waste (JGW) as filler for hot and cold asphalt mixtures applied as base layers of road pavements and investigates the physical and mechanical properties. JGW is derived from soil consolidation performed during underground roadway tunnel construction. The research compares three asphalt mixtures: (a) hot mixture containing limestone aggregate-filler (HMA), (b) HMA containing JGW (HMAJ), (c) cold recycled asphalt mixture containing JGW (CRAJ). Leaching tests of JGW and reclaimed asphalt pavement (RAP) were conducted; the best configurations of the three mixtures were determined by using the volumetric method through gyratory compaction. Three mastics with filler-to-binder ratios reflecting those of the asphalt mixtures were investigated through delta ring and ball test and frequency sweep test at 0.05% stress by using a dynamic shear rheometer. The morphology of each mixture was further investigated by scanning electron microscopy. The results showed that CRAJ with 28 days of curing time reached the indirect tensile strength (ITS) of HMA (0.73 MPa) within 14 days and, among all studied mixtures, returned the lowest cumulative strain, which was on average 30% lower than that of HMA and HMAJ. The results of this study have shown that the cold alternative mixture, CRAJ, promotes the reuse of two types of waste, RAP and JGW, as it fully meets the reference Italian Technical Standard and ensures good mixture performance in addition to conserving natural resources.

摘要

二次原材料包括生产废料或回收过程产生的材料,目前数量众多,可作为新的原材料重新注入经济系统。本研究提出将喷射灌浆废料(JGW)用作道路路面基层的热拌沥青混合料和冷拌沥青混合料的填料,并研究其物理和力学性能。JGW来源于地下巷道隧道施工期间进行的土壤加固。该研究比较了三种沥青混合料:(a)含石灰石集料-填料的热拌混合料(HMA),(b)含JGW的HMA(HMAJ),(c)含JGW的冷再生沥青混合料(CRAJ)。对JGW和再生沥青路面(RAP)进行了浸出试验;通过旋转压实采用体积法确定了三种混合料的最佳配置。通过三角环和球试验以及使用动态剪切流变仪在0.05%应力下进行频率扫描试验,研究了三种填料与粘结剂比例反映沥青混合料比例的胶泥。通过扫描电子显微镜进一步研究了每种混合料的形态。结果表明,养护28天的CRAJ在14天内达到了HMA的间接拉伸强度(ITS)(0.73MPa),并且在所有研究的混合料中,其累积应变最低,平均比HMA和HMAJ低30%。本研究结果表明,冷拌替代混合料CRAJ促进了RAP和JGW两种废料的再利用,因为它完全符合意大利参考技术标准,除了保护自然资源外,还确保了良好的混合料性能。

https://cdn.ncbi.nlm.nih.gov/pmc/blobs/ebc1/8228450/273ae8e4ece6/materials-14-03200-g001.jpg

文献检索

告别复杂PubMed语法,用中文像聊天一样搜索,搜遍4000万医学文献。AI智能推荐,让科研检索更轻松。

立即免费搜索

文件翻译

保留排版,准确专业,支持PDF/Word/PPT等文件格式,支持 12+语言互译。

免费翻译文档

深度研究

AI帮你快速写综述,25分钟生成高质量综述,智能提取关键信息,辅助科研写作。

立即免费体验